chevron_left
chevron_right
Todo
Apuntes
Ejercicios
Exámenes
chevron_left
chevron_right

He publicado nuevos apuntes de 1º Matemáticas I: Definiciones-Mate-I-Tema-1-2-y-3..pdf

12 páginas

He publicado nuevos apuntes de 1º Matemáticas I: Definiciones-mate-I-temas-4-5-6..pdf

5 páginas

He publicado nuevos examenes de 1º Matemáticas I: Mate-Mecarrapid-ESTUDIO-FINAL.pdf

33 páginas

He publicado nuevos apuntes de 1º Matemáticas I: Mate-Mecarrapid.pdf

13 páginas

He publicado nuevos apuntes de 1º Matemáticas I: Mate-Mecarrapid-T6.pdf

3 páginas

He publicado nuevos apuntes de 1º Matemáticas I: Mate-Mecarrapid-T5.pdf

12 páginas

He publicado nuevos apuntes de 1º Matemáticas I: Mate-Mecarrapid-T4.pdf

11 páginas

He publicado nuevos apuntes de 1º Matemáticas I: ApunteakAriketak.pdf

29 páginas

examenes

-

Parcial 2 - Exámenes resueltos

He publicado nuevos examenes de 1º Matemáticas I: Parcial 2 - Exámenes resueltos

P2-23-24.pdf
16-dic-2020-Parcial-2.pdf
18-enero-2021.pdf
Recu-23-24.pdf
Recu-21-22.pdf
Recu-22-23.pdf

apuntes

-

Resúmenes por temas

He publicado nuevos apuntes de 1º Matemáticas I: Resúmenes por temas

T1-Resumen-espacios-vectoriales.pdf
T2-Resumen-aplicaciones-lineales.pdf
T3-Resumen-matrices.pdf
T4-valores-y-vectores-propios-Resumen.pdf
T6-soluciones-de-aproximacion-de-sist-Resumen.pdf
T5-matrices-ortogonales-Resumen.pdf

examenes

-

Parcial 1 - Exámenes resueltos

He publicado nuevos examenes de 1º Matemáticas I: Parcial 1 - Exámenes resueltos

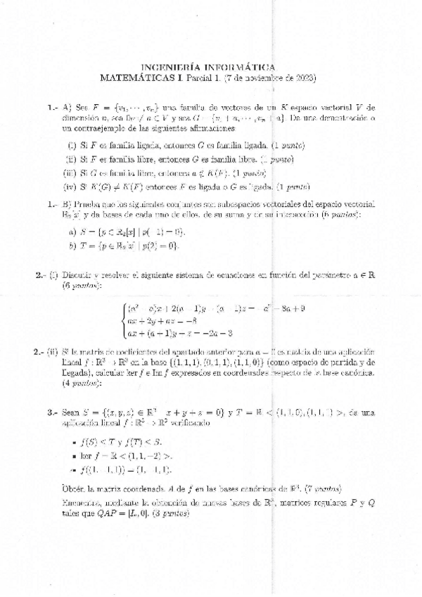
7-nov-2023.pdf
7-nov-2019.pdf
9-nov-2022.pdf
Dic-2021.pdf
16-dic-2020.pdf
20-dic-2019.pdf

apuntes

-

Apuntes por temas mates

2023-2024

Tema-1.pdf
Tema-2.pdf
Tema-3.pdf
Tema-4.pdf
Tema-5.pdf
Tema-6.pdf

examenes

-

Examenes

He publicado nuevos examenes de 1º Matemáticas I: Examenes

Examen-parcial-1.pdf
Examen-parcial-2.pdf

apuntes

-

Definiciones y demostraciones

2023-2024

Definiciones-primera-parte.pdf
Definiciones-segunda-parte.pdf
Demostraciones-segunda-parte.pdf

Estos vídeos me han ayudado mucho con Mates 1. Espero que ayude!

Miniatura no disponible
https://youtube.com/playlist?list=PLZHQObOWTQDPD3MizzM2xVFitgF8hE_ab&si=ZuTTCA1ktyoIAcRR

apuntes

-

MATES I

He publicado nuevos apuntes de 1º Matemáticas I: MATES I

APUNTES-PROBLEMAS-MATES-I.pdf
EXAMENES-RESUELTOS.pdf

ejercicios

-

MATHS I UNITS (EXERCISES AND NOTES)

He publicado nuevos ejercicios de 1º Matemáticas I: MATHS I UNITS (EXERCISES AND NOTES)

UNIT-1-MATRICES-AND-SYSTEMS-PART-I.pdf
UNIT-1-MATRICES-AND-SYSTEMS-PART-II.pdf
UNIT-1-MATRICES-AND-SYSTEMS-PART-III.pdf
UNIT-2-VECTOR-SPACES-PART-I.pdf
UNIT-2-VECTOR-SPACES-PART-II.pdf
UNIT-2-VECTOR-SPACES-PART-III.pdf

examenes

-

EXAMS MATHS I

He publicado nuevos examenes de 1º Matemáticas I: EXAMS MATHS I

EXAMS-PART-I.pdf
EXAMS-PART-II.pdf
EXAMS-WITH-SOLUTIONS-PART-I.pdf
EXAMS-WITH-SOLUTIONS-PART-II.pdf
EXAMS-WITH-SOLUTIONS-PART-III.pdf

He publicado nuevos apuntes de 1º Matemáticas I: Aplicacion-Ex-Ordinario-23✅✅.pdf

3 páginas

He publicado nuevos examenes de 1º Matemáticas I: ExOrd22-23-Solucionado✅✅.pdf

5 páginas

He publicado nuevos apuntes de 1º Matemáticas I: Ejercicios-Tipicos-Examen-Resueltos.pdf

2 páginas
Anónimo

@Anónimo

He publicado nuevos examenes de 1º Matemáticas I: Examen-Parcial-T.1-T.3.pdf

2 páginas
Anónimo

@Anónimo

He publicado nuevos apuntes de 1º Matemáticas I: Definiciones-T1-T6.pdf

5 páginas
Anónimo

@Anónimo

He publicado nuevos examenes de 1º Matemáticas I: Examen-Final-Solucionado.pdf

5 páginas
Anónimo

@Anónimo

examenes

-

1ºPARCIALES RESUELTOS 18-12 APLICACION LINEAL

Este documento solo tiene los ejercicios de aplicaciones lineales

PARCIAL13.pdf
PARCIAL14.pdf
PARCIAL15.pdf
PARCIAL16.pdf
PARCIAL17.pdf
PARCIAL18.pdf

apuntes

-

Examenes Algebra Lineal

Examenes Algebra Lineal @tomascalderon Cualquier duda ese es mi IG

Notes221102205451.pdf
Anónimo

@Anónimo

examenes

-

EXAMENES MATEMÁTICAS

He publicado nuevos examenes de 1º Matemáticas I: EXAMENES MATEMÁTICAS

ParcialNov18.pdf
FinalDic18.pdf
FinalEne19.pdf
ParcialNov19.pdf
Final2020.pdf
FinalEne20.pdf
¡Estás al día!

¡Estás al día!

Has visto todos los archivos