Matemáticas I
He publicado nuevos examenes de 1º Matemáticas I: Parcial-I-temas-1-5-2425.pdf
He publicado nuevos apuntes de 1º Matemáticas I: Espacios-Vectoriales-y-Aplicaciones-lineales-apuntes.pdf
apuntes
-
Hojas de Ejercicios Mates I
Puede que los ejercicios estén desordenados
He publicado nuevos examenes de 1º Matemáticas I: FinalEnero2023Cas.pdf
He publicado nuevos examenes de 1º Matemáticas I: FinalEnero2022Cas.pdf
He publicado nuevos ejercicios de 1º Matemáticas I: SOLUCIONES-HOJA-4.pdf
He publicado nuevos apuntes de 1º Matemáticas I: FormulasTrigonometria.pdf
He publicado nuevos examenes de 1º Matemáticas I: Solucion-Final-Enero-2020-21.pdf
apuntes
-
Ejercicios resueltos con explicación
He publicado nuevos apuntes de 1º Matemáticas I: Ejercicios resueltos con explicación
Como se haría este ejercicio?
Ejercicios continuidad

He publicado nuevos ejercicios de 1º Matemáticas I: Ejercicios-tema-7.pdf
ejercicios
-
Tema 1: Matrices y Determinantes
He publicado nuevos ejercicios de 1º Matemáticas I: Tema 1: Matrices y Determinantes
ejercicios
-
Tema 8: Derivabilidad
He publicado nuevos ejercicios de 1º Matemáticas I: Tema 8: Derivabilidad
examenes
-
Matemáticas I (2020-21)
He publicado nuevos examenes de 1º Matemáticas I: Matemáticas I (2020-21)
apuntes
-
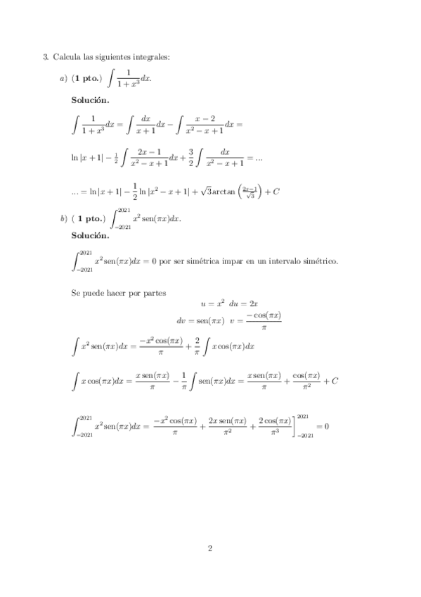
Tema 9: Integración
He publicado nuevos apuntes de 1º Matemáticas I: Tema 9: Integración
examenes
-
exámenes
He publicado nuevos examenes de 1º Matemáticas I: exámenes
examenes
-
Mates I
He publicado nuevos examenes de 1º Matemáticas I: Mates I
¡Estás al día!
Has visto todos los archivos