chevron_left
chevron_right
Todo
Apuntes
Exámenes
chevron_left
chevron_right

Tema 1: los espacios vectoriales

2 páginas

He publicado nuevos apuntes de 1º Matemáticas Empresariales: Comportamiento-y-aceleracion-paso-a-paso.pdf

2 páginas

He publicado nuevos examenes de 1º Matemáticas Empresariales: examen-mates-empresariales.pdf

1 página

He publicado nuevos examenes de 1º Matemáticas Empresariales: examen-matematicas-empresariales.pdf

2 páginas

He publicado nuevos apuntes de 1º Matemáticas Empresariales: Intro-matrices-academia.pdf

6 páginas

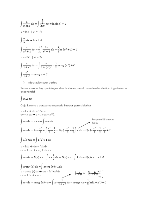
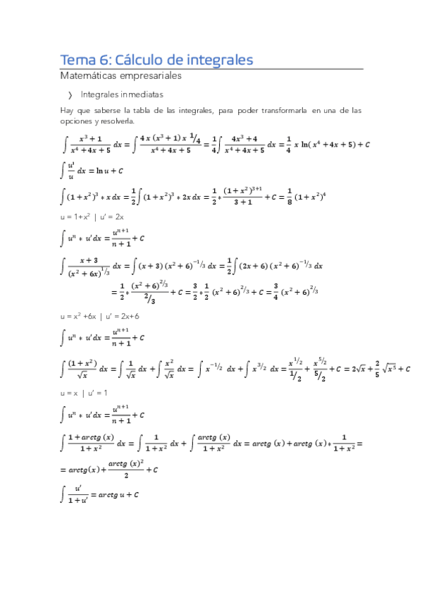
He publicado nuevos apuntes de 1º Matemáticas Empresariales: Tema-6.pdf

5 páginas

He publicado nuevos apuntes de 1º Matemáticas Empresariales: TABLA-INTEGRALES.pdf

1 página

He publicado nuevos apuntes de 1º Matemáticas Empresariales: Tema-4.pdf

14 páginas

He publicado nuevos apuntes de 1º Matemáticas Empresariales: Tema-1.pdf

10 páginas

He publicado nuevos apuntes de 1º Matemáticas Empresariales: Tema-2.pdf

7 páginas

He publicado nuevos apuntes de 1º Matemáticas Empresariales: Tema-3.pdf

3 páginas

He publicado nuevos apuntes de 1º Matemáticas Empresariales: Tema-0.pdf

5 páginas

He publicado nuevos apuntes de 1º Matemáticas Empresariales: Tema-3Formas-cuadraticas.pdf

12 páginas

He publicado nuevos apuntes de 1º Matemáticas Empresariales: Tema-2Aplicacioneslinealesyendomorfismosdiagonalizables.pdf

7 páginas

He publicado nuevos apuntes de 1º Matemáticas Empresariales: Tema-1Espaciosvectoriales.pdf

6 páginas

He publicado nuevos apuntes de 1º Matemáticas Empresariales: Ejercicios-para-clase-casa.pdf

15 páginas

He publicado nuevos apuntes de 1º Matemáticas Empresariales: Ejercicios-de-repaso-T1.pdf

2 páginas

He publicado nuevos apuntes de 1º Matemáticas Empresariales: Ejercicios-de-repaso-T2.pdf

1 página

He publicado nuevos examenes de 1º Matemáticas Empresariales: Examen-mates-2.pdf

1 página

He publicado nuevos examenes de 1º Matemáticas Empresariales: Examen-mates.pdf

1 página

He publicado nuevos examenes de 1º Matemáticas Empresariales: Examen-2.pdf

1 página

He publicado nuevos examenes de 1º Matemáticas Empresariales: Examen-1.pdf

2 páginas

apuntes

-

Matematicas empresariales

He publicado nuevos apuntes de 1º Matemáticas Empresariales: Matematicas empresariales

Ejercicios-Optimizacion.pdf
Ejercicios-Espacios-Vectoriales.pdf
Ejercicios-de-Diagonalizacion-de-Matrices.pdf
Calculo-de-derivadas-parciales.pdf
Ejercicios-de-Derivacion.pdf
¡Estás al día!

¡Estás al día!

Has visto todos los archivos