Todo
Apuntes
Ejercicios
Exámenes
chevron_left
chevron_right

examenes

-

Matemáticas II

Exámenes y Controles de Mate I (tienen respuesta). Mis apuntes/ejercicios de la asignatura.

Control-1.pdf
Control-2.pdf
Control-3.pdf
Control-4.pdf
Control-5.pdf
Control-6.pdf

He publicado nuevos examenes de 1º Matemáticas I: Partziala 2025.jpeg

Imagen

He publicado nuevos apuntes de 1º Matemáticas I: Mate-I-azterketak.pdf

97 páginas
Anónimo

@Anónimo

He publicado nuevos apuntes de 1º Matemáticas I: Azterketak.pdf

19 páginas
Anónimo

@Anónimo

He publicado nuevos apuntes de 1º Matemáticas I: Teoria.pdf

46 páginas
Anónimo

@Anónimo

He publicado nuevos apuntes de 1º Matemáticas I: Ariketak.pdf

54 páginas

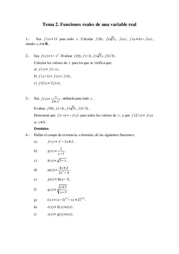
He publicado nuevos ejercicios de 1º Matemáticas I: Ejercicios-tema-2.pdf

10 páginas

He publicado nuevos ejercicios de 1º Matemáticas I: Ejercicios-tema-1.pdf

3 páginas

He publicado nuevos ejercicios de 1º Matemáticas I: Ejercicios-tema-3.pdf

14 páginas

He publicado nuevos ejercicios de 1º Matemáticas I: Ejercicios-repaso-integrales.pdf

1 página

He publicado nuevos apuntes de 1º Matemáticas I: Tema-2.pdf

3 páginas

He publicado nuevos apuntes de 1º Matemáticas I: Tema-3.pdf

4 páginas

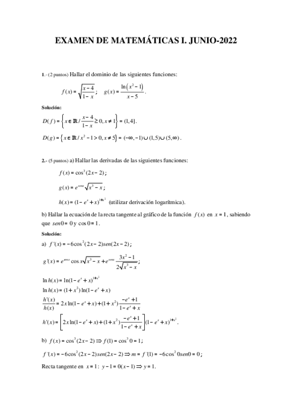
He publicado nuevos examenes de 1º Matemáticas I: junio2022.pdf

6 páginas

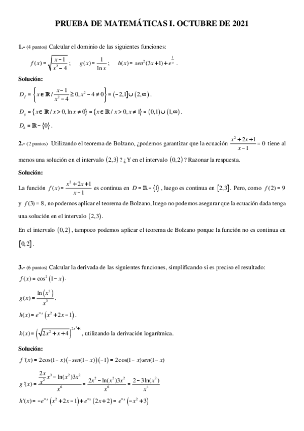
He publicado nuevos examenes de 1º Matemáticas I: junio2021.pdf

8 páginas

He publicado nuevos examenes de 1º Matemáticas I: julio2018.pdf

4 páginas

He publicado nuevos examenes de 1º Matemáticas I: enero2022.pdf

7 páginas

He publicado nuevos examenes de 1º Matemáticas I: Julio2019.pdf

5 páginas

He publicado nuevos examenes de 1º Matemáticas I: Enero2019.pdf

7 páginas

He publicado nuevos examenes de 1º Matemáticas I: enero2021.pdf

7 páginas

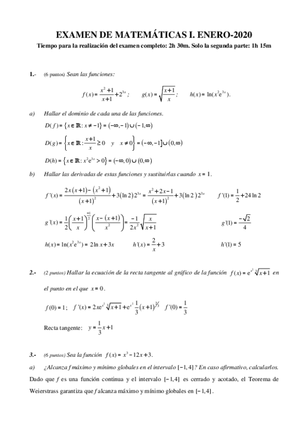
He publicado nuevos examenes de 1º Matemáticas I: enero2020.pdf

6 páginas

He publicado nuevos examenes de 1º Matemáticas I: enero2018.pdf

6 páginas

He publicado nuevos apuntes de 1º Matemáticas I: control-2022-sol.pdf

4 páginas

He publicado nuevos apuntes de 1º Matemáticas I: control-2021B-sol.pdf

3 páginas

He publicado nuevos examenes de 1º Matemáticas I: control-2021A-Sol.pdf

3 páginas

He publicado nuevos ejercicios de 1º Matemáticas I: Ejercicios-de-derivadas.pdf

3 páginas
Anónimo

@Anónimo

apuntes

-

Mate I

He publicado nuevos apuntes de 1º Matemáticas I: Mate I

Notas-teooricas-Parte-I.pdf
¡Estás al día!

¡Estás al día!

Has visto todos los archivos