Portada
Asignatura
Bachillerato
Matemáticas I
Fecha de subida
25 oct 2024
Categoría
examenes
Información
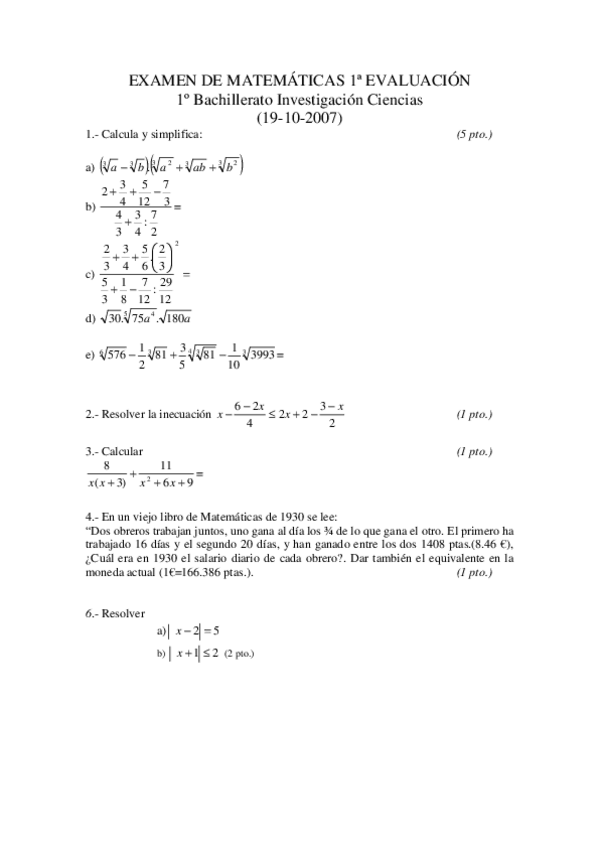
Modelo de examen con todos los contenidos de matemáticas de la 1ª evaluación de 1º de bachillerato.
Etiquetas
Apuntes - Probabilidad-de-sucesos-en-experimentos-simples-y-compuestos-mediante-la-regla-de-Laplace.pdf
pdf
5 páginas
478
2
Apuntes - Derivadas-en-matematicas.pdf
6 páginas
472
0
Apuntes - Propiedades-de-las-funciones-continuas.pdf
7 páginas
447
1
Apuntes - Caracteristicas-y-parametros-de-la-distribucion-normal.pdf
8 páginas
443
Apuntes - Ecuacion-de-la-recta-en-sus-distintas-formas.pdf
454
Apuntes - DERIVADAS-MATEMATICAS-DE-CIENCIAS.pdf
153
96
Apuntes - VECTORES-Y-GEOMETRIA-ANALITICA.pdf
146
10
Apuntes - Probabilidad.pdf
91
3
Apuntes - Desarrollo-elipse-hiperbola-y-parabola.pdf
2 páginas
17
Exámenes - 20211125-Examen-1o-CCNN-resuelto.pdf
77
8
Apuntes - Trigonometria-Resumen.pdf
3 páginas
81
21
Apuntes - Teorema-del-seno-y-coseno.pdf
45
19
Apuntes - Limites-y-continuidad.pdf
12 páginas
128
12
Apuntes - Tema-1-Numeros-Reales.pdf
4 páginas
137
11
Apuntes - LIMITES-Y-CONTINUIDAD.-ALBA-PERIAGO-PLASENCIA.pdf
9 páginas
62
16
Apuntes - MATEMATICAS-1o-BACHILLERATO.pdf
15 páginas
64
Apuntes - Ecuacionesinecuacionesysistemasparte2.pdf
13 páginas
54
13
Apuntes - Derivadas.Aplicaciones.pdf
30 páginas
37
15
Apuntes - Formulas-optimizacion.pdf
1 página
104
Apuntes - Matematicas.-Funciones-y-Limites.pdf
83
4
Información
Modelo de examen con todos los contenidos de matemáticas de la 1ª evaluación de 1º de bachillerato.