chevron_left
chevron_right
Todo
Apuntes
Ejercicios
Exámenes
chevron_left
chevron_right

He publicado nuevos apuntes de 1º Matemáticas I: Teoria-Essencial-Funcions-I-Sistemes-tipus-Examen.pdf

3 páginas

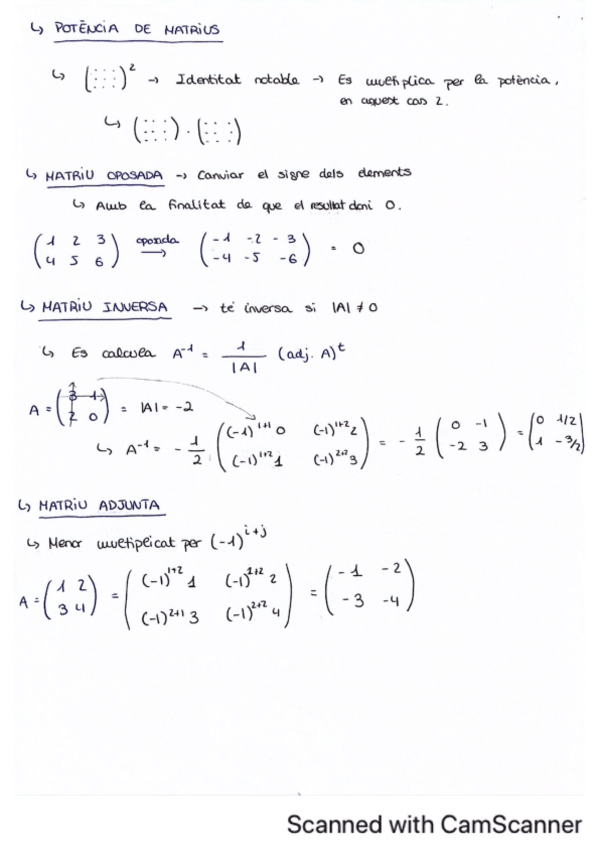
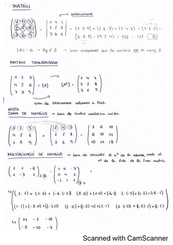
He publicado nuevos apuntes de 1º Matemáticas I: Matrius-RocheFrobenus-etc.pdf

6 páginas

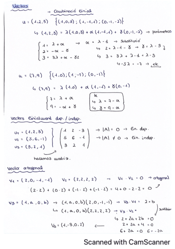
He publicado nuevos apuntes de 1º Matemáticas I: Vectors.pdf

2 páginas

He publicado nuevos apuntes de 1º Matemáticas I: Domini-Creixement-Curvatura-etc.pdf

7 páginas

ejercicios

-

MATEMÁTICAS I

He publicado nuevos ejercicios de 1º Matemáticas I: MATEMÁTICAS I

Ejercicios Resueltos Tema 4.pdf
Ejercicios Resueltos Tema 2.pdf
Ejercicios Resueltos Tema 3.pdf
Ejercicios Resueltos Tema 5.pdf
Ejercicios Resueltos Tema 1.pdf
Anónimo

@Anónimo

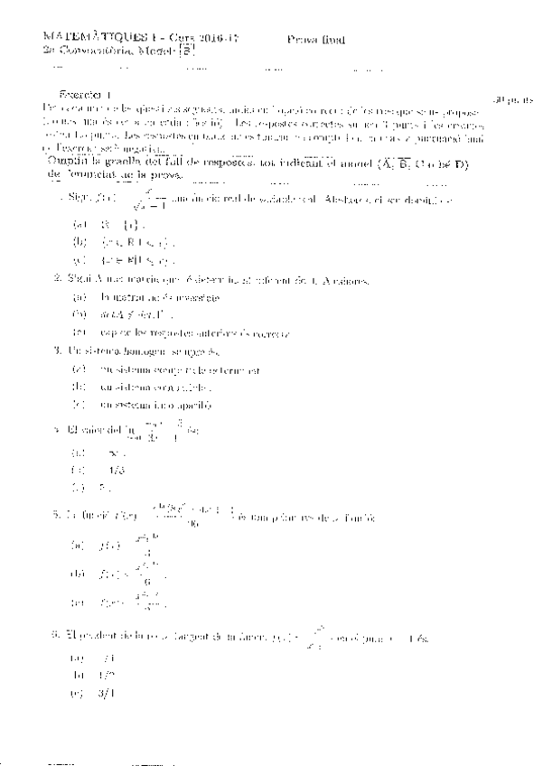
He publicado nuevos examenes de 1º Matemáticas I: examen20181conv.pdf

4 páginas
Anónimo

@Anónimo

He publicado nuevos examenes de 1º Matemáticas I: examen20172conv.pdf

1 página
Anónimo

@Anónimo

He publicado nuevos examenes de 1º Matemáticas I: examen20171conv.pdf

4 páginas
Anónimo

@Anónimo

He publicado nuevos examenes de 1º Matemáticas I: examen20162conv.pdf

2 páginas
Anónimo

@Anónimo

He publicado nuevos examenes de 1º Matemáticas I: examen20161conv.pdf

4 páginas
Anónimo

@Anónimo

He publicado nuevos examenes de 1º Matemáticas I: examen20152conv.pdf

4 páginas
Anónimo

@Anónimo

He publicado nuevos examenes de 1º Matemáticas I: examen20151conv.pdf

4 páginas
Anónimo

@Anónimo

He publicado nuevos apuntes de 1º Matemáticas I: examen20091conv.pdf

2 páginas
Anónimo

@Anónimo

He publicado nuevos apuntes de 1º Matemáticas I: TEMAV-espai-real-de-dimensio-n.pdf

20 páginas

examenes

-

EXAMENES Matemáticas I

He publicado nuevos examenes de 1º Matemáticas I: EXAMENES Matemáticas I

Examen-13-14-2a-convocatoria.pdf
Examen-12-13-1a-convocatoria-modelo-A.pdf
Examen-10-11-2a-convocatoria.pdf
Examen-14-15-1a-convocatoria-modelo-A.pdf
Examen-13-14-1a-convocatoria-modelo-D.pdf
Examen-12-13-2a-convocatoria.pdf

ejercicios

-

EJERCICIOS MATEMÁTICAS I

He publicado nuevos ejercicios de 1º Matemáticas I: EJERCICIOS MATEMÁTICAS I

EJERCICIOS-TEMA-1.pdf
PREGUNTAS-TIPO-TEST-TEMAS-1-Y-2.pdf
EJERCICIOS-TEMA-2.pdf
EJERCICIOS-TEMA-3.pdf
EJERCICIOS-TEMA-4.pdf
EJERCICIOS-TEMA-5.pdf

apuntes

-

MATEMÁTICAS I

He publicado nuevos apuntes de 1º Matemáticas I: MATEMÁTICAS I

TEMA-1.pdf
TEMA-2.pdf
TEMA-3.pdf
TEMA-4.pdf

He publicado nuevos apuntes de 1º Matemáticas I: apuntes_tema_1.pdf

26 páginas
¡Estás al día!

¡Estás al día!

Has visto todos los archivos