Matemáticas Empresariales
ejercicios matemáticas empresariales ,tema 1
Lección 1 a 3 (Funciones de variables separadas, Continuidad de funciones y topología en R y Formas Cuadráticas). Media de 8 con estos apuntes
? Apuntes de Clase Tema 4,5,6– Prof. Maria Victoria + Relación de Ejercicios | Ideal para Examen ??
? Apuntes de Clase Tema 1,2,3 – Prof. Maria Victoria + Relación de Ejercicios | Ideal para Examen ??
? Apunte Clave Matemáticas Empresariales | Tema 1-3 – Tu Aliado para Aprobar Fácil ??
ejercicios
-
RELACION 5
He publicado nuevos ejercicios de 1º Matemáticas Empresariales: RELACION 5
ejercicios
-
RELACION 4
He publicado nuevos ejercicios de 1º Matemáticas Empresariales: RELACION 4
ejercicios
-
1
RELACION 2
ejercicios
-
1
RELACION 3
Ejercicios resueltos en clase para repasar para el parcial de matemáticas empresariales, temas de 4 al 6.
Repaso rápido pero completo para el día de antes del examen o refrescar la memoria
ejercicios
-
Relaciones de ejercicios con soluciones (1-6) - Matemáticas Empresariales
He publicado nuevos ejercicios de 1º Matemáticas Empresariales: Relaciones de ejercicios con soluciones (1-6) - Matemáticas Empresariales
He publicado nuevos ejercicios de 1º Matemáticas Empresariales: RELACION-3-RESUELTA-MATES-EMPRESARIALES.pdf
Apuntes de clase con explicaciones, ejemplos, aclaraciones y ejercicios resueltos. Incluye el apéndice del Polinomio de Taylor, también con ejercicios prácticos.
Resumen ideal en solo 3 folios para repasar rápidamente los conceptos básicos
Apuntes completos de los temas 1, 2 y 3 de matemáticas empresariales, con los ejemplos y aclaraciones hechas en clase.
apuntes
-
Todo el temario explicado + ejercicios resueltos
He publicado nuevos apuntes de 1º Matemáticas Empresariales: Todo el temario explicado + ejercicios resueltos
He publicado nuevos examenes de 1º Matemáticas Empresariales: Examen-Ordinaria-2024.pdf
He publicado nuevos examenes de 1º Matemáticas Empresariales: PARCIAL-MAYO-2024.pdf
ejercicios
-
RELACIONES DE EJERCICIOS MATEMÁTICAS EMPRESARIALES
He publicado nuevos ejercicios de 1º Matemáticas Empresariales: RELACIONES DE EJERCICIOS MATEMÁTICAS EMPRESARIALES
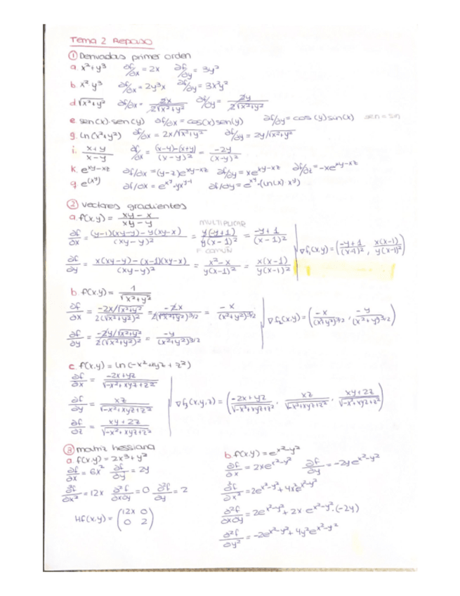
Puntos críticos y su clasificación, matriz hessiana, regla de la cadena, grado y homogeneidad de funciones
He publicado nuevos apuntes de 1º Matemáticas Empresariales: relacion-tema-2-mates-emp.pdf
He publicado nuevos apuntes de 1º Matemáticas Empresariales: relacion-tema-3-mates-emp.pdf
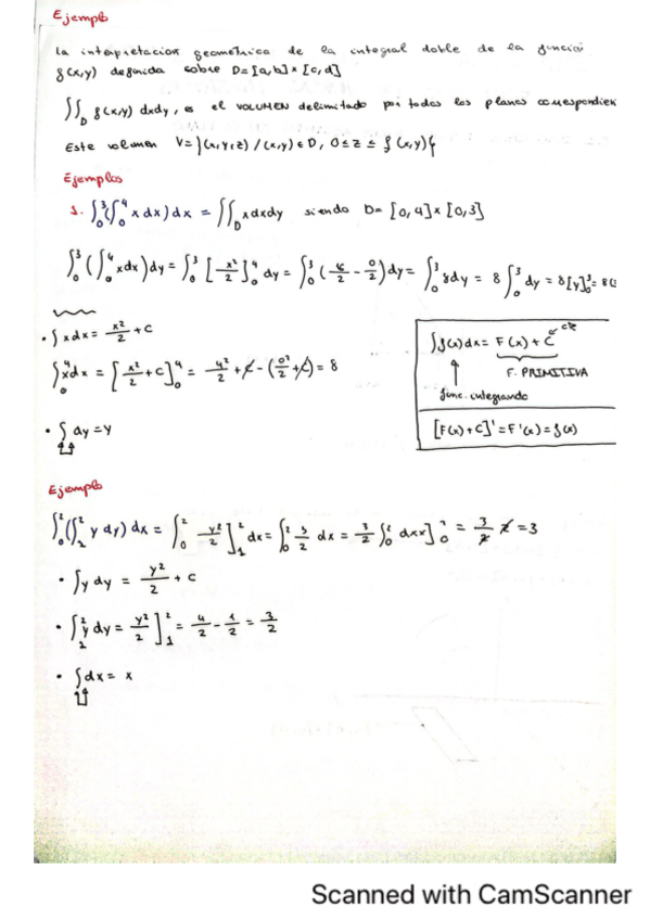
He publicado nuevos ejercicios de 1º Matemáticas Empresariales: RELACION-INTEGRALES-RESUELTA-TEMA-5.pdf
He publicado nuevos apuntes de 1º Matemáticas Empresariales: APUNTES-TEMA-4-CLASE.pdf
He publicado nuevos apuntes de 1º Matemáticas Empresariales: APUNTES-TEMA-5-CLASE-INTEGRALES.pdf
examenes
-
Exámenes
He publicado nuevos examenes de 1º Matemáticas Empresariales: Exámenes
He publicado nuevos ejercicios de 1º Matemáticas Empresariales: DERIVADAS-PARCIALES-DE-PRIMER-ORDEN-TEMA-2.pdf
He publicado nuevos apuntes de 1º Matemáticas Empresariales: APUNTES-TEMA-2-CLASE.pdf
He publicado nuevos apuntes de 1º Matemáticas Empresariales: APUNTES-TEMA-1-CLASE.pdf
He publicado nuevos apuntes de 1º Matemáticas Empresariales: relacion-ejercicios-tema-1-mates-emp.pdf
He publicado nuevos apuntes de 1º Matemáticas Empresariales: apuntes-tema-1-mates-emp.pdf
He publicado nuevos apuntes de 1º Matemáticas Empresariales: resumen tema-2-mates-emp.pdf
He publicado nuevos apuntes de 1º Matemáticas Empresariales: resumen tema-1-mates-emp.pdf
He publicado nuevos apuntes de 1º Matemáticas Empresariales: resumen tema-3-mates-emp.pdf
He publicado nuevos apuntes de 1º Matemáticas Empresariales: resumen tema-4-mates-emp.pdf
INICIO DE CURSO DE MATEMÁTICAS EMPRESARIALES
ACADEMIA UNIVERSITARIA INICIO DE CURSO MATEMÁTICAS EMPRESARIALES Resolución paso a paso de todos tus ejercicios y exámenes de años anteriores. Clases online y presenciales. Horario de mañana y tarde.

He publicado nuevos examenes de 1º Matemáticas Empresariales: Extraordinaria-julio-2023.pdf
apuntes
-
Resúmenes ME (1ºGADE/CUATRI 2)
He publicado nuevos apuntes de 1º Matemáticas Empresariales: Resúmenes ME (1ºGADE/CUATRI 2)
practicas
-
PRÁCTICAS ORDENADOR. RESUELTAS
He publicado nuevos practicas de 1º Matemáticas Empresariales: PRÁCTICAS ORDENADOR. RESUELTAS
He publicado nuevos ejercicios de 1º Matemáticas Empresariales: EJERCICIOS-RELACION-RESUELTOS.pdf
He publicado nuevos apuntes de 1º Matemáticas Empresariales: RESUMEN.-Temas.-12345.pdf
He publicado nuevos examenes de 1º Matemáticas Empresariales: JUNIO-2021.-RESUELTO.pdf
He publicado nuevos examenes de 1º Matemáticas Empresariales: Parcial.-Temas-1-y-2.-2023.-RESUELTO.pdf
practicas
-
PRÁCTICAS ORDENADOR
He publicado nuevos practicas de 1º Matemáticas Empresariales: PRÁCTICAS ORDENADOR
ejercicios
-
SOLUCIONES. TEMA 5
He publicado nuevos ejercicios de 1º Matemáticas Empresariales: SOLUCIONES. TEMA 5
ejercicios
-
SOLUCIONES. TEMA 4
He publicado nuevos ejercicios de 1º Matemáticas Empresariales: SOLUCIONES. TEMA 4