chevron_left
chevron_right
Todo
Apuntes
Exámenes
chevron_left
chevron_right

apuntes

-

Mates financieras

Estos son los apuntes con los que consegui aprobar las mates sin ir a la recu. Mucha suerte!!!!

Cap-compuesta-descuentos-y-LT250306104450.pdf
Cap-simple250305182754.pdf
Rentas-Constantes-Perpetuas250324194738.pdf
Rentas-constantes250321181423.pdf
Prestamo-frances250503202843.pdf
Prestamo-Italiano250507103230.pdf

apuntes

-

Libro Financieras

He publicado nuevos apuntes de 1º Matemáticas Financieras: Libro Financieras

4.-Activos-de-renta-fija.pdf
1.-Operaciones-financieras-simpleSS.pdf
2.-Operaciones-Financieras-Compuestas.pdf
3.-Amortizacion.-Prestamos.pdf

examenes

-

Examen matematicas financieras

He publicado nuevos examenes de 1º Matemáticas Financieras: Examen matematicas financieras

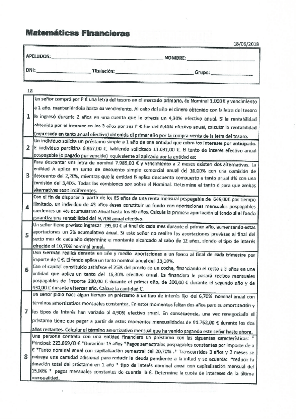
examen-2018-preguntas-y-respuestas.pdf
examen-de-muestrapractica-4-preguntas.pdf
examen-18-junio-2018-preguntas-y-respuestas.pdf
examen-2-mayo-preguntas-y-respuestas.pdf
examen-18-mayo-preguntas-y-respuestas.pdf
examen-9-enero-2017-preguntas-y-respuestas.pdf

examenes

-

Matemáticas Financieras

He publicado nuevos examenes de 1º Matemáticas Financieras: Matemáticas Financieras

examenes-del-2-al-6.docx
¡Estás al día!

¡Estás al día!

Has visto todos los archivos