WLA_WLA
Ejercicio-13.pdf
1 página
Exámenes - Examanes-Resueltos-Matematicas-I.pdf
pdf
47 páginas
1011
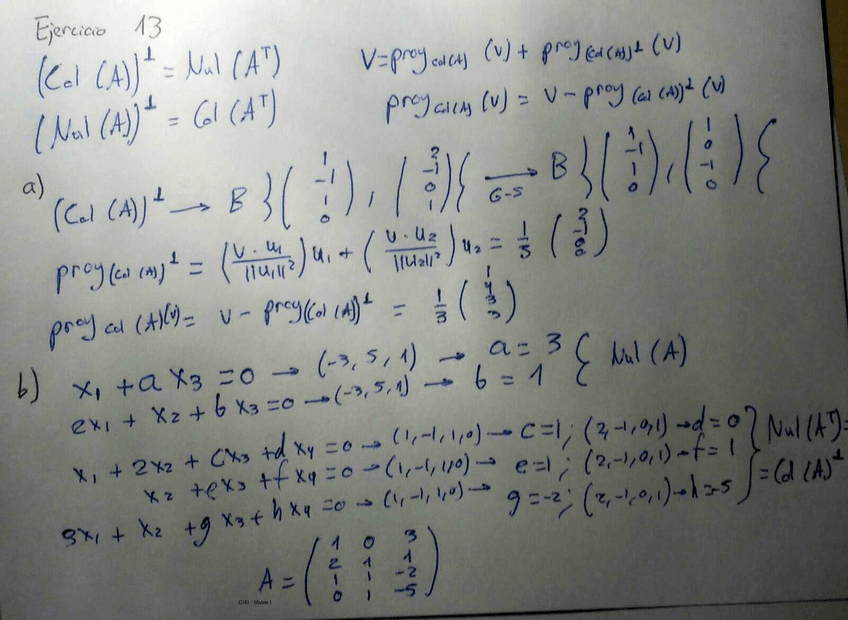
13
Exámenes - Matematicas I primera convocatoria 16-17sol.pdf
6 páginas
256
0
Exámenes - 1aConvocatoria-18-19.pdf
8 páginas
418
2
Ejercicios - coleccion-de-problemas-resueltos.pdf
203 páginas
216
1
Apuntes - tema 2.pdf
19 páginas
157
Exámenes - 17DIC11.pdf
145
Exámenes - wuolah-PRIMER PARCIAL 2011-2012 RESUELTO.pdf
7 páginas
229
Apuntes - tema 1.pdf
34 páginas
117
Exámenes - Diciembre_MI_16_17_Elec.pdf
2 páginas
151
Apuntes - tema 3.pdf
33 páginas
122
Apuntes - Matematicas I.7z
7z
3
Exámenes - wuolah-Primera convocatoria Septiembre.pdf
9 páginas
138
Exámenes - 2aConvocatoria-18-19.pdf
192
Apuntes - tema 4.pdf
26 páginas
93
Exámenes - wuolah-PRIMER PARCIAL 2010-2011 RESUELTO.pdf
4 páginas
152
Exámenes - 1ºparcial resuelto.pdf
137
Exámenes - wuolah-FEBRERO 2011 RESUELTO.pdf
136
Exámenes - wuolah-SEGUNDO PARCIAL 2011-2012 RESUELTO.pdf
141
Exámenes - 1er-Parcial-20/21.pdf
116
6
Ejercicios - Boletin-Resuelto-Tema-2-Boletin-2-Matematicas-I.pdf
18 páginas
285