Matemáticas I
EXM ORDINARIA teoría y práctica 14/01/2026
.


apuntes
-
teoría matemáticas I
He publicado nuevos apuntes de 1º Matemáticas I: teoría matemáticas I
He publicado nuevos examenes de 1º Matemáticas I: Finales-Matematicas-I.pdf
He publicado nuevos examenes de 1º Matemáticas I: Finales-Matematicas.pdf
He publicado nuevos ejercicios de 1º Matemáticas I: Diagonalizacion.pdf
He publicado nuevos ejercicios de 1º Matemáticas I: Espacios-Vectoriales.pdf
He publicado nuevos apuntes de 1º Matemáticas I: Teoria-Matematicas-T3-y-4.pdf
He publicado nuevos apuntes de 1º Matemáticas I: Teoria-Matematicas-T1-y-2.pdf
He publicado nuevos examenes de 1º Matemáticas I: modelo-test-teoria.pdf
He publicado nuevos examenes de 1º Matemáticas I: modelo-test-teoria2023.pdf
apuntes
-
EXAMENES FINALES MATES I RESUELTOS
EXAMENES FINALES MATES I
examenes
-
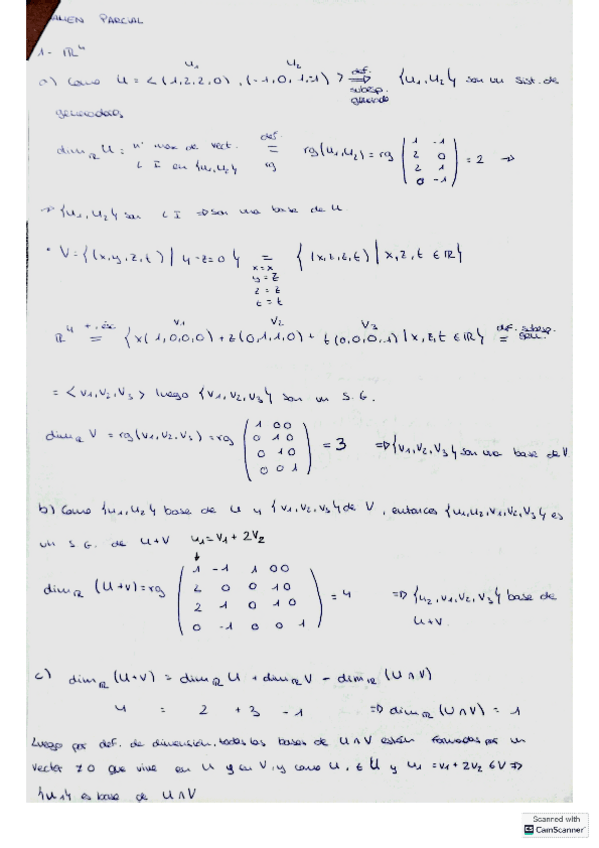
EXAMENES PARCIALES MATES RESUELTOS
He publicado nuevos examenes de 1º Matemáticas I: EXAMENES PARCIALES MATES RESUELTOS
He publicado nuevos apuntes de 1º Matemáticas I: APUNTES-EJERCICIOS.pdf
He publicado nuevos apuntes de 1º Matemáticas I: PREGUNTAS-TEORIA-TIPO-EXAMEN.pdf
He publicado nuevos examenes de 1º Matemáticas I: examen-1conv-2024.pdf
He publicado nuevos examenes de 1º Matemáticas I: Examen-primera-convocatoria-mates-2024-practico.jpg
He publicado nuevos examenes de 1º Matemáticas I: Examen-primera-convocatoria-mates-2024.jpg
apuntes
-
Exámenes
He publicado nuevos apuntes de 1º Matemáticas I: Exámenes
He publicado nuevos apuntes de 1º Matemáticas I: PROBLEMASEnunciadosIQ.pdf
examenes
-
Exámenes
He publicado nuevos examenes de 1º Matemáticas I: Exámenes
ejercicios
-
Ejercicios
He publicado nuevos ejercicios de 1º Matemáticas I: Ejercicios
apuntes
-
Teoría
He publicado nuevos apuntes de 1º Matemáticas I: Teoría
He publicado nuevos apuntes de 1º Matemáticas I: Tema-4-ordenador-Metricas.pdf
He publicado nuevos apuntes de 1º Matemáticas I: Tema-3-ordenador-Espacio-dual.pdf
He publicado nuevos apuntes de 1º Matemáticas I: Tema-2-ordenador-Diagonalizacion-de-endomorfismos.pdf
He publicado nuevos apuntes de 1º Matemáticas I: Tema-1-ordenador-Espacios-Vectoriales.pdf
He publicado nuevos apuntes de 1º Matemáticas I: Teoria tema 1 (tipo examen).pdf
He publicado nuevos examenes de 1º Matemáticas I: Segundo parcial y final 2022/23.pdf
He publicado nuevos apuntes de 1º Matemáticas I: TEMA 2: diagonalización de endomorfismos.pdf
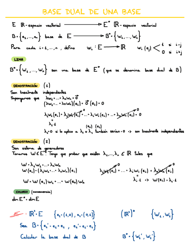
He publicado nuevos apuntes de 1º Matemáticas I: TEMA 3: espacio dual.pdf
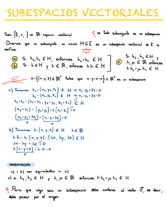
He publicado nuevos apuntes de 1º Matemáticas I: SUBESPACIOS VECTORIALES.pdf
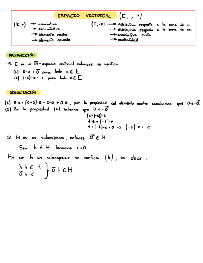
He publicado nuevos apuntes de 1º Matemáticas I: ESPACIOS VECTORIALES.pdf
examenes
-
EXAMENES 2018-19
He publicado nuevos examenes de 1º Matemáticas I: EXAMENES 2018-19
He publicado nuevos apuntes de 1º Matemáticas I: Examenes-practica-mates-.pdf
He publicado nuevos apuntes de 1º Matemáticas I: Examenes-mates-I-teoria.pdf
He publicado nuevos apuntes de 1º Matemáticas I: Tema-1-ordenador-mates.pdf
examenes
-
exámenes mates I
He publicado nuevos examenes de 1º Matemáticas I: exámenes mates I
ejercicios
-
Ejercicios mates I
He publicado nuevos ejercicios de 1º Matemáticas I: Ejercicios mates I
apuntes
-
Apuntes y ejemplos mates I
He publicado nuevos apuntes de 1º Matemáticas I: Apuntes y ejemplos mates I
examenes
-
Exámenes
He publicado nuevos examenes de 1º Matemáticas I: Exámenes
¡Estás al día!
Has visto todos los archivos