Todo
Apuntes
Ejercicios
Exámenes
publication
chevron_left
chevron_right

He publicado nuevos apuntes de 1º Matemáticas Financieras: MATES-FINJACIERAS-bloque1y2.pdf

13 páginas

He publicado nuevos examenes de 1º Matemáticas Financieras: SOLUCION-EXAMEN-B-PEC-I-ADE-FUENLABRADA-2Q-T-3.pdf

4 páginas

He publicado nuevos apuntes de 1º Matemáticas Financieras: LEASING-Y-SINKINK-FUND.pdf

3 páginas

He publicado nuevos apuntes de 1º Matemáticas Financieras: PRESTAMO-ITALIANO.pdf

2 páginas

He publicado nuevos apuntes de 1º Matemáticas Financieras: PRESTAMO-FRANCES.pdf

3 páginas

He publicado nuevos apuntes de 1º Matemáticas Financieras: RENTAS-GEOMETRICAS.pdf

3 páginas

SEGUNDO EXAMEN

4 páginas

ESQUEMAS TEMA PRESTAMOS Y BONOS

10 páginas

EJERCICIOS TEMA 5 PRESTAMOS FINANCIERAS

14 páginas

He publicado nuevos examenes de 1º Matemáticas Financieras: SOLUCION-EXAMENES-ANTERIORES-MF.pdf

4 páginas

He publicado nuevos apuntes de 1º Matemáticas Financieras: Tema-9-Introduccion-a-los-activos-de-Renta-Fija.pdf

16 páginas

He publicado nuevos apuntes de 1º Matemáticas Financieras: Tema-8.2.-Sistamort-prestamos-VARIABLES.pdf

14 páginas

He publicado nuevos apuntes de 1º Matemáticas Financieras: TEMA-8.3-Amortizacion-anticipada-y-carencias.pdf

31 páginas

He publicado nuevos apuntes de 1º Matemáticas Financieras: T8.2.-EJERCICIOS-SistAmortprestamos-VARIABLES.pdf

9 páginas

He publicado nuevos apuntes de 1º Matemáticas Financieras: PRESTAMO-FRANCES-y-geometrico.pdf

2 páginas

He publicado nuevos apuntes de 1º Matemáticas Financieras: Tema-8.1-Sistemas-de-Amortizacon-de-prestamos.pdf

37 páginas

He publicado nuevos apuntes de 1º Matemáticas Financieras: Tema-7-Prestamos-Teoria-con-ejercicios-1.pdf

14 páginas

He publicado nuevos apuntes de 1º Matemáticas Financieras: Tabla-de-Prestamos-1.pdf

1 página

He publicado nuevos apuntes de 1º Matemáticas Financieras: T6-Operaciones-financieras-compuestas-2024-1.pdf

20 páginas

He publicado nuevos apuntes de 1º Matemáticas Financieras: T6-Valoracion-de-Rentas-Financieras-III-2.pdf

28 páginas

He publicado nuevos apuntes de 1º Matemáticas Financieras: Problemas-de-geometricas-esenciales-2-1.pdf

5 páginas

He publicado nuevos apuntes de 1º Matemáticas Financieras: Problemas-de-geometricas-esenciales-1-2.pdf

5 páginas

He publicado nuevos apuntes de 1º Matemáticas Financieras: EJERCICIOS-BASICOS-GEOMETRICA-final-2.pdf

5 páginas

He publicado nuevos apuntes de 1º Matemáticas Financieras: SOLUCION-perpetuasdiferanticipadas.pdf

3 páginas

He publicado nuevos apuntes de 1º Matemáticas Financieras: SOLUCION-OTROS-Ejercicios-propuestos-rentas-II.pdf

6 páginas

He publicado nuevos apuntes de 1º Matemáticas Financieras: T-5.1-SOLUCION-Ejercicios-Basicos-Rentas-I.pdf

3 páginas

He publicado nuevos apuntes de 1º Matemáticas Financieras: SOLUCIONES-Ejrentasconstitdisp.pdf

4 páginas

He publicado nuevos apuntes de 1º Matemáticas Financieras: SOLUCION-EJPROPUESTOS-CAMBIO-DE-TIPOS.pdf

8 páginas

He publicado nuevos apuntes de 1º Matemáticas Financieras: Tema-4.2.-Operaciones-de-Descuento-Compuesto-2.pdf

16 páginas

He publicado nuevos apuntes de 1º Matemáticas Financieras: otros-EJERCICIOS-PROPUESTOS-DESCUENTO.pdf

3 páginas

He publicado nuevos apuntes de 1º Matemáticas Financieras: Ejercicios-Tema-4.2-Descuento-compuesto-letras-del-Tesoro.pdf

12 páginas

He publicado nuevos apuntes de 1º Matemáticas Financieras: T3.4-Ejercicios-propuestos-3-1.pdf

10 páginas

He publicado nuevos apuntes de 1º Matemáticas Financieras: T3.4.-Ejercicios-Propuestos-Resueltos-2-1.pdf

14 páginas

He publicado nuevos apuntes de 1º Matemáticas Financieras: Tema-3.3.Ejerc.-Ejercicios-Basicos-Tantos-Equivalentes-2-1.pdf

5 páginas

He publicado nuevos apuntes de 1º Matemáticas Financieras: Tema-3.3.-Tantos-Equivalentes-1-1.pdf

18 páginas

He publicado nuevos apuntes de 1º Matemáticas Financieras: T3.3-Ejercicios-resueltos-de-tantos-1.pdf

6 páginas

He publicado nuevos apuntes de 1º Matemáticas Financieras: Tema-3.2.Ejerc.-Ejercicios-Basicos-de-Capitalizacion-Compuesta-1.pdf

5 páginas

He publicado nuevos apuntes de 1º Matemáticas Financieras: Tema-3.2.-Capitalizacion-Compuesta-1.pdf

13 páginas

He publicado nuevos apuntes de 1º Matemáticas Financieras: Ejercicios-resueltos-T3.2-1.pdf

7 páginas

He publicado nuevos apuntes de 1º Matemáticas Financieras: TEMA-3.1.-Ejerc.-Ejercicios-Basicos-Capitalizacion-Simple-2.pdf

6 páginas

He publicado nuevos apuntes de 1º Matemáticas Financieras: TEMA-3.1.-Capitalizacion-Simple-1.pdf

14 páginas

He publicado nuevos apuntes de 1º Matemáticas Financieras: Ejercicios-resueltos-T3.1-1.pdf

8 páginas

He publicado nuevos apuntes de 1º Matemáticas Financieras: TEMA-I-y-II-INTRODUCCION-1.pdf

12 páginas

He publicado nuevos apuntes de 1º Matemáticas Financieras: PREGUNTAS-DE-EXAMENES-ANTERIORES.pdf

5 páginas

He publicado nuevos apuntes de 1º Matemáticas Financieras: Tema-4.1.-Operaciones-de-Descuento-Simple-1.pdf

28 páginas

He publicado nuevos apuntes de 1º Matemáticas Financieras: Ejercicios-Basicos-Tema-4.1.1.-Descuento-simple-1.pdf

10 páginas

He publicado nuevos apuntes de 1º Matemáticas Financieras: Ejercicios-Propuestos-Tema-4.1.2-Desc.-simple-com-1.pdf

7 páginas

He publicado nuevos apuntes de 1º Matemáticas Financieras: SOLUCION-EXAMEN-PARCIAL-ADE-FUENLABRADA-TARDE.pdf

4 páginas

He publicado nuevos examenes de 1º Matemáticas Financieras: Examen-mayo-2024.pdf

7 páginas

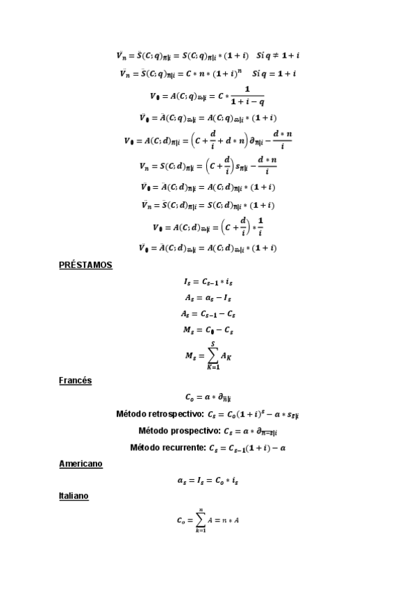
He publicado nuevos apuntes de 1º Matemáticas Financieras: formulas-matematicas-financieras.pdf

3 páginas
Anónimo

@Anónimo

He publicado nuevos ejercicios de 1º Matemáticas Financieras: Ejercicios-financieras-bloque-12-y-3.pdf

12 páginas
Anónimo

@Anónimo

He publicado nuevos examenes de 1º Matemáticas Financieras: Examen-matematicas-financieras-2023.pdf

8 páginas
Anónimo

@Anónimo

He publicado nuevos apuntes de 1º Matemáticas Financieras: TABLA-Formulas.pdf

3 páginas

apuntes

-

Matemáticas financieras completos

He publicado nuevos apuntes de 1º Matemáticas Financieras: Matemáticas financieras completos

OPERACIONES-DE-LEASING-Teoria.pdf
OPERACIONES-DE-LEASING-Teoria.pdf
tema-6-matematicas-financieras.pdf
tema-6-matematicas-financieras.pdf
tema-2-matematicas-financieras.pdf
tema-2-matematicas-financieras.pdf

ejercicios

-

Ejercicios curso 2019/2020

He publicado nuevos ejercicios de 1º Matemáticas Financieras: Ejercicios curso 2019/2020

Problemas-Letras-del-Tesoro.pdf
Problemas-Letras-del-Tesoro.pdf
Ejercicios-de-Capitalizacion-Compuesta.pdf
Ejercicios-de-Capitalizacion-Compuesta.pdf
Ejercicios-de-Capitalizacion-Simple.pdf
Ejercicios-de-Capitalizacion-Simple.pdf
Anónimo

@Anónimo

He publicado nuevos examenes de 1º Matemáticas Financieras: SIMULACRO-DE-EXAMEN-MATEMATICAS-FINANCIERAS-MAYO-2021.pdf

4 páginas

He publicado nuevos examenes de 1º Matemáticas Financieras: Preguntas-examen-Mates-Financieras.pdf

43 páginas

ejercicios

-

ejercicios matemáticas financieras

He publicado nuevos ejercicios de 1º Matemáticas Financieras: ejercicios matemáticas financieras

mates-ejercicios-tema-1-1.pdf
mates-ejercicios-tema-1-1.pdf
mates-ejercicios-tema-1-3.pdf
mates-ejercicios-tema-1-3.pdf
mates-ejercicios-tema-2-2.pdf
mates-ejercicios-tema-2-2.pdf

Profesora: Maria Rocio Guede Cid

2 páginas

Profesora: Maria Rocio Guede Cid

4 páginas