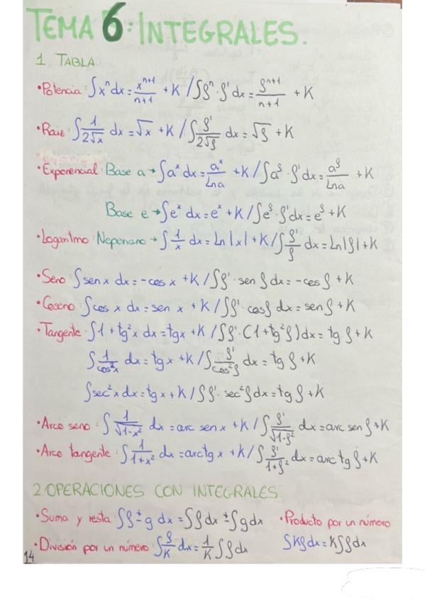
Todo
Apuntes
Preguntas
Ejercicios
Exámenes
Otros
Prácticas
publication
Trabajos
chevron_left
chevron_right

He publicado nuevos examenes de 1º Matemáticas I: Examen-Trigonometria-Soluciones.pdf

4 páginas

Parte 2 de Trigonometría, incluye: simplificar expresiones, Resolver igualdades para determinar si es verdadero o falso, Fórmulas de la suma y diferencia de 2 ángulos, el ángulo doble y Ecuaciones Trigonométricas.

2 páginas

Problemas tipo examen resueltos trigonometría y resolución de triángulos.

5 páginas

Nombres complexos, amb gràfiques i explicacions senzilles

2 páginas
Anónimo

@Anónimo

Apuntes de 1 de bachillerato de trigonometría

7 páginas

Nivel Medio-Alto.

1 página

He publicado nuevos apuntes de 1º Matemáticas I: sistemas-de-ecuaciones-lineales-con-3-incognitas.pdf

1 página

Apuntes TRIGONOMETRÍA 1º BACH

10 páginas

Solucionario tema 3 trigonometría Anaya 1 bachillerato ciencias Resolución de triángulos

46 páginas

Cosas esencial de trigonometría para aprobar

1 página

resumen de matemáticas de primero de bachillerato de ciencias

24 páginas

Formulas trigonometria en euskera

Imagen

ejercicios

-

matemáticas método de Gauss

He publicado nuevos ejercicios de 1º Matemáticas I: matemáticas método de Gauss

IMG0857.jpeg
IMG0858.jpeg
IMG0859.jpeg
IMG0860.jpeg
IMG0861.jpeg
IMG0862.jpeg

apuntes

-

matemáticas 1º trimestre 1º BACH teoría

He publicado nuevos apuntes de 1º Matemáticas I: matemáticas 1º trimestre 1º BACH teoría

IMG0851.jpeg
IMG0852.jpeg
IMG0853.jpeg
IMG0854.jpeg
IMG0855.jpeg
IMG0856.jpeg

1 DE BACHILLERATO

3 páginas

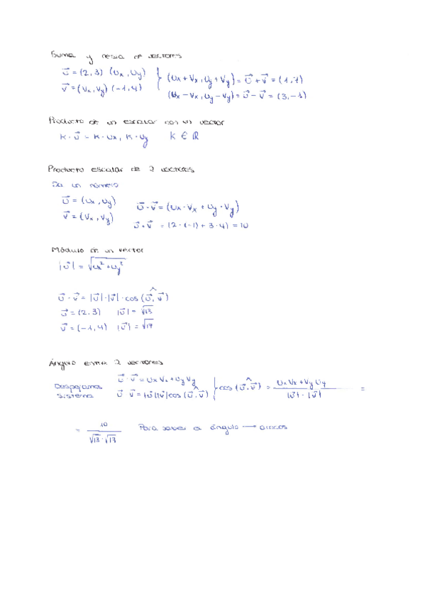
Apuntes primero bachillerato vectores y geometria analitica

Imagen

Apuntes primero bachillerato vectores y geometria analitica

Imagen
Anónimo

@Anónimo

Examen matematicas intituto 1 bachiller vectores

Imagen

He publicado nuevos apuntes de 1º Matemáticas I: Apunts-Mates-limits-i-funcions.pdf

4 páginas

He publicado nuevos apuntes de 1º Matemáticas I: Apunts-Mates-vectors.pdf

2 páginas

He publicado nuevos apuntes de 1º Matemáticas I: Apunts-Mates-logaritmes-i-exponencials.pdf

2 páginas

He publicado nuevos apuntes de 1º Matemáticas I: Tema-9-Derivadas-1o-bach.pdf

3 páginas

He publicado nuevos apuntes de 1º Matemáticas I: Tema-8-Limites-y-continuidad-de-funciones-1obach.pdf

3 páginas

He publicado nuevos apuntes de 1º Matemáticas I: Tema-7-funciones-elementales-1-de-bach.pdf

4 páginas

He publicado nuevos apuntes de 1º Matemáticas I: NUMEROS-COMPLEJOS.pdf

2 páginas

apuntes

-

Matemáticas

He publicado nuevos apuntes de 1º Matemáticas I: Matemáticas

1-Numeros-reales.pdf
2-Algebra-Polinomios.-Ecuaciones-y-Sistemas.pdf
3-Algebra-II.-Ecuaciones-inecuaciones-y-sistemas.pdf
4-Trigonometria.pdf

Ejercicios resueltos de números reales y ecuaciones de 1º de bachillerato científico.

26 páginas

He publicado nuevos examenes de 1º Matemáticas I: Sistemas-de-Ecuaciones-No-Lineales.pdf

1 página

trigonometría

1 página

apuntes

-

apuntes trigonometría

He publicado nuevos apuntes de 1º Matemáticas I: apuntes trigonometría

IMG6485.jpeg
IMG6486.jpeg

He publicado nuevos examenes de 1º Matemáticas I: Examen-N.-Complejos.pdf

1 página
Anónimo

@Anónimo

Contenidos de matemáticas de todo el curso de 1º de Bach, junto con muchos ejercicios para practicar (al final de cada tema y, al final del documento muchos de cada tema para repasar). Me fue muy bien ese año (media de 9), y espero que también os sirva.

76 páginas

Medidas de dispersión, tabla de frecuencia, medidas de centralización, representación de datos, tablas de doble entrada, diagrama de dispersión, coeficiente de correlación, operaciones con probabilidad, ley de laplace, probabilidad condicionada

Miniatura no disponible
zip

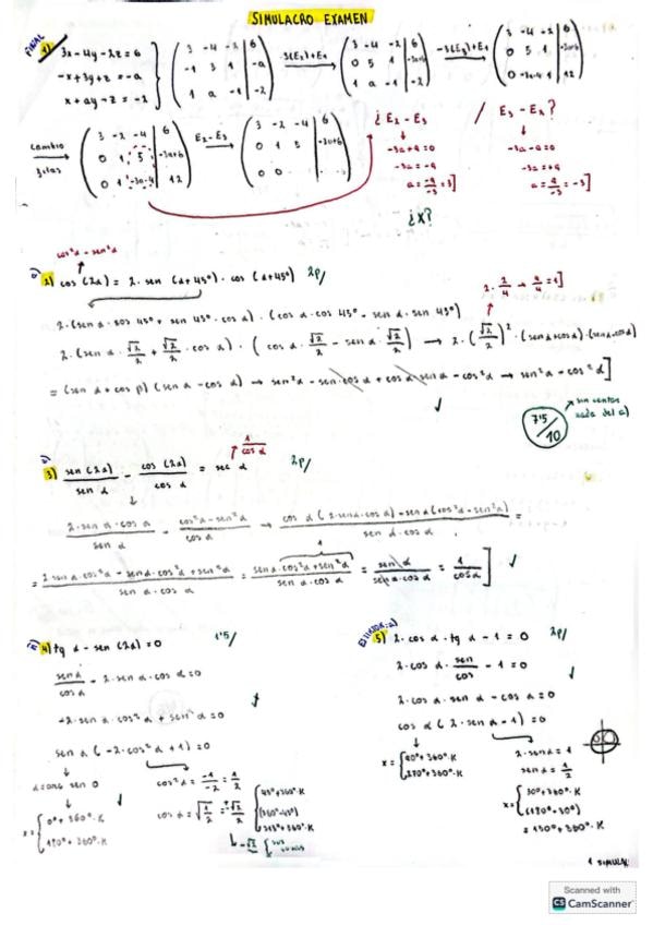
He publicado nuevos examenes de 1º Matemáticas I: Simulacro-Examen.pdf

2 páginas

Apuntes de matemáticas, trigonometría, explicaciones y fórmulas

2 páginas

Ejercicios de logaritmos, radicales e intervalos.

6 páginas

Ejercicios para practicar los saberes básicos de la trigonometría.

1 página

Resumen chuleta trigonometría 1ro bachillerato

Imagen

Intervalos, inecuaciones, valor absoluto, radicales, fracciones y logaritmos

Imagen

Formulario de áreas y volúmenes comunes

1 página

Esquema resumen de trigonometría

1 página

Vectores

10 páginas

Vectores

17 páginas

He publicado nuevos apuntes de 1º Matemáticas I: ejercicios-probabilidad-03.pdf

4 páginas

apuntes

-

18-Mate 1º Bachillerato Asíntotas

He publicado nuevos apuntes de 1º Matemáticas I: 18-Mate 1º Bachillerato Asíntotas

1-AP.-Apuntes-asintotas.pdf

Hola!! El temario de vectores ya está listo! 1ro de bachillerato Matemáticas, Ciencias de la salud.

3 páginas

He publicado nuevos apuntes de 1º Matemáticas I: Problemas-trigonometria-resueltos-1o-bac.pdf

2 páginas

He publicado nuevos apuntes de 1º Matemáticas I: Miniresumen-trigonometria.pdf

2 páginas

apuntes

-

17-Matemáticas 1º Bachillerato Sociales Estadística

He publicado nuevos apuntes de 1º Matemáticas I: 17-Matemáticas 1º Bachillerato Sociales Estadística

1-AP.Apuntes-estadistica.pdf
2-EJ.Variable discreta y continua.pdf.pdf
3-EJ.Ejercicios-estad.-distribucion-normal.pdf

Fórmulas trigonométricas de 1ro de bachillerato!!

1 página

apuntes

-

16-Mate 1º Bachillerato Vectores

He publicado nuevos apuntes de 1º Matemáticas I: 16-Mate 1º Bachillerato Vectores

1-AP.Apuntes-vectores.pdf
2-AP.Vectores-1-bachillerato.pdf
3-EJ.Ejercicios-vectores-1.pdf
4-EJ.Ejercicios-vectores-2.pdf

Este documento contiene los sistemas de inecuaciones lineales con dos incógnitas del documento anterior. TRIGONOMETRIA (resolución de triángulos, razones trigonométricas, las relaciones, resolución de los tipos de triángulos, teorema del seno y del coseno

8 páginas

apuntes

-

,ATEMATICAS VARIADO

He publicado nuevos apuntes de 1º Matemáticas I: ,ATEMATICAS VARIADO

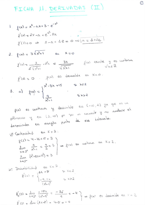
11.DerivadasIIsol.pdf
Derivadas-Bn.pdf
Derivadas.pdf
Ej-tema-dos-trigo.pdf
Ejercicios-derivadas.pdf
Ejercicios-limites.pdf

He publicado nuevos apuntes de 1º Matemáticas I: Trigonometria.pdf

2 páginas

He publicado nuevos apuntes de 1º Matemáticas I: Tema-1-Numeros-Complejos.pdf

7 páginas

apuntes

-

15-Mate 1º Bachillerato Sucesiones mate sociales

He publicado nuevos apuntes de 1º Matemáticas I: 15-Mate 1º Bachillerato Sucesiones mate sociales

1-AP.Sucesiones.pdf
2-EJ.Ejercicios-de-progresiones-aritmeticas.pdf

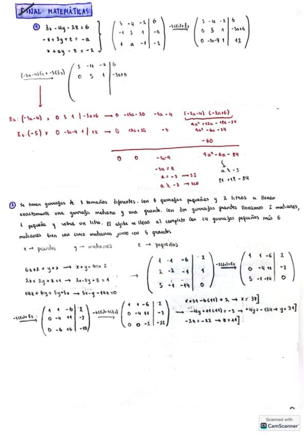
Ejercicio método de gauss

Imagen

He publicado nuevos ejercicios de 1º Matemáticas I: Ejercicios-sistemas-de-GAUSS-solucion.pdf

2 páginas

hola de nuevo! subo los apuntes de álgebra de 1ro de bachillerato, incluyen: polinomios, fracciones, recordatorio Radicales, tipos de ecuaciones, resolución de sistemas de ecuaciones, tipos de inecuaciones. Espero ayudarte!

6 páginas

Voy a ir subiendo durante esta semana y la que viene los 9 temas que dí en 1ro de bachillerato de ciencias de la Salud. Hoy los números reales y álgebra!. Aquí el tema de N.Reales, espero ayudar!

3 páginas