Todo
Apuntes
Ejercicios
Exámenes
Test
chevron_left
chevron_right

He publicado nuevos apuntes de 1º Matemáticas I: ALGEBRA-LINEAL-M1-EXERCICIS-I-RESPOSTES.pdf

56 páginas

He publicado nuevos apuntes de 1º Matemáticas I: GRAFS-M1-EXERCICIS-I-RESPOSTES.pdf

36 páginas

He publicado nuevos apuntes de 1º Matemáticas I: MatriusSistemesDeterminants-Solucions.pdf

26 páginas

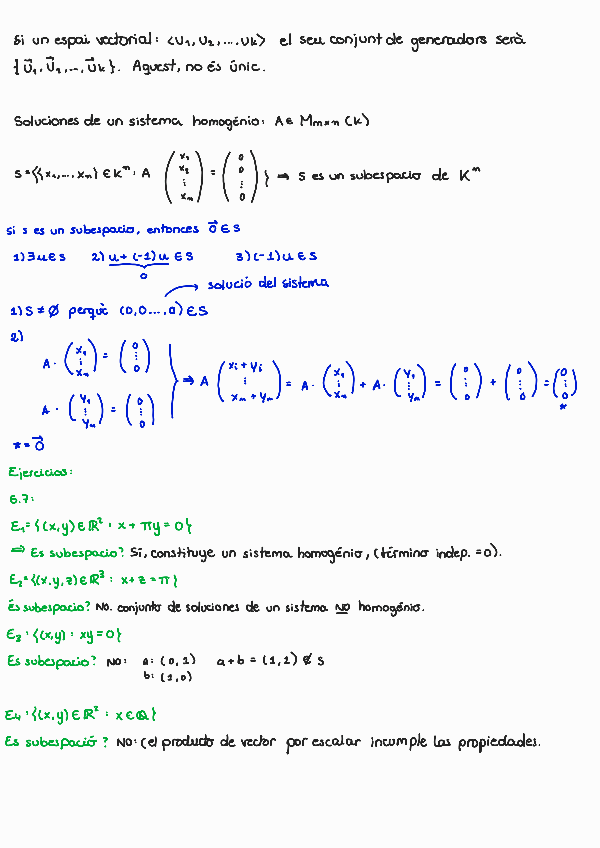
He publicado nuevos apuntes de 1º Matemáticas I: EspaisVectorials-Solucions.pdf

31 páginas

He publicado nuevos apuntes de 1º Matemáticas I: Diagonalitzacio-Solucions.pdf

16 páginas

He publicado nuevos apuntes de 1º Matemáticas I: M1 - Secuencia de Prüfer.pdf

1 página

He publicado nuevos examenes de 1º Matemáticas I: M1 - Examen Taller Grafs.pdf

2 páginas

He publicado nuevos apuntes de 1º Matemáticas I: M1 - Resum Grafs Eulerians i Hamiltonians.pdf

1 página

He publicado nuevos apuntes de 1º Matemáticas I: M1 - BFS y DFS.pdf

2 páginas

He publicado nuevos apuntes de 1º Matemáticas I: Apunts-Algebra-Lineal.pdf

13 páginas

He publicado nuevos apuntes de 1º Matemáticas I: M1 - Apuntes Grafos.pdf

30 páginas

He publicado nuevos ejercicios de 1º Matemáticas I: M1 - Activitats Resoltes Grafs.pdf

8 páginas

apuntes

-

Apuntes álgebra lineal M1

He publicado nuevos apuntes de 1º Matemáticas I: Apuntes álgebra lineal M1

T5-Matrices-sistemas-y-determinantes.pdf
T8-Diagonalizacion.pdf
Resum-algebra-lineal.pdf
T6-Espacios-vectoriales-parte-1.pdf

ejercicios

-

Exercicis resolts

He publicado nuevos ejercicios de 1º Matemáticas I: Exercicis resolts

Exercicis-resolts-T1.pdf
Exercicis-resolts-T2.pdf
Ejercicios-resueltos-T5.pdf
Ejercicios-resueltos-T6.pdf
Exercicis-resolts-T3.pdf

He publicado nuevos apuntes de 1º Matemáticas I: 1.-Graph-Theory-exercises.pdf

5 páginas

He publicado nuevos apuntes de 1º Matemáticas I: 2.-Linear-algebra.pdf

33 páginas

He publicado nuevos apuntes de 1º Matemáticas I: 2.-Linear-algebra-exercises.pdf

37 páginas

Apunts del Tema 6 de M1: Espais Vectorials

3 páginas

Apunts del Tema 5 de M1: Matrius

4 páginas

Apunts del Tema 1 de M1: Grafs

9 páginas

apuntes

-

Examens resolts (solved exams)

Són examens resolts (english exams/català) a mà, amb tot el procediment.

Examen-final-M1-2025-Q1.pdf
Examen-final-M1-2024-Q2.pdf
Examen-final-M1-2024-Q1.pdf
Examen-final-M1-2023-Q2.pdf
Examen-final-M1-2023-Q1.pdf
Examen-final-M1-2018-Q2.pdf

apuntes

-

RESUMEN TEORÍA M1

Apuntes de M1 en Inglés

TEMA-5-Vector-Spaces.pdf
TEMA-7-Linear-Maps.pdf
TEMA-8-Diagonalization.pdf
EXAM-NOTES-Vector-Spaces.pdf

test

-

Qüestionaris M1

Qüestionaris puntuables de M1

Q1-Conceptes-basics.pdf
Q2-Recorreguts-connexio-i-distancia.pdf
Q3-Grafs-eulerians-i-grafs-hamiltonians.pdf
Q4-Arbres.pdf
Q5-Matrius-sistemes-dequacions-i-determinants.pdf
Q6-Espais-vectorials.pdf

apuntes

-

QuestionarisAtenea

He publicado nuevos apuntes de 1º Matemáticas I: QuestionarisAtenea

Aplicacions-lineals-Revisio-de-lintent--3.pdf
Aplicacions-lineals-Revisio-de-lintent--2.pdf
Aplicacions-lineals-Revisio-de-lintent-1.pdf

He publicado nuevos apuntes de 1º Matemáticas I: resum-algebra.pdf

2 páginas

apuntes

-

Cuestionarios atenea

He publicado nuevos apuntes de 1º Matemáticas I: Cuestionarios atenea

Cuestionario-Questionari-matrices-Matrius-sistemes-dequacions-i-determinants.pdf
Cuestionario-Questionari-matrices-Matrius-sistemes-dequacions-i-determinants-Revisio-de-lintent--CAMPUS-VIRTUAL-UPC.pdf
Aplicacions-lineals-cuestionari.pdf
Aplicacions-lineals-cuestionari-modelo-2.pdf

test

-

Qüestionaris M1

He publicado nuevos test de 1º Matemáticas I: Qüestionaris M1

Puntuable-Conceptes-basics-Questionari.pdf
Puntuable-Recorreguts-connexio-i-distancia.pdf
Puntuable-Grafs-eulerians-i-grafs-hamiltonians.pdf
Puntuable-Arbres.pdf
Puntuable-Matrius-sistemes-dequacions-i-determinants.pdf
Puntuable-Espais-vectorials.pdf

test

-

Qüestionaris Atenea

He publicado nuevos test de 1º Matemáticas I: Qüestionaris Atenea

Questionari4-or-Arbres.pdf
Questionari3-or-Grafs-eulerians-i-grafs-hamiltonians.pdf
Questionari2-or-Recorreguts-connexio-i-distancia.pdf
Questionari1-or-Conceptes-basics.pdf
Questionari5-or-Matrius-sistemes-dequacions-i-determinants.pdf
Questionari-6-or-Espais-vectorials.pdf

He publicado nuevos apuntes de 1º Matemáticas I: Puntuable-Espais-vectorials-Revisio-de-lintent--CAMPUS-VIRTUAL-UPC.pdf

3 páginas

He publicado nuevos apuntes de 1º Matemáticas I: Espais-vectorials-Revisio-de-lintent--CAMPUS-VIRTUAL-UPC.pdf

3 páginas

He publicado nuevos apuntes de 1º Matemáticas I: Espais-vectorials2.pdf

3 páginas

He publicado nuevos apuntes de 1º Matemáticas I: Espais-vectorials3.pdf

3 páginas

He publicado nuevos apuntes de 1º Matemáticas I: Espais-vectorials4.pdf

2 páginas

He publicado nuevos apuntes de 1º Matemáticas I: ResumT5T6.pdf

3 páginas

He publicado nuevos apuntes de 1º Matemáticas I: Resum-Grafs.pdf

2 páginas

He publicado nuevos apuntes de 1º Matemáticas I: Graph-Theory.pdf

22 páginas

apuntes

-

RESUM TOTS ELS TEMES GRAFS M1

RESUM TOTS ELS TEMES GRAFS

T2-Resum-m1.pdf
T3-RESUM-M1-EULERIANS-HAMILTONIANS.pdf
T4-RESUM-M1-ARBRES.pdf

He publicado nuevos apuntes de 1º Matemáticas I: T1-RESUM-M1.pdf

2 páginas

He publicado nuevos apuntes de 1º Matemáticas I: Arbres.pdf

3 páginas

apuntes

-

Apuntes grafos M1

He publicado nuevos apuntes de 1º Matemáticas I: Apuntes grafos M1

T1 - Conceptos básicos.pdf
T2- Recorridos, conexiones y distáncias.pdf
T4-Árboles.pdf
T3-Grafos-eulerianos-y-hamiltonianos.pdf

He publicado nuevos ejercicios de 1º Matemáticas I: Puntuable-Grafs-eulerians-i-grafs-hamiltonians.pdf

3 páginas

apuntes

-

resum parcials

He publicado nuevos apuntes de 1º Matemáticas I: resum parcials

resum-1r-parcial.pdf
Resum-grafs.pdf
Miniatura no disponible
Propietats-grafs.pdf
Miniatura no disponible
Definicions-grafs.pdf

He publicado nuevos apuntes de 1º Matemáticas I: M1 - Secuencia de Prüfer.pdf

1 página

He publicado nuevos apuntes de 1º Matemáticas I: M1 - Resum Grafs Eulerians i Hamiltonians.pdf

1 página

He publicado nuevos apuntes de 1º Matemáticas I: M1 - Apunts Grafs.pdf

30 páginas

He publicado nuevos ejercicios de 1º Matemáticas I: M1 - Activitats Resoltes Grafs.pdf

8 páginas

He publicado nuevos apuntes de 1º Matemáticas I: Resumen-M1-T1-T4.pdf

7 páginas

He publicado nuevos apuntes de 1º Matemáticas I: Resum-M1-T6-T8.pdf

4 páginas

apuntes

-

Apunts, resolucions i resums (Àlgebra lineal)

He publicado nuevos apuntes de 1º Matemáticas I: Apunts, resolucions i resums (Àlgebra lineal)

Resum Espais Vectorials.pdf
Resum Diagonalització.pdf
Resolucions Subespais.pdf
Resolucions Àlgebra lineal.pdf
Apunts Àlgebra lineal (Anna de Mier Vinué).pdf

He publicado nuevos examenes de 1º Matemáticas I: M1 - Examen Taller Grafs.pdf

2 páginas

He publicado nuevos apuntes de 1º Matemáticas I: ALGEBRA.pdf

22 páginas

He publicado nuevos apuntes de 1º Matemáticas I: TEORIA-DE-GRAFS.pdf

23 páginas

apuntes

-

M1-apunts

He publicado nuevos apuntes de 1º Matemáticas I: M1-apunts

M1.pdf

apuntes

-

Teoria Algebra Lineal

He publicado nuevos apuntes de 1º Matemáticas I: Teoria Algebra Lineal

Teoria-Espais-Vectorials.pdf
Teoria-aplicacions-lineals.pdf
Teoria-Diagonalitzacio.pdf

test

-

m1:// q%C3%BCestionaris atenea

He publicado nuevos test de 1º Matemáticas I: M1: qüestionaris atenea

M1-Questionari-1.pdf
M1-Questionari-2.pdf
M1-Questionari-3.pdf
M1-Questionari-4.pdf

apuntes

-

m1:// Apunts per temes

He publicado nuevos apuntes de 1º Matemáticas I: M1: Apunts per temes

M1-T1.pdf
M1-T2.pdf
M1-T3.pdf
M1-T4.pdf
M1-T5.pdf
M1-T6.pdf

test

-

M1 Qüestionaris ATENEA (Grafs)

He publicado nuevos test de 1º Matemáticas I: M1 Qüestionaris ATENEA (Grafs)

Conceptes bàsics de grafs (4 tests en 1).pdf
Recorreguts, connexió i distància (4 tests en 1).pdf
Grafs eulerians i grafs hamiltonians (6 grafs diferents).pdf
Arbres (4 tests en 1).pdf

apuntes

-

Teoria de grafs Apunts

He publicado nuevos apuntes de 1º Matemáticas I: Teoria de grafs Apunts

Teoria-de-Grafs-1-Conceptes-basics-de-grafs.pdf
Teoria-de-Grafs-2-Recorreguts-connexio-i-distancia.pdf
Teoria-de-Grafs-3-Grafs-Eurelians-i-Grafs-Hamiltonians.pdf
Teoria-de-Grafs-4-Arbres.pdf
Questionari-3.pdf

test

-

Qüestionaris M1

He publicado nuevos test de 1º Matemáticas I: Qüestionaris M1

Questionari-1.pdf
Questionari-2.pdf

He publicado nuevos apuntes de 1º Matemáticas I: M1 - BFS y DFS.pdf

2 páginas