Matemáticas I

chevron_left
chevron_right
Todo
Apuntes
Preguntas
Ejercicios
Exámenes
chevron_left
chevron_right

apuntes

-

Matematicas I Bloque 1

He publicado nuevos apuntes de 1º Matemáticas I: Matematicas I Bloque 1

Matematicas-I-Bloque-1.1.pdf
Matematicas-I-Bloque-1.2.pdf
Matematicas-I-Bloque-1.3.pdf

He publicado nuevos apuntes de 1º Matemáticas I: bloque-2-vectores-y-subespacios-vectoriales250111111055.pdf

6 páginas

He publicado nuevos apuntes de 1º Matemáticas I: Tema-1-Matrices-sistemas-lineales-y-determinante250111110609.pdf

8 páginas
Anónimo

@Anónimo

apuntes

-

Tema 5 20/21 - Teoría

He publicado nuevos apuntes de 1º Matemáticas I: Tema 5 20/21 - Teoría

Integral-definida.-Teoria..pdf
Integrales-casi-inmediatas.-Cambio-de-variable.-Teoria-y-Ejemplos-explicados..pdf
Metodo-de-Integracion.-Teoria.pdf
Clases-14-15-16.-Completo.pdf
Integral-definida-completo.-Teoria..pdf
Anónimo

@Anónimo

apuntes

-

Tema 5 20/21 - Tabla de integrales

He publicado nuevos apuntes de 1º Matemáticas I: Tema 5 20/21 - Tabla de integrales

Trigonometricas-inversas.-Ejemplos..pdf
Ejemplos.pdf
integralesinmediataslog.-Ejemplos.pdf
integralesinmediataspot.-Ejemplos..pdf
integralesinmediatastrigexp.-Ejemplos..pdf
Reglas-de-Integracion.pdf
Anónimo

@Anónimo

ejercicios

-

Tema 5 20/21

He publicado nuevos ejercicios de 1º Matemáticas I: Tema 5 20/21

Integrales-de-funciones-exponenciales-y-trigonometricas.-Ejercicios.pdf
Integrales-de-funciones-potenciales.-Ejercicios.pdf
Integrales-inmediatas-de-funciones-potenciales.-Ejercicios.pdf
Clases-14-15-16.-Solucion-Ejercicios..pdf
Ejercicio-14-y-24-resueltos.pdf
Ejercicios.pdf
Anónimo

@Anónimo

apuntes

-

Tema 4 20/21

He publicado nuevos apuntes de 1º Matemáticas I: Tema 4 20/21

Examen-tema-4.pdf
Derivadas-y-trigonometria-Completo.pdf
Anónimo

@Anónimo

apuntes

-

Tema 4.4 20/21

He publicado nuevos apuntes de 1º Matemáticas I: Tema 4.4 20/21

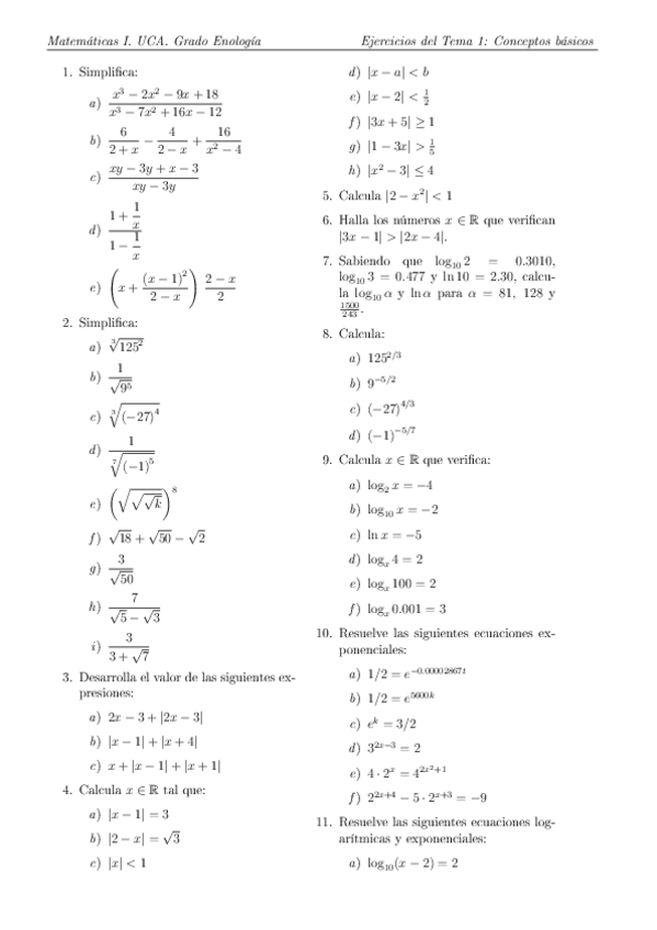
temaconceptosbasicos.pdf
temaconceptosbasicosejercicios.pdf
temaconceptosbasicossolucionesejercicios.pdf
refuerzo1trigonometria.pdf
refuerzo2exponencialeslogaritmos.pdf
Anónimo

@Anónimo

apuntes

-

Tema 4.3 20/21

He publicado nuevos apuntes de 1º Matemáticas I: Tema 4.3 20/21

Tabla-derivadas.pdf
derivadasejercicios.pdf
derivadasIIejercicios.pdf
funcionesderivadas.pdf
Anónimo

@Anónimo

apuntes

-

Tema 4.2 20/21

He publicado nuevos apuntes de 1º Matemáticas I: Tema 4.2 20/21

estudio-de-una-funcion.pdf
clase18-11-20funcionesdominio.pdf
ejerciciosdominiolimitecontinuidaden.pdf
Anónimo

@Anónimo

apuntes

-

Tema 4.1 20/21

He publicado nuevos apuntes de 1º Matemáticas I: Tema 4.1 20/21

ejerciciosfunciones-elementalesen.pdf
funciones20.pdf
clase17-11-20funcioneselementales.pdf
Anónimo

@Anónimo

apuntes

-

Tema 3 20/21

He publicado nuevos apuntes de 1º Matemáticas I: Tema 3 20/21

diagonalizacionen.pdf
ejerciciosdiagonalizacionmatricesen.pdf
Examen-Parcial-T.-3.pdf
clase10-11-20diagonalizacion.pdf
clase11-11-20diagonalizacion.pdf
Anónimo

@Anónimo

apuntes

-

Tema 2 20/21

He publicado nuevos apuntes de 1º Matemáticas I: Tema 2 20/21

Examen-resuelto.pdf
temaespaciosvectorialesen.pdf
temaespaciosvectorialesenejercicios.pdf
Ejercicios-resueltos-y-observaciones-de-subespacios-vectoriales.pdf
Anónimo

@Anónimo

apuntes

-

Tema 1 20/21

He publicado nuevos apuntes de 1º Matemáticas I: Tema 1 20/21

Operaciones-1.pdf
Operaciones-2.pdf
Ejercicios-de-examenes.pdf
Ejercicios-resueltos.pdf
Ejercicios.pdf
temamatricesloreto.pdf

He publicado nuevos apuntes de 1º Matemáticas I: derivadas-repaso.pdf

29 páginas

He publicado nuevos apuntes de 1º Matemáticas I: circulounidad.pdf

1 página

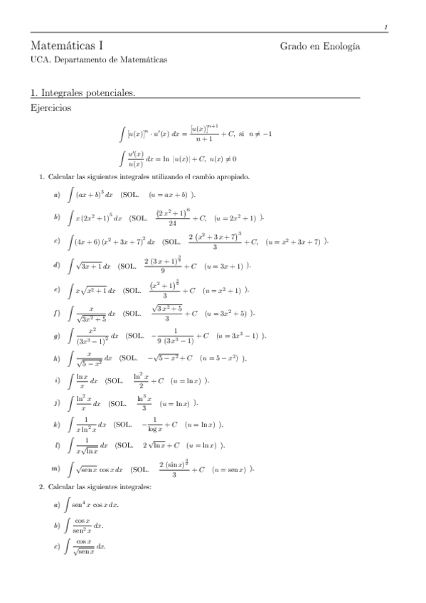
He publicado nuevos apuntes de 1º Matemáticas I: Integralesinmediatas.pdf

2 páginas

He publicado nuevos apuntes de 1º Matemáticas I: TABLA-DERIVADAS-INMEDIATAS.pdf

1 página

He publicado nuevos examenes de 1º Matemáticas I: EXAMEN-MATEMATICAS-1-RESUELTO-FEBRERO-Y-JUNIO.pdf

10 páginas
Anónimo

@Anónimo

apuntes

-

Prácticas maxima

He publicado nuevos apuntes de 1º Matemáticas I: Prácticas maxima

Practica-1.pdf
Practica-5.pdf
Practica-2.pdf
Practica-3.pdf
Practica-4.pdf

He publicado nuevos apuntes de 1º Matemáticas I: parcialalgebra19soluciones.pdf

4 páginas

He publicado nuevos apuntes de 1º Matemáticas I: Mates1 apuntes y ejercicios

13 páginas
Anónimo

@Anónimo

apuntes

-

Matemáticas 1 (apuntes y ejercicios)

He publicado nuevos apuntes de 1º Matemáticas I: Matemáticas 1 (apuntes y ejercicios)

mat1.pdf

Apuntes de Termodinamica

Hay algun apunte de termodinamica de enologia

He publicado nuevos apuntes de 1º Matemáticas I: tema_sucesiones_ejercicios.pdf

4 páginas

He publicado nuevos ejercicios de 1º Matemáticas I: ejercicios_matrices_enologia.pdf

4 páginas

He publicado nuevos apuntes de 1º Matemáticas I: tema_diagonalizacion.pdf

8 páginas

He publicado nuevos apuntes de 1º Matemáticas I: SucesionesTema2.pdf

19 páginas

He publicado nuevos apuntes de 1º Matemáticas I: tema_matrices_en.pdf

26 páginas

He publicado nuevos apuntes de 1º Matemáticas I: funciones_derivadas.pdf

10 páginas

He publicado nuevos ejercicios de 1º Matemáticas I: ejercicios_diagonalizacion_matrices.pdf

1 página

He publicado nuevos ejercicios de 1º Matemáticas I: ejercicios_tema_1.pdf

2 páginas

He publicado nuevos ejercicios de 1º Matemáticas I: ejercicios_tema_1MAT.pdf

2 páginas

He publicado nuevos apuntes de 1º Matemáticas I: NumeroscomplejosTema1.pdf

7 páginas

He publicado nuevos apuntes de 1º Matemáticas I: tema_sucesiones_soluciones_ejercicios (1).pdf

2 páginas

He publicado nuevos apuntes de 1º Matemáticas I: funciones.pdf

24 páginas

He publicado nuevos apuntes de 1º Matemáticas I: tema_sucesiones_ejerciciosMAT.pdf

4 páginas

He publicado nuevos apuntes de 1º Matemáticas I: tema_variasvariables_ejercicios.pdf

2 páginas

He publicado nuevos apuntes de 1º Matemáticas I: funciones (1).pdf

24 páginas

He publicado nuevos apuntes de 1º Matemáticas I: tema_funcioneselementales.pdf

5 páginas

examenes

-

Exámenes 2014-2015

He publicado nuevos examenes de 1º Matemáticas I: Exámenes 2014-2015

2566FE63-B513-40AE-88F2-C5B4F8D548FB.jpeg
5930BE48-3DCD-43FE-BF9F-66045E643D9E.jpeg
4B6CE819-E1BD-461B-9E93-B4C3D0197C10.jpeg
7478BCCE-D402-4DCC-BF02-3A57A812B82E.jpeg
123C6ED8-919B-4B4C-B5FD-B9886C180FBD.jpeg
4BAAEEA6-8A84-4CDC-BB48-8ED41843392C.jpeg

He publicado nuevos apuntes de 1º Matemáticas I: Comandos Maxima PRÁCTICAS.txt

word

He publicado nuevos examenes de 1º Matemáticas I: Mates 1. Feb 2017.jpg

Imagen

He publicado nuevos examenes de 1º Matemáticas I: Mates 1. Exam junio 2017.jpg

Imagen
Anónimo

@Anónimo

examenes

-

Parcial 1

He publicado nuevos examenes de 1º Matemáticas I: Parcial 1

IMG-20141106-WA0016.jpeg
IMG-20141106-WA0018.jpeg
IMG-20141106-WA0020.jpeg
IMG-20141106-WA0022.jpeg
Anónimo

@Anónimo

examenes

-

Parcial Integrales

He publicado nuevos examenes de 1º Matemáticas I: Parcial Integrales

IMG-20141218-WA0006.jpg
IMG-20141218-WA0005.jpg
IMG-20141218-WA0004.jpg
IMG-20141218-WA0003.jpg

examenes

-

Examen 2015

He publicado nuevos examenes de 1º Matemáticas I: Examen 2015

Examen 2015.jpg
IMG-20150128-WA0009.jpg

He publicado nuevos apuntes de 1º Matemáticas I: funcionesdeuna_variable.pdf

50 páginas

He publicado nuevos apuntes de 1º Matemáticas I: funcionesvariasvariables.pdf

30 páginas

He publicado nuevos apuntes de 1º Matemáticas I: diagonalizacion.pdf

14 páginas
¡Estás al día!

¡Estás al día!

Has visto todos los archivos