Todo
Apuntes
chevron_left
chevron_right

apuntes

-

Apuntes mate

He publicado nuevos apuntes de 1º Matemáticas Empresariales: Apuntes mate

Vectorgradiente-2022-10-28-010945.pdf
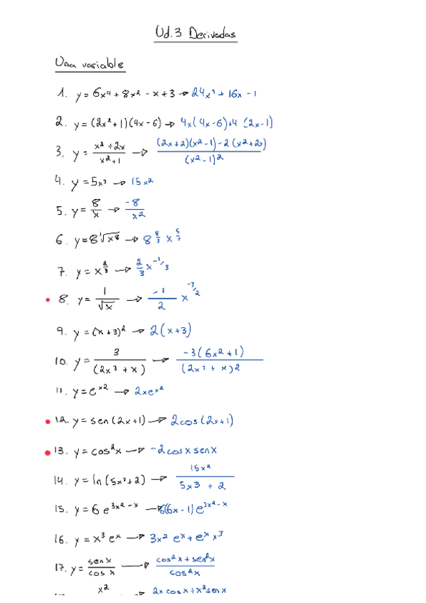
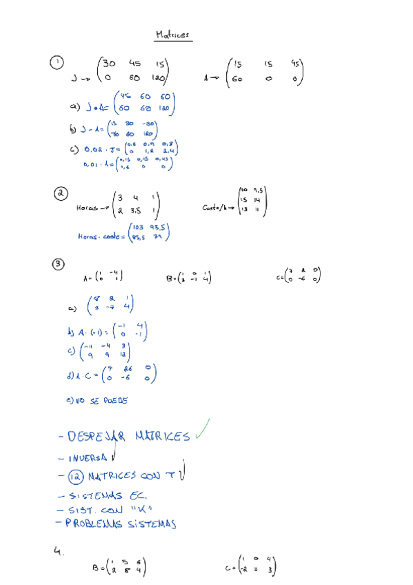
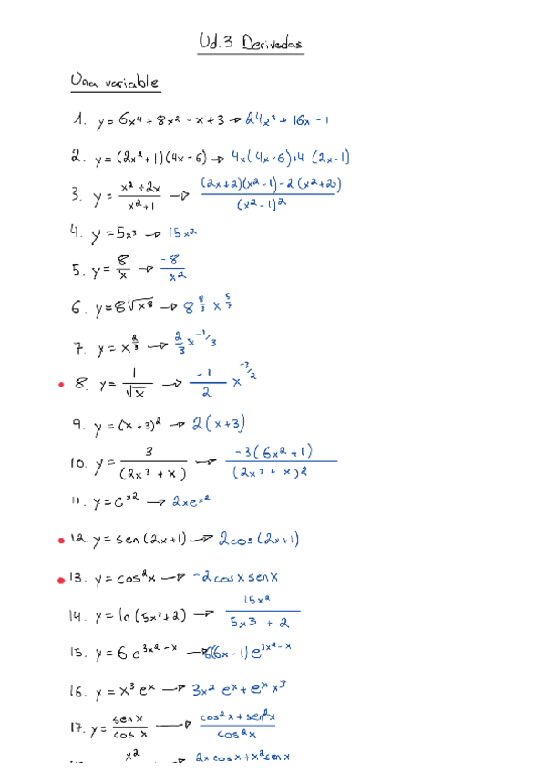
Matrices-2022-10-28-010703.pdf
Optimizacion-2022-10-28-011143.pdf
Optimizacion-libre-2022-10-28-010906.pdf
Nueva-nota-2022-10-28-011057.pdf
Tema-5-2022-10-28-011120.pdf
¡Estás al día!

¡Estás al día!

Has visto todos los archivos