Todo
Apuntes
Ejercicios
Exámenes
Test
Trabajos
chevron_left
chevron_right

He publicado nuevos apuntes de 1º Matemáticas I: Mates-ejercicios-clase-pre-examen.pdf

2 páginas

apuntes

-

Temas 1-6 Matemáticas I

He publicado nuevos apuntes de 1º Matemáticas I: Temas 1-6 Matemáticas I

Tema-4-MAT-I.pdf
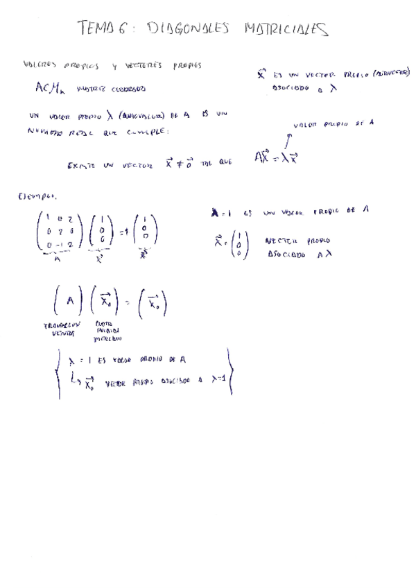
Tema-6-MAT-I.pdf
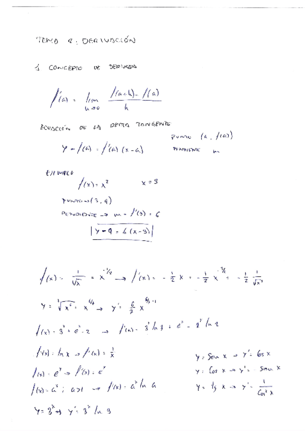
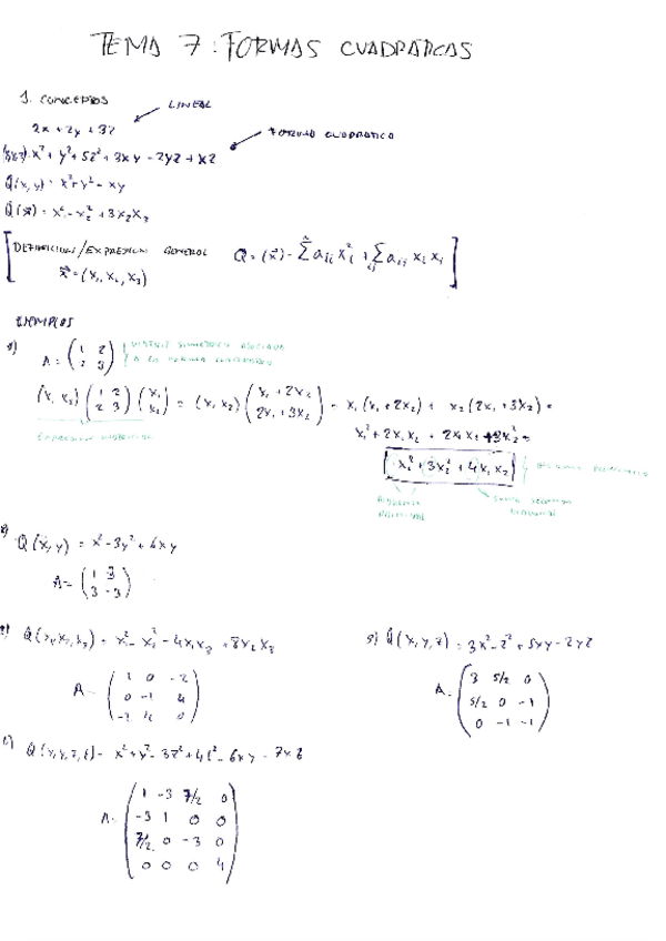
Tema-7-MAT-I.pdf
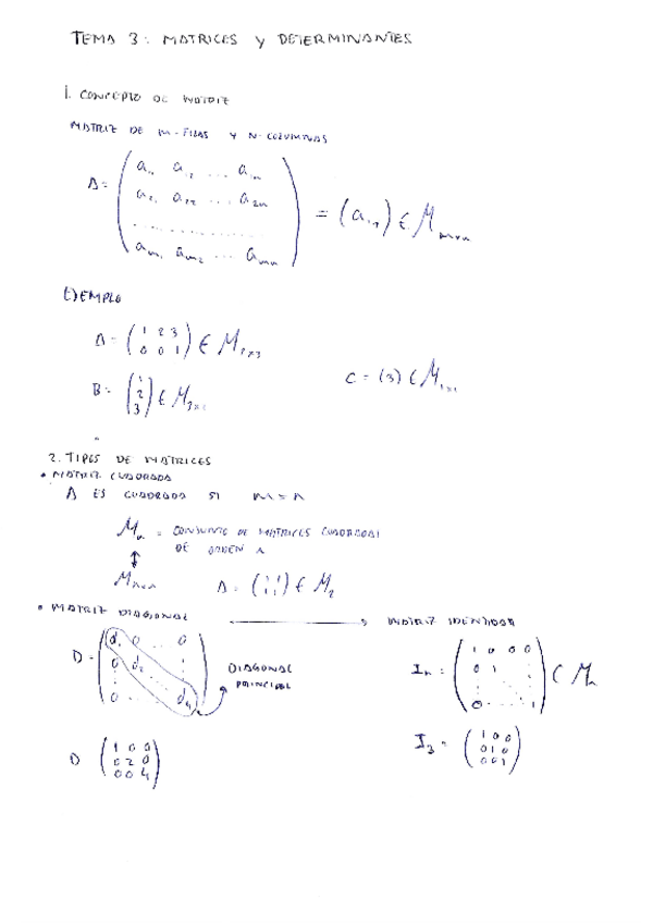
Tema-3-MAT-I.pdf
Tema-2-MAT-I.pdf
Tema-1-MAT-I.pdf

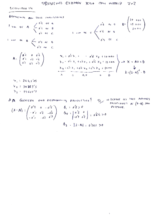
He publicado nuevos examenes de 1º Matemáticas I: Problema-examen-MAT-I.pdf

1 página

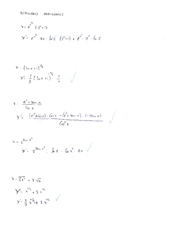
He publicado nuevos ejercicios de 1º Matemáticas I: Actividades-derivadas-MAT-I.pdf

3 páginas

trabajos

-

Trabajo derive

He publicado nuevos trabajos de 1º Matemáticas I: Trabajo derive

MATES-1.dfw
TRABAJO-MATES-1.pdf

He publicado nuevos apuntes de 1º Matemáticas I: Tema-3-resumen.pdf

1 página

test

-

Tipo Test Moodle

He publicado nuevos test de 1º Matemáticas I: Tipo Test Moodle

Tipo-Test-Moodle-tema-3.pdf
Tipo-Test-moodle-Tema-4.pdf

He publicado nuevos examenes de 1º Matemáticas I: Examen-parcial-Mates-1.pdf

2 páginas