chevron_left
chevron_right
Todo
Ejercicios
chevron_left
chevron_right

ejercicios

-

Capitalizacion Compuesta Solucion.

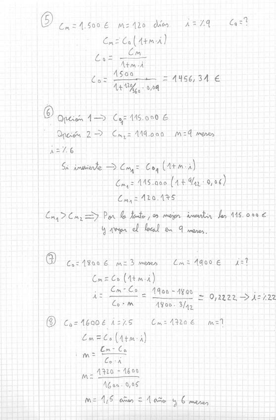
He publicado nuevos ejercicios de 4º Matemáticas Financieras Aplicadas a la Contabilidad: Capitalizacion Compuesta Solucion.

Document-2-1-1.pdf
EjerciciosCapitalizacion-Compuesta-1.pdf

He publicado nuevos ejercicios de 4º Matemáticas Financieras Aplicadas a la Contabilidad: Document-3-1.pdf

4 páginas

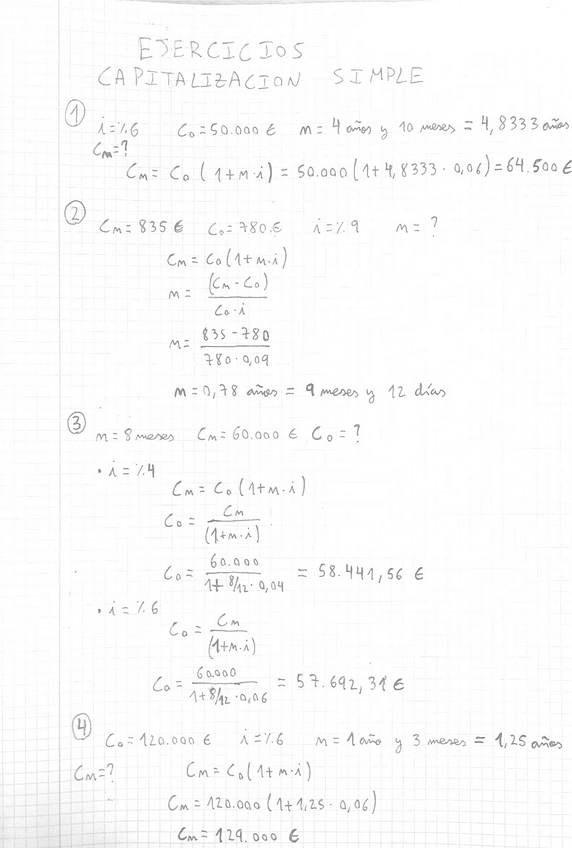
He publicado nuevos ejercicios de 4º Matemáticas Financieras Aplicadas a la Contabilidad: EjerciciosCapitalizacion-Simple.pdf

2 páginas
¡Estás al día!

¡Estás al día!

Has visto todos los archivos