Todo
Apuntes
Ejercicios
Exámenes
publication
chevron_left
chevron_right

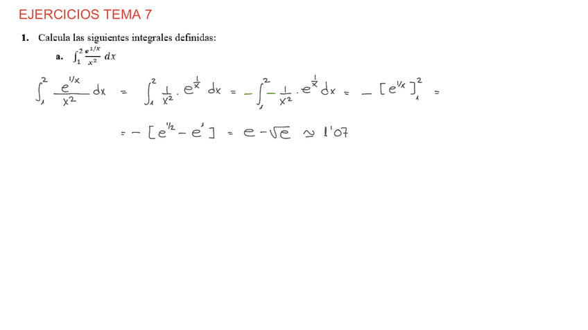
He publicado nuevos apuntes de 1º Matemáticas Empresariales: T.7-EJERCICIOS-RESUELTOS-INTEGRAL-DEFINIDA.pdf

2 páginas

He publicado nuevos apuntes de 1º Matemáticas Empresariales: T.6-EJERCICIOS-RESUELTOS-INTEGRAL-INDEFINIDA.pdf

3 páginas

He publicado nuevos apuntes de 1º Matemáticas Empresariales: MODELOS-EXAMENES-RESUELTOS-PARCIAL-2.pdf

12 páginas

He publicado nuevos apuntes de 1º Matemáticas Empresariales: Ejercicios-Repaso-matrices-y-determinantes.pdf

19 páginas

He publicado nuevos apuntes de 1º Matemáticas Empresariales: Ejercicios-Repaso-Sistemas-de-Ecuaciones.pdf

16 páginas

apuntes

-

Apuntes completos más ejercicios Matemáticas Empresariales

He publicado nuevos apuntes de 1º Matemáticas Empresariales: Apuntes completos más ejercicios Matemáticas Empresariales

Tema-6-Integrales-Indefinidas.pdf
Tema-6-Integrales-Indefinidas.pdf
Tema-1-Espacios-Vectoriales.pdf
Tema-1-Espacios-Vectoriales.pdf
Tema-4-Continuidad-Y-Derivabilidad-De-Funciones.pdf
Tema-4-Continuidad-Y-Derivabilidad-De-Funciones.pdf

apuntes

-

Tema 6. Integrales Indefinidas. Fragmento del SPEEDRUN de MATEMÁTICAS EMPRESARIALES

Video y Apuntes del Tema 6 sobre Integrales Indefinidas

Miniatura no disponible
https://www.youtube.com/watch?v=Pbj7yFrnJhg&list=PLlcT7xl40eUKOprFf5ZgGWef4ldjmbmOW&index=6
Miniatura no disponible
https://www.youtube.com/watch?v=Pbj7yFrnJhg&list=PLlcT7xl40eUKOprFf5ZgGWef4ldjmbmOW&index=6
Tema-6.-Integrales-Indefinidas.pdf
Tema-6.-Integrales-Indefinidas.pdf
Miniatura no disponible
https://proxusacademy.com/speedruns/urjc-ade
Miniatura no disponible
https://proxusacademy.com/speedruns/urjc-ade
Anónimo

@Anónimo

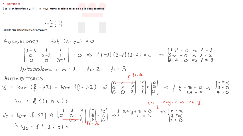
He publicado nuevos apuntes de 1º Matemáticas Empresariales: T.6-INTEGRAL-INDEFINIDA.pdf

7 páginas
Anónimo

@Anónimo

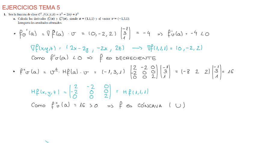
He publicado nuevos apuntes de 1º Matemáticas Empresariales: T.5-EJERCICIOS-RESUELTOS-DIFERENCIABILIDAD.pdf

5 páginas
Anónimo

@Anónimo

He publicado nuevos apuntes de 1º Matemáticas Empresariales: T.5-DIFERENCIABILIDAD.pdf

7 páginas
Anónimo

@Anónimo

He publicado nuevos apuntes de 1º Matemáticas Empresariales: T.4-EJERCICIOS-RESUELTOS-CONTINUIDAD-Y-DERIVABILIDAD.pdf

5 páginas
Anónimo

@Anónimo

He publicado nuevos apuntes de 1º Matemáticas Empresariales: T.4-CONTINUIDAD-Y-DERIVABILIDAD-DE-FUNCIONES.pdf

7 páginas
Anónimo

@Anónimo

He publicado nuevos apuntes de 1º Matemáticas Empresariales: T.7-INTEGRAL-DEFINIDA.pdf

5 páginas

He publicado nuevos examenes de 1º Matemáticas Empresariales: Matematicas-empresariales-ex-enero-2024.pdf

2 páginas

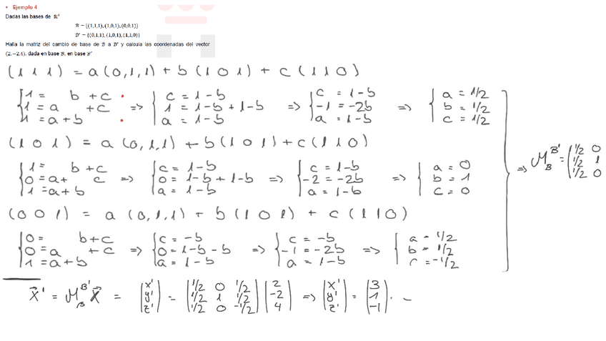
He publicado nuevos ejercicios de 1º Matemáticas Empresariales: Tema-1.-Ejercicios.-Espacio-Vectorial.pdf

3 páginas
Anónimo

@Anónimo

He publicado nuevos examenes de 1º Matemáticas Empresariales: Modelo-Examen-1-Algebra-Lineal.pdf

3 páginas
Anónimo

@Anónimo

He publicado nuevos examenes de 1º Matemáticas Empresariales: Modelo-Examen-2-Algebra-Lineal.pdf

3 páginas
Anónimo

@Anónimo

He publicado nuevos examenes de 1º Matemáticas Empresariales: Modelo-Examen-3-Algebra-Lineal.pdf

3 páginas
Anónimo

@Anónimo

He publicado nuevos examenes de 1º Matemáticas Empresariales: Modelo-Examen-4-Algebra-Lineal.pdf

3 páginas

Apúntate a nuestros cursos intensivos para aprobar en la convocatoria de Junio

Clases en modalidad presencial/online hasta la fecha del examen. Se explicará la parte de la teoría imprescindible para entender la asignatura, se resolverán los ejercicios más importantes del curso y se realizarán con todo detalle los exámenes de otros años.

He publicado nuevos apuntes de 1º Matemáticas Empresariales: Resumen-integrales-indefinidas.pdf

7 páginas

He publicado nuevos apuntes de 1º Matemáticas Empresariales: EJERCICIOS-DE-EXAMEN.pdf

8 páginas

apuntes

-

Temario y ejercicios Matematicas empresariales

Temario, ejercicios

Ejercicios-Tema-1-Espacios-vectoriales.pdf
Ejercicios-Tema-1-Espacios-vectoriales.pdf
Ejercicios-Tema-2-Aplicaciones-lineales.pdf
Ejercicios-Tema-2-Aplicaciones-lineales.pdf
Ejercicios-Tema-2-Diagonalizacion-de-matrices.pdf
Ejercicios-Tema-2-Diagonalizacion-de-matrices.pdf

He publicado nuevos apuntes de 1º Matemáticas Empresariales: TEMA-1.-ESPACIOS-VECTORIALES.pdf

3 páginas

He publicado nuevos apuntes de 1º Matemáticas Empresariales: CUADERNO-MATES.pdf

49 páginas

ejercicios

-

Matemáticas Empresariales

Ejercicios de todo el cuatrimestre

Ejercicios-Espacios-vectoriales.pdf
Ejercicios-Espacios-vectoriales.pdf
Ejercicios-Diagonalizacion-de-matrices.pdf
Ejercicios-Diagonalizacion-de-matrices.pdf
Ejercicios-Formas-cuadraticas.-pt-2.pdf
Ejercicios-Formas-cuadraticas.-pt-2.pdf
Anónimo

@Anónimo

apuntes

-

Mates empresariales tema 7

He publicado nuevos apuntes de 1º Matemáticas Empresariales: Mates empresariales tema 7

MEFCLASE-25-09.12.2021.pdf
MEFCLASE-25-09.12.2021.pdf
MEFCLASE-26-15.12.2021.pdf
MEFCLASE-26-15.12.2021.pdf
MEFCLASE-27.1-16.12.2021.pdf
MEFCLASE-27.1-16.12.2021.pdf
Anónimo

@Anónimo

apuntes

-

Mates empresariales tema 6

He publicado nuevos apuntes de 1º Matemáticas Empresariales: Mates empresariales tema 6

CORRECCION-INTEGRALES.pdf
CORRECCION-INTEGRALES.pdf
MEFCLASE-21-24.11.2021.pdf
MEFCLASE-21-24.11.2021.pdf
MEFCLASE-22-25.11.2021.pdf
MEFCLASE-22-25.11.2021.pdf
Anónimo

@Anónimo

apuntes

-

Mates empresariales tema 5

He publicado nuevos apuntes de 1º Matemáticas Empresariales: Mates empresariales tema 5

MEFCLASE-19-17.11.2021.pdf
MEFCLASE-19-17.11.2021.pdf
MEFCLASE-20-18.11.2021.pdf
MEFCLASE-20-18.11.2021.pdf
MEFEjercicios-TEMA-5.pdf
MEFEjercicios-TEMA-5.pdf
Anónimo

@Anónimo

apuntes

-

Mates empresariales tema 4

He publicado nuevos apuntes de 1º Matemáticas Empresariales: Mates empresariales tema 4

MEFCLASE-14-28.10.2021.pdf
MEFCLASE-14-28.10.2021.pdf
MEFCLASE-15-03.11.2021.pdf
MEFCLASE-15-03.11.2021.pdf
MEFCLASE-16-04.11.2021.pdf
MEFCLASE-16-04.11.2021.pdf
Anónimo

@Anónimo

apuntes

-

Mates empresariales tema 3

He publicado nuevos apuntes de 1º Matemáticas Empresariales: Mates empresariales tema 3

MEFCLASE-12-21.10.2021.pdf
MEFCLASE-12-21.10.2021.pdf
MEFCLASE-13-27.10.2021.pdf
MEFCLASE-13-27.10.2021.pdf
MEFEjercicios-TEMA-3.pdf
MEFEjercicios-TEMA-3.pdf
Anónimo

@Anónimo

apuntes

-

Mates empresariales tema 2

He publicado nuevos apuntes de 1º Matemáticas Empresariales: Mates empresariales tema 2

MEFCLASE-7-06.10.2021-PARTE-2.pdf
MEFCLASE-7-06.10.2021-PARTE-2.pdf
MEFCLASE-8-07.10.2021.pdf
MEFCLASE-8-07.10.2021.pdf
MEFCLASE-9-13.10.2021.pdf
MEFCLASE-9-13.10.2021.pdf
Anónimo

@Anónimo

apuntes

-

Mates empresariales tema 1

He publicado nuevos apuntes de 1º Matemáticas Empresariales: Mates empresariales tema 1

MEFCLASE-4-23.09.2021.pdf
MEFCLASE-4-23.09.2021.pdf
MEFCLASE-5-29.09.2021.pdf
MEFCLASE-5-29.09.2021.pdf
MEFCLASE-6-30.09.2021.pdf
MEFCLASE-6-30.09.2021.pdf
Anónimo

@Anónimo

He publicado nuevos apuntes de 1º Matemáticas Empresariales: Apuntes-tema-11.pdf

1 página

Profesora: Cristina Chavarria

1 página

Profesora: Cristina Chavarria

4 páginas

Profesora: Cristina Chavarria

3 páginas

Profesora: Cristina Chavarria

1 página

Profesora: Cristina Chavarria

4 páginas

Profesora: Cristina Chavarria

3 páginas

Profesora: Cristina Chavarria

2 páginas

Profesora: Cristina Chavarria

4 páginas

Profesora: Cristina Chavarria

4 páginas

apuntes

-

Resúmenes

He publicado nuevos apuntes de 1º Matemáticas Empresariales: Resúmenes

2-Aplic-LineaDiagonalizacion-y-Formas-Cuadrat.pdf
2-Aplic-LineaDiagonalizacion-y-Formas-Cuadrat.pdf
3-Calculo-Diferencial.pdf
3-Calculo-Diferencial.pdf
1-Espacios-vectoriales.pdf
1-Espacios-vectoriales.pdf

examenes

-

Exámenes

He publicado nuevos examenes de 1º Matemáticas Empresariales: Exámenes

ADE-ENERO-2018.pdf
ADE-ENERO-2018.pdf
ADEresuelto.pdf
ADEresuelto.pdf

He publicado nuevos apuntes de 1º Matemáticas Empresariales: examen.pdf

2 páginas
Anónimo

@Anónimo

apuntes

-

MATEMÁTICAS EMPRESARIALES

He publicado nuevos apuntes de 1º Matemáticas Empresariales: MATEMÁTICAS EMPRESARIALES

6-Calculo-Integral-definidas-segunda-parte.pdf
6-Calculo-Integral-definidas-segunda-parte.pdf
2-Aplic-LineaDiagonalizacion-y-Formas-Cuadrat.pdf
2-Aplic-LineaDiagonalizacion-y-Formas-Cuadrat.pdf
3-Calculo-Diferencial.pdf
3-Calculo-Diferencial.pdf

apuntes

-

DERIVADAS E INTEGRALES

He publicado nuevos apuntes de 1º Matemáticas Empresariales: DERIVADAS E INTEGRALES

plantilla-derivadas.pdf
plantilla-derivadas.pdf
1.pdf
1.pdf
4-100derivadasresueltas.pdf
4-100derivadasresueltas.pdf

apuntes

-

AMPLIACION Y EJERCICIOS TIPO EXAMEN

He publicado nuevos apuntes de 1º Matemáticas Empresariales: AMPLIACION Y EJERCICIOS TIPO EXAMEN

espacios vectoriales.pdf
espacios vectoriales.pdf
formas cuadraticas.pdf
formas cuadraticas.pdf
ejercicios diferenciabilidad.pdf
ejercicios diferenciabilidad.pdf
Anónimo

@Anónimo

apuntes

-

Temario 2018/2019

He publicado nuevos apuntes de 1º Matemáticas Empresariales: Temario 2018/2019

Tema-6.pdf
Tema-6.pdf
Tema-2.docx
Tema-2.docx
Tema-5.docx
Tema-5.docx

examenes

-

Examen 2018/2019

He publicado nuevos examenes de 1º Matemáticas Empresariales: Examen 2018/2019

Examen mates empr..pdf
Examen mates empr..pdf

apuntes

-

AYUDA ACADEMIA

He publicado nuevos apuntes de 1º Matemáticas Empresariales: AYUDA ACADEMIA

LIBRO 1.pdf.pdf
LIBRO 1.pdf.pdf
LIBRO 2.pdf.pdf
LIBRO 2.pdf.pdf

He publicado nuevos apuntes de 1º Matemáticas Empresariales: ApuntesCalc.pdf

22 páginas

examenes

-

Examen 2015/2016 Corregido

He publicado nuevos examenes de 1º Matemáticas Empresariales: Examen 2015/2016 Corregido

matesempresariales (2).jpg
matesempresariales (2).jpg
matesempresariales.jpg
matesempresariales.jpg
matesexamen2016enero.jpg
matesexamen2016enero.jpg

He publicado nuevos examenes de 1º Matemáticas Empresariales: Modelos Exámenes Matemáticas.zip

zip