Todo
Apuntes
Ejercicios
Exámenes
Otros
Prácticas
chevron_left
chevron_right

He publicado nuevos examenes de 1º Matemáticas Empresariales: mates-empresariales.pdf

1 página

He publicado nuevos apuntes de 1º Matemáticas Empresariales: T.1-Espacios-vectoriales-matematicas-empresariales.pdf

6 páginas
Anónimo

@Anónimo

He publicado nuevos examenes de 1º Matemáticas Empresariales: MODELO-D-EXAMEN.pdf

4 páginas
Anónimo

@Anónimo

He publicado nuevos examenes de 1º Matemáticas Empresariales: MODELO-B-EXAMEN.pdf

4 páginas
Anónimo

@Anónimo

He publicado nuevos examenes de 1º Matemáticas Empresariales: MODELO-C-EXAMEN.pdf

4 páginas
Anónimo

@Anónimo

He publicado nuevos examenes de 1º Matemáticas Empresariales: MODELO-A-EXAMEN.pdf

4 páginas

apuntes

-

Matemáticas empresariales

He publicado nuevos apuntes de 1º Matemáticas Empresariales: Matemáticas empresariales

Conceptos-basicos-matrices.pdf
T1-ejercicios-resueltos.pdf
T2-ejercicios-resueltos.pdf
Cálculo-determinantes.pdf
Rango-de-una-matriz.pdf
Sistemas-de-ecuaciones-lineales.pdf

apuntes

-

Corporate Maths 1º

Apuntes + Ejercicios Práctica + Exámenes

T1-Corporate-Maths.pdf
T2-Corporate-Maths.pdf
T3-Corporate-Maths.pdf
T4-Corporate-Maths.pdf
T5-Corporate-Maths.pdf
T6-Corporate-Maths.pdf
Anónimo

@Anónimo

He publicado nuevos examenes de 1º Matemáticas Empresariales: examen-mates-empresariales.pdf

1 página

Examen Final Mayo Resuelto

5 páginas

Examen Final Mayo

6 páginas

He publicado nuevos examenes de 1º Matemáticas Empresariales: Examen-Segundo-Parcial.pdf

3 páginas

He publicado nuevos examenes de 1º Matemáticas Empresariales: Examen-Primer-Parcial.pdf

4 páginas

He publicado nuevos apuntes de 1º Matemáticas Empresariales: Parcial-de-matematicas-con-soluciones.pdf

5 páginas

He publicado nuevos examenes de 1º Matemáticas Empresariales: Parcial-de-calculo-con-soluciones.pdf

6 páginas

He publicado nuevos examenes de 1º Matemáticas Empresariales: Parcial-de-algebra-con-soluciones.pdf

8 páginas

He publicado nuevos examenes de 1º Matemáticas Empresariales: Modelo-de-examen-con-soluciones.pdf

5 páginas

He publicado nuevos examenes de 1º Matemáticas Empresariales: Modelo-examen-Algebra-Grado-ADE-con-soluciones.pdf

6 páginas

He publicado nuevos examenes de 1º Matemáticas Empresariales: Examen-Matematicas-Empresariales.pdf

3 páginas

apuntes

-

Tema 6. Integrales Indefinidas. Fragmento del SPEEDRUN de MATEMÁTICAS EMPRESARIALES

Video y Apuntes del Tema 6 sobre Integrales Indefinidas

Miniatura no disponible
https://www.youtube.com/watch?v=Pbj7yFrnJhg&list=PLlcT7xl40eUKOprFf5ZgGWef4ldjmbmOW&index=6
Tema-6.-TODO-Integrales-Indefinidas.pdf
Miniatura no disponible
https://proxusacademy.com/speedruns/urjc-ade

He publicado nuevos apuntes de 1º Matemáticas Empresariales: examen-1-mates-apuntes.pdf

7 páginas

He publicado nuevos apuntes de 1º Matemáticas Empresariales: formulas-mates-primer-examen.pdf

3 páginas

He publicado nuevos apuntes de 1º Matemáticas Empresariales: Cuaderno-completo-de-matematicas.pdf

39 páginas

He publicado nuevos examenes de 1º Matemáticas Empresariales: Examenmatemticasempresariales.-Ultima-version-1.pdf

11 páginas
Anónimo

@Anónimo

He publicado nuevos apuntes de 1º Matemáticas Empresariales: Calculo-Matricial.pdf

19 páginas

He publicado nuevos ejercicios de 1º Matemáticas Empresariales: Formas-cuadraticas.pdf

4 páginas
Anónimo

@Anónimo

examenes

-

PARCIAL CALCULO VICALVARO SOLUCIÓN

He publicado nuevos examenes de 1º Matemáticas Empresariales: PARCIAL CALCULO VICALVARO SOLUCIÓN

PARCIAL-CALCULO-VICALVARO-SOLUCION.pdf
Anónimo

@Anónimo

He publicado nuevos examenes de 1º Matemáticas Empresariales: PARCIAL-ALGEBRA-solucn-Vicalvaro.pdf

8 páginas

He publicado nuevos examenes de 1º Matemáticas Empresariales: Segundo-parcial-resuelto.pdf

3 páginas

He publicado nuevos examenes de 1º Matemáticas Empresariales: Primer-parcial-21-nov-22-resuelto.pdf

4 páginas

He publicado nuevos ejercicios de 1º Matemáticas Empresariales: Ejercicios-de-transformacion-de-funciones.pdf

8 páginas

He publicado nuevos apuntes de 1º Matemáticas Empresariales: Ejercicios-diferenciabilidad.pdf

5 páginas

He publicado nuevos ejercicios de 1º Matemáticas Empresariales: Ejercicios-espacios-vectoriales.pdf

8 páginas

He publicado nuevos examenes de 1º Matemáticas Empresariales: Parcial-Resuelto.pdf

5 páginas

He publicado nuevos apuntes de 1º Matemáticas Empresariales: Parcial resuelto (Primera parte).pdf

4 páginas

He publicado nuevos apuntes de 1º Matemáticas Empresariales: Algebra.pdf

11 páginas
Anónimo

@Anónimo

He publicado nuevos apuntes de 1º Matemáticas Empresariales: MatEmpejercicioscomplementariosT5211130152711.pdf

7 páginas
Anónimo

@Anónimo

He publicado nuevos apuntes de 1º Matemáticas Empresariales: MatEmpTema3FormasCuadraticasReales211102161045.pdf

17 páginas
Anónimo

@Anónimo

He publicado nuevos apuntes de 1º Matemáticas Empresariales: MatEmpejerciciosT6211209151744.pdf

6 páginas
Anónimo

@Anónimo

He publicado nuevos apuntes de 1º Matemáticas Empresariales: MatEmpejercicioscomplementariosT7211221162610.pdf

15 páginas
Anónimo

@Anónimo

He publicado nuevos apuntes de 1º Matemáticas Empresariales: TEMA-7-INTEGRAL-DEFINIDA211214153713.pdf

9 páginas
Anónimo

@Anónimo

He publicado nuevos apuntes de 1º Matemáticas Empresariales: MatEmpTema-40Derivadas211104162549.pdf

14 páginas
Anónimo

@Anónimo

He publicado nuevos apuntes de 1º Matemáticas Empresariales: Tablas-de-integrales-inmediatas211130155731.pdf

1 página
Anónimo

@Anónimo

He publicado nuevos apuntes de 1º Matemáticas Empresariales: MatEmpejerciciosT4211118163457.pdf

15 páginas
Anónimo

@Anónimo

He publicado nuevos apuntes de 1º Matemáticas Empresariales: MatEmpejerciciosT2211019163340.pdf

5 páginas
Anónimo

@Anónimo

He publicado nuevos apuntes de 1º Matemáticas Empresariales: MatEmpTema-4ContinuidadDerivabilidad211123153924.pdf

17 páginas
Anónimo

@Anónimo

He publicado nuevos apuntes de 1º Matemáticas Empresariales: MatEmpejerciciosT5.pdf

10 páginas
Anónimo

@Anónimo

He publicado nuevos apuntes de 1º Matemáticas Empresariales: MatEmpejercicioscomplementariosT6.pdf

9 páginas
Anónimo

@Anónimo

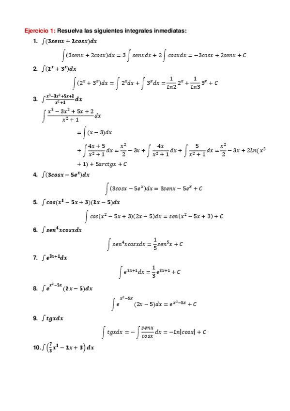
He publicado nuevos apuntes de 1º Matemáticas Empresariales: MatEmpTema6IntegralIndefinida.pdf

12 páginas
Anónimo

@Anónimo

He publicado nuevos apuntes de 1º Matemáticas Empresariales: MatEmpTema2AplicacionesLineales221109173728.pdf

49 páginas
Anónimo

@Anónimo

He publicado nuevos apuntes de 1º Matemáticas Empresariales: MatEmpejerciciosT7211214154013.pdf

2 páginas
Anónimo

@Anónimo

He publicado nuevos apuntes de 1º Matemáticas Empresariales: MatEmpTema5Diferenciabilidad211125162738.pdf

11 páginas
Anónimo

@Anónimo

He publicado nuevos apuntes de 1º Matemáticas Empresariales: MatEmpejercicioscomplementariosT7-solucion.pdf

26 páginas
Anónimo

@Anónimo

He publicado nuevos apuntes de 1º Matemáticas Empresariales: MatEmpejerciciosT7RESOLUCION.pdf

10 páginas
Anónimo

@Anónimo

He publicado nuevos apuntes de 1º Matemáticas Empresariales: MatEmpejerciciosT6RESOLUCION.pdf

9 páginas
Anónimo

@Anónimo

He publicado nuevos apuntes de 1º Matemáticas Empresariales: MatEmpejercicioscomplementariosT6-solucion.pdf

17 páginas
Anónimo

@Anónimo

He publicado nuevos apuntes de 1º Matemáticas Empresariales: MatEmpejercicioscomplementariosT5-solucion.pdf

13 páginas
Anónimo

@Anónimo

He publicado nuevos apuntes de 1º Matemáticas Empresariales: MatEmpejerciciosT5-RESOLUCION.pdf

6 páginas
Anónimo

@Anónimo

He publicado nuevos apuntes de 1º Matemáticas Empresariales: MatEmpejercicioscomplementariosT4-Solucion.pdf

8 páginas
Anónimo

@Anónimo

He publicado nuevos apuntes de 1º Matemáticas Empresariales: MatEmpejerciciosT4RESOLUCION.pdf

7 páginas