Todo
Apuntes
Ejercicios
Exámenes
chevron_left
chevron_right

apuntes

-

Apuntes y ejercicios mates empresariales

Estos son mis apuntes de mates empresariales del curso 24/25 con los que conseguí aprobar a la primera sin ir a recu. Son los ejercicios del examen tal cual. Mucha suerte!!!!

Notes241202192609.pdf
Notes241117203105.pdf
Notes241114172753.pdf
Notes241007154344.pdf
Notes241111204341.pdf
Notes241202113636.pdf

He publicado nuevos apuntes de 1º Matemáticas Empresariales: Examen-matematicas-segundo-parcial.pdf

2 páginas

He publicado nuevos apuntes de 1º Matemáticas Empresariales: temario-mates-financieras-apuntes-temas-1-5.pdf

32 páginas

ejercicios

-

Ejercicios resueltos matemáticas empresariales

He publicado nuevos ejercicios de 1º Matemáticas Empresariales: Ejercicios resueltos matemáticas empresariales

EjercResueltos-Tema-1-Espacios-vectoriales-2.pdf
EjercResueltos-Tema-2-Diagonalizacion.pdf
EjercSoluciones-Tema-0-Matrices.pdf
EjercSoluciones-Tema-4-0-Derivadas-una-variable.pdf
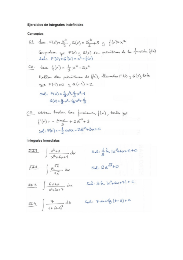
EjercSoluciones-Tema-6-Integrales-indefinidas-2.pdf

apuntes

-

Tema 0 - Matrices

He publicado nuevos apuntes de 1º Matemáticas Empresariales: Tema 0 - Matrices

Tema-0-Matrices.pdf
Tema-1-Espacios-vectoriales.pdf
Tema-2-Aplicaciones-lineales-ejerc-resuelt.pdf
Tema-2-Aplicaciones-lineales.pdf
Tema-3-Formas-cuadraticas-reales.pdf
Tema-4-Continuidad-y-derivabilidad-de-funciones.pdf

examenes

-

Examenes matematicas empresariales

He publicado nuevos examenes de 1º Matemáticas Empresariales: Examenes matematicas empresariales

examen-2015-preguntas-y-respuestas.pdf
examen-14-enero-2014-preguntas-y-respuestas.pdf
examen-matematicas-empresariales-2013-2014-ade-mostoles.pdf
mat-emp-2017-enero-b.pdf
examen-matematicas-empresariales-economia-y-dobles-grados-enero-2014-resuelto-campus-fuenlabrada.pdf
examen-con-soluciones.pdf
¡Estás al día!

¡Estás al día!

Has visto todos los archivos