chevron_left
chevron_right
Todo
Apuntes
Exámenes
chevron_left
chevron_right

He publicado nuevos examenes de 1º Matemáticas I: Examen-enero-26.pdf

10 páginas

He publicado nuevos apuntes de 1º Matemáticas I: MATE-I-segunda-parte.pdf

26 páginas

He publicado nuevos apuntes de 1º Matemáticas I: MATE-I-primera-parte.pdf

10 páginas

He publicado nuevos examenes de 1º Matemáticas I: Examen-Octubre25solpdf.pdf

5 páginas

examenes

-

examenes

He publicado nuevos examenes de 1º Matemáticas I: examenes

Parcial-de-Matematicas-I-Sol.pdf
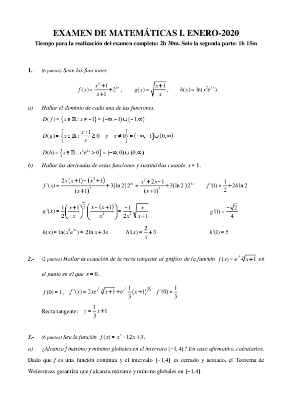
Prueba-parcial-Matematicas-I-curso-2019-2020.pdf
Primera-prueba-Matematicas-I-curso-2018-2019.pdf
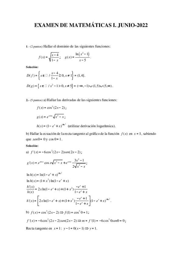
junio2022-sol1.pdf
prueba-mateI-2020-002soluciones.pdf

He publicado nuevos examenes de 1º Matemáticas I: Enero-2022-1.pdf

20 páginas

He publicado nuevos apuntes de 1º Matemáticas I: Documento-sin-titulo.pdf

pdf
Anónimo

@Anónimo

examenes

-

Examen y soluciones Enero 2019

He publicado nuevos examenes de 1º Matemáticas I: Examen y soluciones Enero 2019

Enero2019-sol.pdf
Enero2019.pdf
Anónimo

@Anónimo

examenes

-

Examen con soluciones Enero 2020

He publicado nuevos examenes de 1º Matemáticas I: Examen con soluciones Enero 2020

enero2020.pdf
enero2020-sol.pdf
Anónimo

@Anónimo

He publicado nuevos apuntes de 1º Matemáticas I: Matematicas-ENERO-2021.pdf

2 páginas

apuntes

-

Matrices, determinantes y vectores

He publicado nuevos apuntes de 1º Matemáticas I: Matrices, determinantes y vectores

Determinantes-teoria-.pdf
Algebra-ejercicios-.pdf
Matrices-teoria-.pdf
Examen-matrices-.pdf
Examen-determinantes-.pdf
Rectas-y-planos-ejercicios.pdf

apuntes

-

Derivada e integrales

He publicado nuevos apuntes de 1º Matemáticas I: Derivada e integrales

4.pdf
3-Analisis-derivabilidad-ejercicios.pdf
¡Estás al día!

¡Estás al día!

Has visto todos los archivos