chevron_left
chevron_right
Todo
Apuntes
Ejercicios
Exámenes
Test
chevron_left
chevron_right

apuntes

-

Formularios EXTREMOS

He publicado nuevos apuntes de 1º Matemáticas I: Formularios EXTREMOS

Formulario-extremo-integrales.pdf
Formulario-extremo-matrices.pdf

He publicado nuevos apuntes de 1º Matemáticas I: Resumen-Tema-6-integracion.pdf

3 páginas

He publicado nuevos examenes de 1º Matemáticas I: 20212022matlab.pdf

2 páginas

He publicado nuevos examenes de 1º Matemáticas I: 202120221convparte2.pdf

2 páginas

He publicado nuevos apuntes de 1º Matemáticas I: 20212022quiz3.pdf

1 página

He publicado nuevos test de 1º Matemáticas I: 20212022quiz2.pdf

1 página

He publicado nuevos test de 1º Matemáticas I: QUIZZ-TEMA 1. 21-22

1 página

He publicado nuevos examenes de 1º Matemáticas I: parte-1-examen-matlabNEW.pdf

2 páginas

He publicado nuevos ejercicios de 1º Matemáticas I: Binder1.pdf

8 páginas

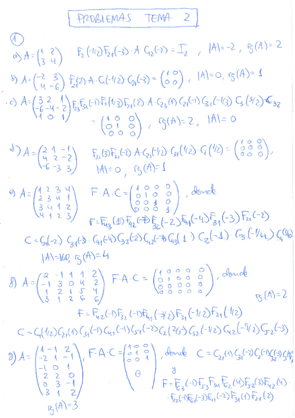
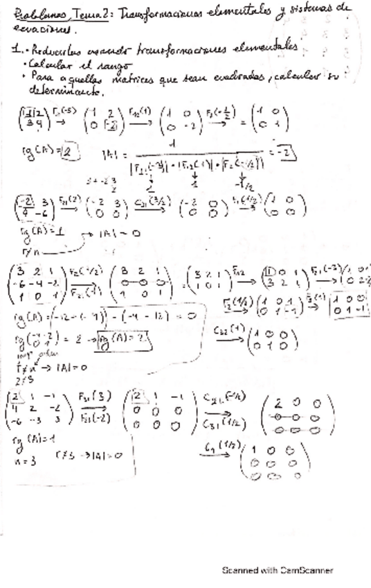
He publicado nuevos ejercicios de 1º Matemáticas I: Problemas Tema 2 con resolución 21-22

5 páginas

He publicado nuevos ejercicios de 1º Matemáticas I: Problemas Tema 1 con resolución 21-22

4 páginas
Anónimo

@Anónimo

examenes

-

Quizzes

He publicado nuevos examenes de 1º Matemáticas I: Quizzes

quizT4-T5.pdf
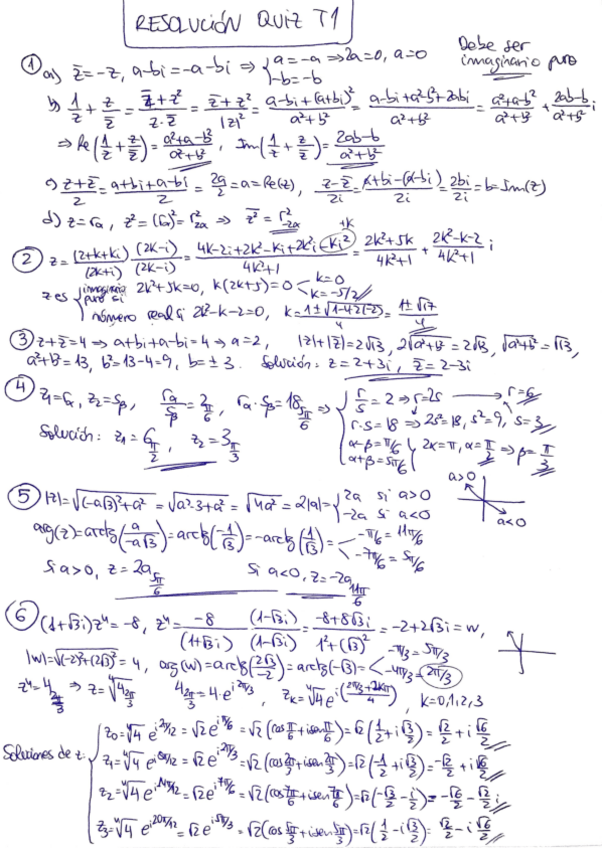
QuizT1-resuelto.pdf
QuizT6-T7enunciadoyresolucion.pdf
QuizT6-T7.pdf
QuizT4-T5enunciadoyresolucion.pdf
quizT2-T3.pdf
Anónimo

@Anónimo

apuntes

-

Matematicas I

He publicado nuevos apuntes de 1º Matemáticas I: Matematicas I

Matlab.pdf
Tema-8.pdf
Tema-7.pdf

apuntes

-

Tema 1

He publicado nuevos apuntes de 1º Matemáticas I: Tema 1

Tema-1-Numeros-Complejos.pdf
Anónimo

@Anónimo

examenes

-

Quizzes

He publicado nuevos examenes de 1º Matemáticas I: Quizzes

quizT1v2resuelto.pdf
quizT2-T3v1.pdf
quizT2-T3v1resuelto.pdf
quizT2-T3v2.pdf
quizT1v2.pdf
quizT2-T3v2resuelto.pdf
Anónimo

@Anónimo

examenes

-

Exámenes resueltos 2020

He publicado nuevos examenes de 1º Matemáticas I: Exámenes resueltos 2020

Ordinaria1aparteresuellto.pdf
Extraordinaria1aparteresuelta.pdf
parcialMatesIresuelto.pdf
Extraordinaria2aparteresuelta.pdf
parcialMatesIresueltov2.pdf
Ordinaria2aparteresuelto.pdf

apuntes

-

Mates I LOYOLA

He publicado nuevos apuntes de 1º Matemáticas I: Mates I LOYOLA

EJERCICIOS-TEMA-1MATESRESUELTO.pdf
MECANICA-TEMA-1MATES.pdf
EJERCICIOS-TEMA-2MATESRESUELTO.pdf
MECANICA-DE-RESOLUCION-TEMA-5MATES.pdf
TEMA-3-MATESMECANICA-DE-RESOLUCION--T.pdf
EJERCICIOS-TEMA-3MATESRESUELTO.pdf

examenes

-

EXAMS Y PRUEBAS

He publicado nuevos examenes de 1º Matemáticas I: EXAMS Y PRUEBAS

Parcial-1IOI-IITV.pdf
ORDINARIA-2018.pdf
EXAMEN-PARCIAL-MATEMATICAS-2017.pdf
1otrabajoengrupo6.pdf
Parcial-1-IEM-IMR.pdf
final-mates.pdf

apuntes

-

2 PARTE EXAMS RESUELTO+FORMULARIO

He publicado nuevos apuntes de 1º Matemáticas I: 2 PARTE EXAMS RESUELTO+FORMULARIO

repaso-2parte.pdf
Exmsss201216191352.pdf

apuntes

-

Ejercicios y apuntes de temas 4 y 5

He publicado nuevos apuntes de 1º Matemáticas I: Ejercicios y apuntes de temas 4 y 5

Tema4final.pdf
Tema5euclideo.pdf
ProbT4-resueltos.pdf
Tema4-diagonal.pdf
probTEMA5sol.pdf
ProbT4.pdf

apuntes

-

Ejercicios y apuntes tema 1 al 3

He publicado nuevos apuntes de 1º Matemáticas I: Ejercicios y apuntes tema 1 al 3

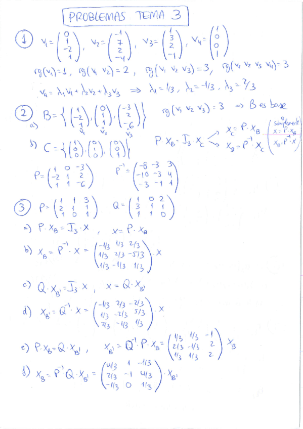
ProbT3-indicacionessoluciones.pdf
ProblT2.pdf
ProblT1.pdf
ProblT3.pdf

He publicado nuevos apuntes de 1º Matemáticas I: Parcial2resueltoIEM-IMR.pdf

5 páginas

ejercicios

-

Matemáticas 1er año 1er cuatrimestre

He publicado nuevos ejercicios de 1º Matemáticas I: Matemáticas 1er año 1er cuatrimestre

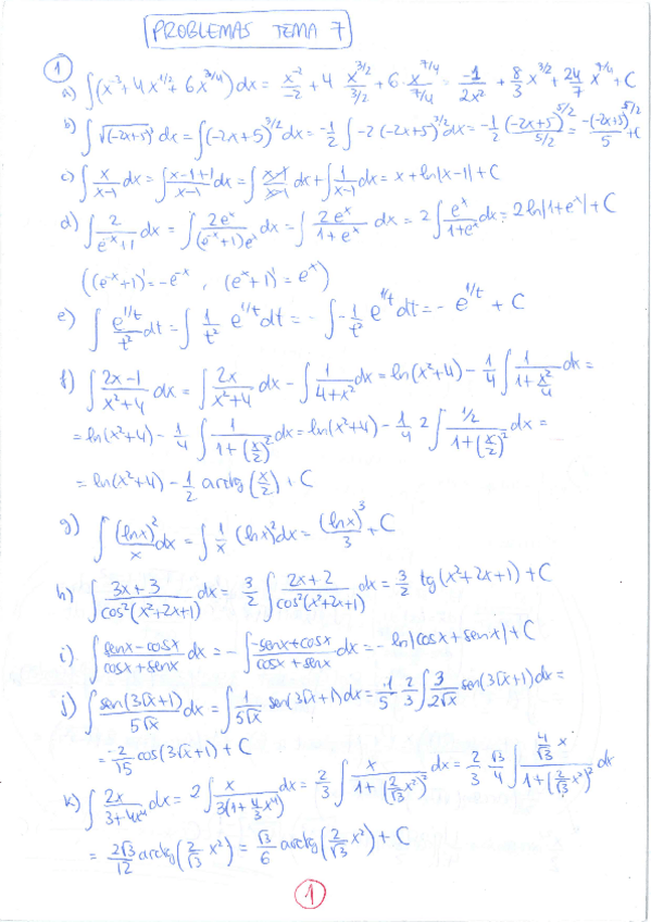
Integralesinmediatasycambiosvariable.pdf
Parcial2resueltoIEM-IMR.pdf
ProbT8.pdf
ProbT7sol.pdf
ProbT8sol.pdf
ejerciciosresueltosintegralessimplesdef.pdf

apuntes

-

Cálculo

He publicado nuevos apuntes de 1º Matemáticas I: Cálculo

Examenes-Calculo-1part4.pdf
integracion.pdf
Parametrizacion-de-curvas.pdf
Examenes-Calculo-1part2.pdf
Apuntes-Calculo-I.pdf
Examenes-Calculo-1part3.pdf
¡Estás al día!

¡Estás al día!

Has visto todos los archivos