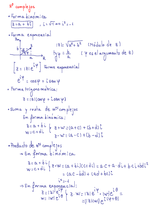
Matemáticas Generales Aplicadas a la Bioquímica

Todo
Apuntes
Ejercicios
Exámenes
publication
chevron_left
chevron_right

Hola! Alguien tiene ejercicios de matemáticas resueltos de este año?

He publicado nuevos apuntes de 1º Matemáticas Generales Aplicadas a la Bioquímica: T5.-Ecuaciones-Diferenciales.pdf

6 páginas

Teoría de integral de cambio de variable, calcular longitudes de curvas, volúmenes de resolución e integración numérica.

3 páginas

He publicado nuevos apuntes de 1º Matemáticas Generales Aplicadas a la Bioquímica: T2.-Diferenciacion.pdf

9 páginas

He publicado nuevos apuntes de 1º Matemáticas Generales Aplicadas a la Bioquímica: Apuntes-Capitulo-6.pdf

3 páginas

He publicado nuevos examenes de 1º Matemáticas Generales Aplicadas a la Bioquímica: Taylor-examen-resuelto-paso-a-paso.pdf

1 página

He publicado nuevos apuntes de 1º Matemáticas Generales Aplicadas a la Bioquímica: T1.-Funciones-Elementales.pdf

13 páginas

He publicado nuevos apuntes de 1º Matemáticas Generales Aplicadas a la Bioquímica: Matematicas-Generales-Aplicadas-a-la-Bioquimica-Tema-2-Diferenciacion.pdf

9 páginas

He publicado nuevos apuntes de 1º Matemáticas Generales Aplicadas a la Bioquímica: Matematicas-Generales-Aplicadas-a-la-Bioquimica-Tema-1-Funciones-elementales.pdf

13 páginas

Enunciado del examen del 06/02/2025 (2ª convocatoria ordinaria)

1 página

apuntes

-

Ejercicios y exámenes de matemáticas

He publicado nuevos apuntes de 1º Matemáticas Generales Aplicadas a la Bioquímica: Ejercicios y exámenes de matemáticas

Miniatura no disponible
Tema-5-examenes-de-otros-anos-y-relacion.pdf
Miniatura no disponible
Ecuaciones-diferenciales.pdf
Miniatura no disponible
Examen-febrero-2024.pdf
Examen-octubre-2024.pdf
Miniatura no disponible
Modelos-Bioquimicos-Formulas-y-ejercicios.pdf

apuntes

-

Apuntes Matemáticas COMPLETOS

He publicado nuevos apuntes de 1º Matemáticas Generales Aplicadas a la Bioquímica: Apuntes Matemáticas COMPLETOS

Tema-5-Ecuaciones-diferenciales.pdf
Tema-4-Calculo-en-varias-variables.pdf
Tema-3-Integracion.pdf
Tema-2-Diferenciacion.pdf
Tema-1-funciones-elementales.pdf

Apuntes de matemáticas aplicadas a la bioquímica del curso 2024/25

23 páginas

He publicado nuevos examenes de 1º Matemáticas Generales Aplicadas a la Bioquímica: examenes-y-ejercicios-resueltos.pdf

26 páginas

He publicado nuevos apuntes de 1º Matemáticas Generales Aplicadas a la Bioquímica: Comandos.pdf

2 páginas

He publicado nuevos apuntes de 1º Matemáticas Generales Aplicadas a la Bioquímica: Practicas-MAXIMA.pdf

2 páginas

He publicado nuevos apuntes de 1º Matemáticas Generales Aplicadas a la Bioquímica: temario-matematicas.pdf

52 páginas

He publicado nuevos ejercicios de 1º Matemáticas Generales Aplicadas a la Bioquímica: Ejercicios-Matematicas.pdf

6 páginas

He publicado nuevos examenes de 1º Matemáticas Generales Aplicadas a la Bioquímica: Practica-15-maxima-parecida-a-examen.pdf

2 páginas

He publicado nuevos examenes de 1º Matemáticas Generales Aplicadas a la Bioquímica: Examen-Maxima-resuelto.pdf

1 página

He publicado nuevos apuntes de 1º Matemáticas Generales Aplicadas a la Bioquímica: Apuntes-maxima.pdf

20 páginas
Anónimo

@Anónimo

He publicado nuevos apuntes de 1º Matemáticas Generales Aplicadas a la Bioquímica: FORMULARIO-MATEMATICAS.pdf

9 páginas
Anónimo

@Anónimo

He publicado nuevos ejercicios de 1º Matemáticas Generales Aplicadas a la Bioquímica: MATEMATICAS-RELACIONES-RESUELTAS.pdf

91 páginas
Anónimo

@Anónimo

He publicado nuevos examenes de 1º Matemáticas Generales Aplicadas a la Bioquímica: MATEMATICAS-EXAMENES-RESUELTOS.pdf

46 páginas
Anónimo

@Anónimo

He publicado nuevos apuntes de 1º Matemáticas Generales Aplicadas a la Bioquímica: MATEMATICAS-APUNTES.pdf

68 páginas
Anónimo

@Anónimo

He publicado nuevos apuntes de 1º Matemáticas Generales Aplicadas a la Bioquímica: MATEMATICAS-FORMULARIO.pdf

10 páginas

He publicado nuevos apuntes de 1º Matemáticas Generales Aplicadas a la Bioquímica: Polinomio-De-Taylor.pdf

4 páginas

He publicado nuevos apuntes de 1º Matemáticas Generales Aplicadas a la Bioquímica: Funciones-en-2-variables.pdf

9 páginas

He publicado nuevos apuntes de 1º Matemáticas Generales Aplicadas a la Bioquímica: importante-ultimos-temas.pdf

7 páginas

examenes

-

Examénes resueltos

He publicado nuevos examenes de 1º Matemáticas Generales Aplicadas a la Bioquímica: Examénes resueltos

Enero-18.pdf
Examen-enero-18.pdf
Septiembre-18.pdf
Examen-septiembre-2018.pdf
Enero-19.pdf
Examen-enero-19.pdf

He publicado nuevos apuntes de 1º Matemáticas Generales Aplicadas a la Bioquímica: Formulario completo (2022/2023).pdf

9 páginas

He publicado nuevos apuntes de 1º Matemáticas Generales Aplicadas a la Bioquímica: Matematicas-1Bioquimica.-Pedro-Antonio-Cid.pdf

17 páginas

ejercicios

-

Ejercicios de clase, mates

Sólo alguno porque el resto está en el solucionario que da el profesor

serie-de-taylor-de-ln1-x.pdf
11b-de-la-primera-relacion.pdf

examenes

-

Exámenes de mates

Resueltos por mí de otros años

19-septiembre-2019.pdf
7-febrero-2020.pdf
31-enero-2018.pdf

He publicado nuevos apuntes de 1º Matemáticas Generales Aplicadas a la Bioquímica: Analisis-Multivariable.pdf

7 páginas

He publicado nuevos apuntes de 1º Matemáticas Generales Aplicadas a la Bioquímica: COMANDOS-DE-MAXIMA.pdf

20 páginas

apuntes

-

Libreta Matemáticas

Libreta con apuntes y ejercicios hechos en clase.

Tema 3. Integración
Tema 1. Funciones elementales y número
Tema 6. Ecuaciones Diferenciales
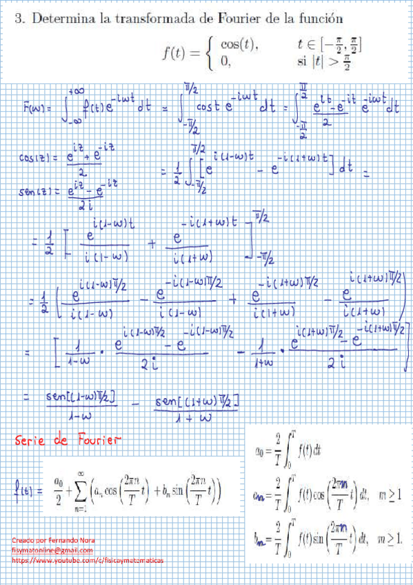
Tema 4. Teoría de Fourier
Tema 5. Cálculos en varias variables
Tema 2. Diferenciación
Anónimo

@Anónimo

He publicado nuevos apuntes de 1º Matemáticas Generales Aplicadas a la Bioquímica: MATEMATICAS-TEMA-1.pdf

1 página

apuntes

-

Apuntes temario

He publicado nuevos apuntes de 1º Matemáticas Generales Aplicadas a la Bioquímica: Apuntes temario

73DD9AE0-1B52-4073-BB0D-7EB352194576.pdf
DEEED98B-9A22-40C6-B13C-4DDC6236F385.pdf
D867F3AD-A9EE-40AC-B36D-70F0718A5345.pdf
3B189353-8214-47F1-ACE4-A24C67548E31.pdf

examenes

-

Ejercicios academia

He publicado nuevos examenes de 1º Matemáticas Generales Aplicadas a la Bioquímica: Ejercicios academia

Clase-4.pdf
Clase-5.pdf
Clase-2.pdf
Clase-3.pdf
Clase-1.pdf

He publicado nuevos apuntes de 1º Matemáticas Generales Aplicadas a la Bioquímica: maxima-comandos.pdf

2 páginas

He publicado nuevos apuntes de 1º Matemáticas Generales Aplicadas a la Bioquímica: Ejercicios-resueltos-y-Teoria-Mates.pdf

12 páginas

ejercicios

-

Ejercicios completos Hoja 1 5 y 6

Abrir para poder ver todas las hojas

Ejercicios-Tema-1.pdf
Ejercicios-Tema-5.pdf
Ejercicios-Tema-6.pdf

apuntes

-

Resúmenes de todos los temas

He publicado nuevos apuntes de 1º Matemáticas Generales Aplicadas a la Bioquímica: Resúmenes de todos los temas

Tema-5.pdf
Tema-1.pdf
Tema-2.pdf
Tema-4.pdf
Tema-3.pdf
Tema-6.pdf

He publicado nuevos apuntes de 1º Matemáticas Generales Aplicadas a la Bioquímica: FORMULARIO-MAXIMA-COMPLETO.pdf

2 páginas

apuntes

-

TEMA 2-TEMA 6 + ejemplos

He publicado nuevos apuntes de 1º Matemáticas Generales Aplicadas a la Bioquímica: TEMA 2-TEMA 6 + ejemplos

Tema-6-Ecuaciones-diferenciales.pdf
Tema-4-Analisis-de-Fourier.pdf
Tema-2-Diferenciacion.pdf
Tema-3-Integracion.pdf
Tema-5-Calculo-diferencial-en-varias-variables.pdf

He publicado nuevos apuntes de 1º Matemáticas Generales Aplicadas a la Bioquímica: Maxima-Formulario-Matematicas.pdf

11 páginas

He publicado nuevos apuntes de 1º Matemáticas Generales Aplicadas a la Bioquímica: FORMULARIO-TEMARIO.pdf

15 páginas

examenes

-

EXÁMENES RESUELTOS

He publicado nuevos examenes de 1º Matemáticas Generales Aplicadas a la Bioquímica: EXÁMENES RESUELTOS

Ex-19-sep-2019.pdf
Ex-7-Febr-2020.pdf
Ex-enero-2019.pdf

apuntes

-

APUNTES POR TEMA

He publicado nuevos apuntes de 1º Matemáticas Generales Aplicadas a la Bioquímica: APUNTES POR TEMA

Tema-1-Funciones-y-numeros.pdf
Tema-2.pdf
Tema-3-Integracion.pdf
Tema-4.pdf
Tema-5.pdf
Tema-6.pdf

He publicado nuevos apuntes de 1º Matemáticas Generales Aplicadas a la Bioquímica: Formulario Matemáticas.pdf

16 páginas

He publicado nuevos apuntes de 1º Matemáticas Generales Aplicadas a la Bioquímica: Maxima.pdf

2 páginas

apuntes

-

EJERCICIOS MATEMATICAS TODO EL AÑO

He publicado nuevos apuntes de 1º Matemáticas Generales Aplicadas a la Bioquímica: EJERCICIOS MATEMATICAS TODO EL AÑO

EJERCICIOS-RESUELTOS-TEMA-1.pdf
EJERCICIOS-RESUELTOS-TEMA-2.pdf

He publicado nuevos apuntes de 1º Matemáticas Generales Aplicadas a la Bioquímica: Examen-7-febrero-soluciones.pdf

3 páginas

He publicado nuevos apuntes de 1º Matemáticas Generales Aplicadas a la Bioquímica: WXMAXIMA-MATEMATICAS.pdf

1 página
Anónimo

@Anónimo

He publicado nuevos apuntes de 1º Matemáticas Generales Aplicadas a la Bioquímica: wuolah-free-SegundoParcial1516Soluciones.docx

word

He publicado nuevos apuntes de 1º Matemáticas Generales Aplicadas a la Bioquímica: 17-01-2020-13.38.10.pdf

3 páginas
Anónimo

@Anónimo

apuntes

-

Apuntes matemáticas 2019/2020

He publicado nuevos apuntes de 1º Matemáticas Generales Aplicadas a la Bioquímica: Apuntes matemáticas 2019/2020

Capitulo-6-Ecuaciones-diferenciales.pdf
Capitulo-4-Analisis-de-Fourier.pdf
Capitulo-2-Diferenciacion.pdf
Capitulo-3-Integracion.pdf
Capitulo-1-Funciones-Elementales.pdf
Capitulo-5-Funciones-de-varias-variables.pdf
Anónimo

@Anónimo

He publicado nuevos examenes de 1º Matemáticas Generales Aplicadas a la Bioquímica: Examen-wxmaxima-2019-2020.jpg

Imagen
Anónimo

@Anónimo

He publicado nuevos apuntes de 1º Matemáticas Generales Aplicadas a la Bioquímica: Matematicas.pdf

2 páginas