Matemáticas I
apuntes
-
EJERCICIOS RESUELTOS EXAMEN
Ejercicios Resueltos Examen Academia Universitaria Formación Manuel Pozo
INICIO DE CURSO MATEMÁTICAS I ACADEMIA UNIVERSITARIA FORMACIÓN MANUEL POZO Clases modalidad online y presencial. Todas tus CLASES GRABADAS PARA QUE PUEDAS VISUALIZARLAS HASTA EL DÍA DEL EXAMEN Resolución de todos tus ejercicios y exámenes de convocatorias anteriores. Profesores especialidados y temario propio. Acceso a PLATAFORMA VIRTUAL CON CONTENIDO EXCLUSIVO ¡Solicita tu clase de prueba en grupo sin compromiso!

He publicado nuevos examenes de 1º Matemáticas I: Examen-ordinaria-24/25.pdf
He publicado nuevos apuntes de 1º Matemáticas I: tema5-CALCULO-VECTORIAL.pdf
He publicado nuevos apuntes de 1º Matemáticas I: tema4-ESPACIOS-VECTORIALES.pdf
He publicado nuevos apuntes de 1º Matemáticas I: tema1-FUNCIONES-ELEMENTALES.pdf
He publicado nuevos apuntes de 1º Matemáticas I: Segundo-examen-parcial.pdf
He publicado nuevos apuntes de 1º Matemáticas I: Primer-examen-parcial.pdf
He publicado nuevos apuntes de 1º Matemáticas I: Ejercicios-resueltos-tema-5.pdf
He publicado nuevos apuntes de 1º Matemáticas I: Ejercicios-resueltos-tema-4.pdf
He publicado nuevos apuntes de 1º Matemáticas I: Ejercicios-resueltos-tema-2.pdf
He publicado nuevos apuntes de 1º Matemáticas I: Ejercicios-resueltos-tema-1-parte-3.pdf
He publicado nuevos apuntes de 1º Matemáticas I: Ejercicios-resueltos-tema-1-parte-2.pdf
He publicado nuevos apuntes de 1º Matemáticas I: Ejercicios-resueltos-tema-1-parte-1.pdf
He publicado nuevos examenes de 1º Matemáticas I: EXAMEN-ORDINARIA-2025.pdf
examenes
-
Matemáticas I
He publicado nuevos examenes de 1º Matemáticas I: Matemáticas I
INICIO DE CURSO MATEMÁTICAS GRADO EN ÓPTICA Y OPTOMETRÍA
*ACADEMIA UNIVERSITARIA FORMACIÓN MANUEL POZO* Clases modalidad online y presencial. Todas tus CLASES GRABADAS. Resolución de todos tus ejercicios y exámenes de convocatorias anteriores. Profesores especialidados en cada materia. ¡Ven a dar una clase de prueba en grupo con nosotros.

He publicado nuevos apuntes de 1º Matemáticas I: tema-5.-producto-escalar-y-vectorial.pdf
He publicado nuevos apuntes de 1º Matemáticas I: tema-4.-espacios-vectoriales.pdf
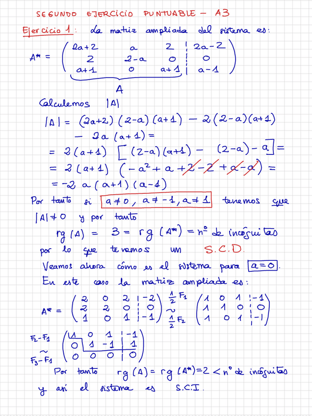
He publicado nuevos apuntes de 1º Matemáticas I: tema-3.-matrices-y-determinantes.pdf
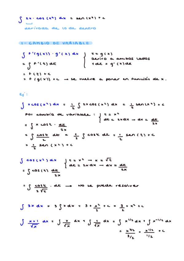
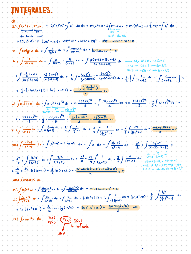
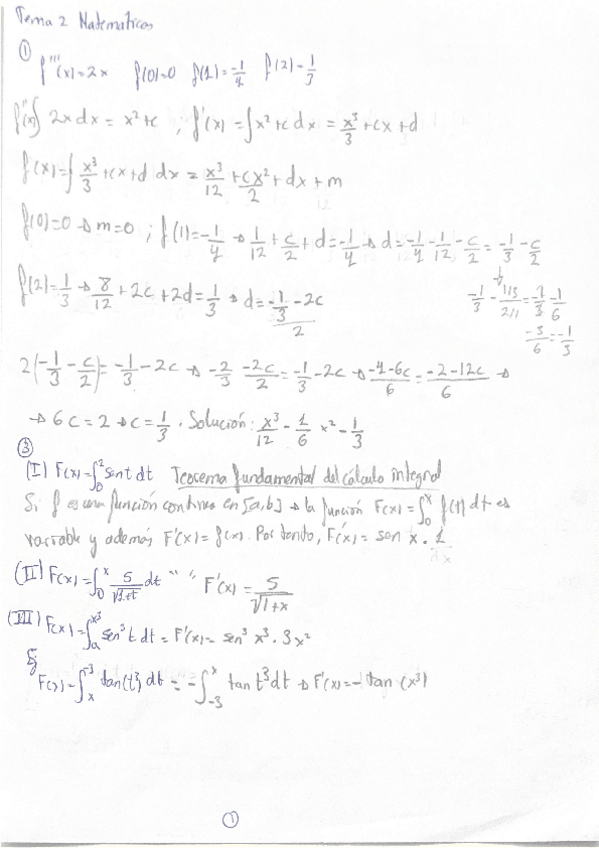
He publicado nuevos apuntes de 1º Matemáticas I: tema-2.-integrales.pdf
He publicado nuevos apuntes de 1º Matemáticas I: tema-1.-limites-continuidad-y-derivadas.pdf
He publicado nuevos apuntes de 1º Matemáticas I: Trigonometria-plana.pdf
He publicado nuevos apuntes de 1º Matemáticas I: Relacion-de-problemas-2.pdf
He publicado nuevos apuntes de 1º Matemáticas I: Relacion-de-ejercicios-extra-limites-y-continuidad.pdf
He publicado nuevos apuntes de 1º Matemáticas I: Relacion-de-problemas-1.pdf
He publicado nuevos apuntes de 1º Matemáticas I: TEMA-1-CONTINUIDAD-Y-DERIVACION-DE-FUNCIONES-DE-UNA-VARIABLE.pdf
He publicado nuevos examenes de 1º Matemáticas I: examen-extraordinaria-2024.pdf
ejercicios
-
Relaciones
He publicado nuevos ejercicios de 1º Matemáticas I: Relaciones
He publicado nuevos examenes de 1º Matemáticas I: Examen-convocatoria-ordinaria-2024.pdf
CURSO INTENSIVO EXAMEN ORDINARIO ENERO
Inicio de curso de MATEMÁTICAS I para grado en ÓPTICA Y OPTOMETRÍA Clases presenciales y online. Resolución paso a paso de todos los ejercicios de tu profesor y exámenes. Horario de mañana y de tarde.

He publicado nuevos apuntes de 1º Matemáticas I: examen-matematicas1-convocatoria-ordinar.pdf
He publicado nuevos apuntes de 1º Matemáticas I: relacion-de-problemas-2-matematicas.pdf
He publicado nuevos examenes de 1º Matemáticas I: MATEMATICAS-EXAMEN-FEBRERO-2019-RESUELTO.pdf
He publicado nuevos ejercicios de 1º Matemáticas I: MATEMATICAS-RELACION-DE-PROBLEMAS-2-RESUELTO.pdf
He publicado nuevos ejercicios de 1º Matemáticas I: MATEMATICAS-RELACION-DE-PROBLEMAS-1-RESUELTO.pdf
He publicado nuevos examenes de 1º Matemáticas I: MATEMATICAS-EXAMENES-PARCIALES-2020-RESUELTOS.pdf
He publicado nuevos ejercicios de 1º Matemáticas I: ejercicios-t4-optica.pdf
He publicado nuevos ejercicios de 1º Matemáticas I: tema2-integrales.pdf
He publicado nuevos ejercicios de 1º Matemáticas I: primera-relacion.pdf
He publicado nuevos ejercicios de 1º Matemáticas I: tema1-derivadas-extra.pdf
He publicado nuevos apuntes de 1º Matemáticas I: TEMA-4-GEOMETRIA-VECTORIAL.pdf
He publicado nuevos apuntes de 1º Matemáticas I: TemarioCompletoMatesI.pdf
INICIO DE CLASES MATEMÁTICAS 1
INCIO DE CURSOS PARA MATEMÁTICAS 1. Disponemos de varios horarios para asistir a la clase de prueba de manera presencial u online en grupo. Grupos muy reducidos y clases particulares. Contacta con nosotros para confirmar tu asistencia. Resolución de todos tus ejercicios y exámenes paso a paso.

examenes
-
EXÁMENES CURSOS ANTERIORES
He publicado nuevos examenes de 1º Matemáticas I: EXÁMENES CURSOS ANTERIORES