Todo
Apuntes
Ejercicios
Exámenes
chevron_left
chevron_right
Anónimo

@Anónimo

Subo el parcial I del 2023

5 páginas

He publicado nuevos examenes de 1º Matemáticas I: Mates-I-parcial-I-2023.pdf

8 páginas

Subo apuntes de mates, resumidos . Son del bloque I, parcial I

9 páginas

He publicado nuevos examenes de 1º Matemáticas I: Examenes-de-1-parcial.pdf

18 páginas

He publicado nuevos apuntes de 1º Matemáticas I: Chuletario-Bloque-II.pdf

2 páginas

examenes

-

Modelos Exámenes Mates

Modelos exámenes mates, algunos corregido

Examen-1er-parcial-29-Oct-2024.pdf
Modelo-8-Nov-2023.pdf
Modelo-12-Ener-2023.pdf
Modelo-13-Dic-2023-GIMN.pdf
Modelo-22-Dic-2022.pdf
Modelo-Enero-2024.pdf

He publicado nuevos examenes de 1º Matemáticas I: Modelo-3er-parcial-mates.pdf

1 página

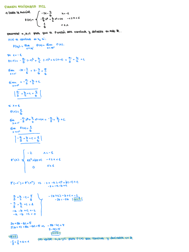
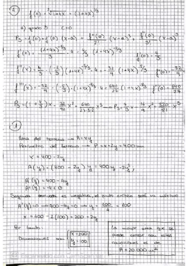
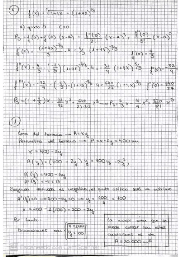
He publicado nuevos examenes de 1º Matemáticas I: Noviembre-2022-resuelto.pdf

3 páginas

He publicado nuevos examenes de 1º Matemáticas I: Octubre-2020-resuelto.pdf

3 páginas

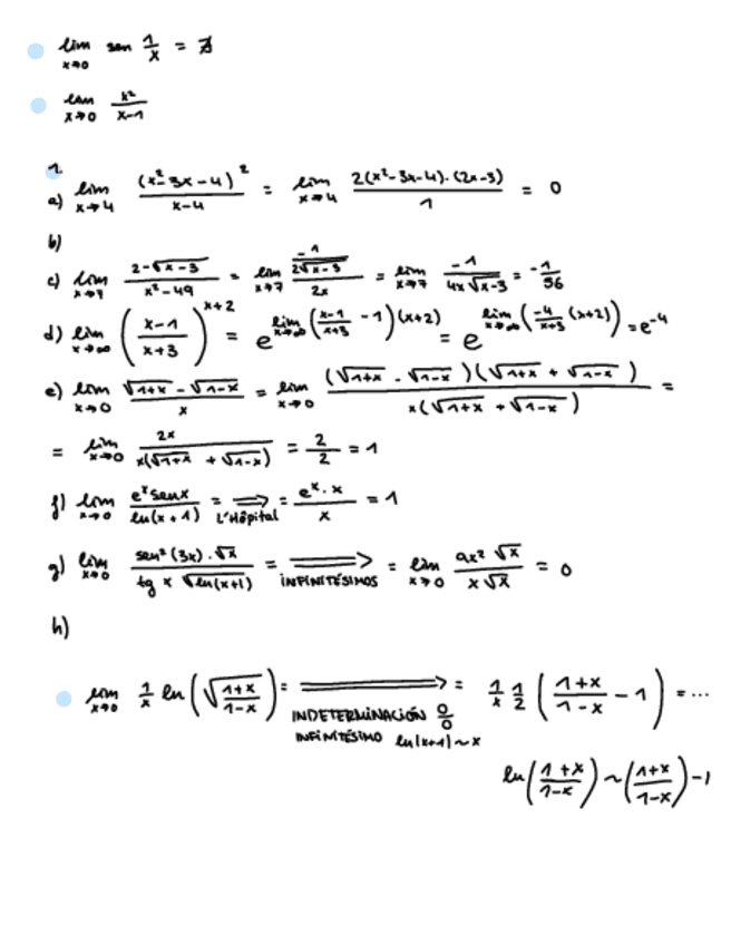
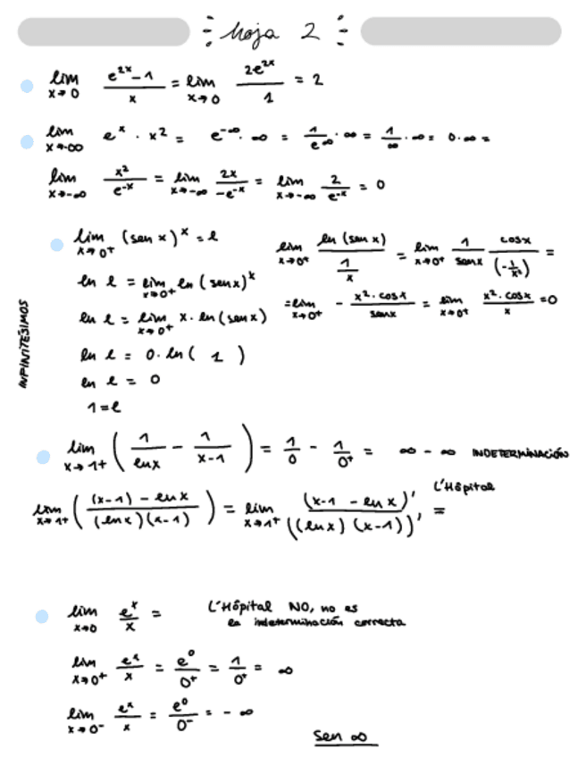
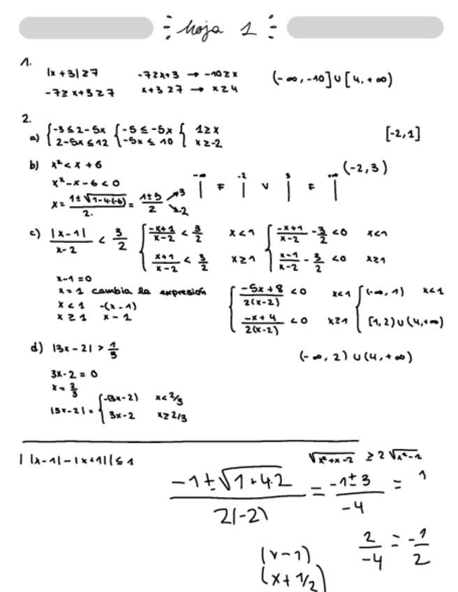
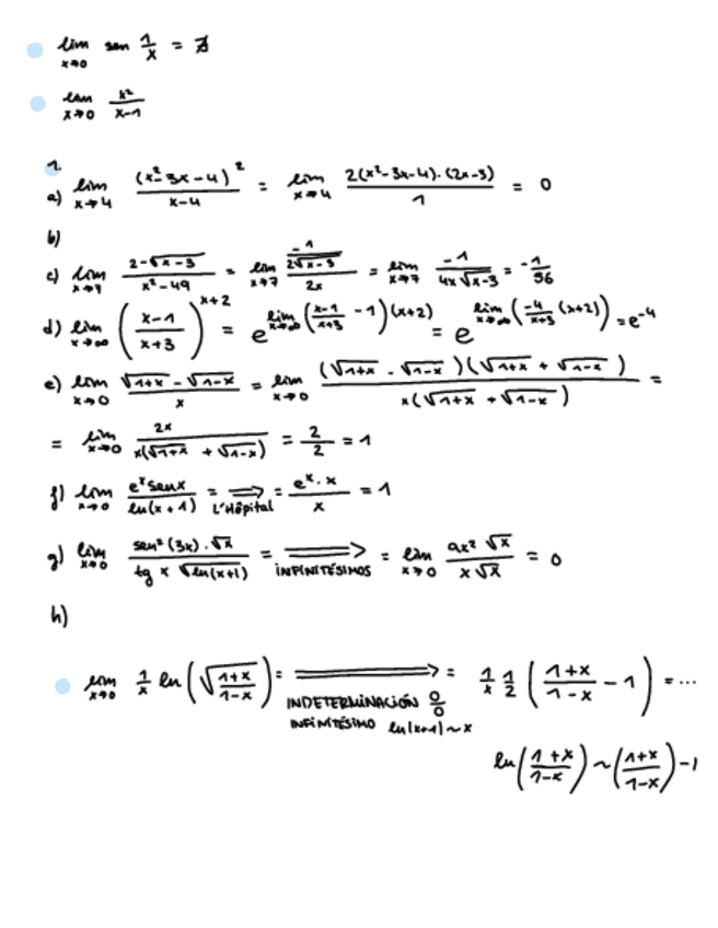
He publicado nuevos ejercicios de 1º Matemáticas I: Hoja-1.pdf

9 páginas

He publicado nuevos examenes de 1º Matemáticas I: Diciembre-2021-resuelto..pdf

2 páginas

He publicado nuevos examenes de 1º Matemáticas I: Examen-diciembre-2023.pdf

2 páginas

He publicado nuevos examenes de 1º Matemáticas I: Diciembre-2023-resuelto.pdf

3 páginas

He publicado nuevos apuntes de 1º Matemáticas I: Integrales.pdf

5 páginas

He publicado nuevos apuntes de 1º Matemáticas I: Hoja-integrales.pdf

1 página

He publicado nuevos apuntes de 1º Matemáticas I: formulario-bloque-II-matematicas-y-apuntes-de-repaso-de-bachillerato.pdf

20 páginas

He publicado nuevos apuntes de 1º Matemáticas I: apuntes clase bloque II matemáticas (con ejercicios).pdf

18 páginas

He publicado nuevos examenes de 1º Matemáticas I: ExamenMatematicas-1-octubre-2023-sol.pdf

6 páginas

He publicado nuevos examenes de 1º Matemáticas I: examen-diciembre-2022-corregido-mates-I.pdf

4 páginas

He publicado nuevos examenes de 1º Matemáticas I: examen-enero-2023-corregido- mates I.pdf

5 páginas

He publicado nuevos examenes de 1º Matemáticas I: examen-octubre-2022-corregido-mates I.pdf

4 páginas

He publicado nuevos examenes de 1º Matemáticas I: ExamenMatematicas-enero-2023-sol.pdf

3 páginas

He publicado nuevos examenes de 1º Matemáticas I: EXAM-MATES-I-EXTRA-22-23.pdf

3 páginas

He publicado nuevos apuntes de 1º Matemáticas I: Resumen-Parcial-2.pdf

9 páginas

He publicado nuevos apuntes de 1º Matemáticas I: INTEGRALES-todos-los-tipos.pdf

11 páginas

He publicado nuevos ejercicios de 1º Matemáticas I: Practica-Mates.pdf

3 páginas

He publicado nuevos apuntes de 1º Matemáticas I: Resumen-Parcial-1.pdf

11 páginas
Anónimo

@Anónimo

He publicado nuevos examenes de 1º Matemáticas I: Examen-Matematicas-1-enero-2021-TT-sol.pdf

6 páginas

He publicado nuevos examenes de 1º Matemáticas I: EXAM-MATES-I-BLOQ-II-22-23.pdf

1 página

He publicado nuevos examenes de 1º Matemáticas I: EXAM-MATES-I-EXTRA-21-22.pdf

3 páginas

He publicado nuevos examenes de 1º Matemáticas I: EXAM-MATES-I-BLOQ-II-21-22-OPCION-A.pdf

1 página

He publicado nuevos examenes de 1º Matemáticas I: EXAM-MATES-I-BLOQ-II-20-21-OPCION-A.pdf

4 páginas

He publicado nuevos examenes de 1º Matemáticas I: EXAM-MATES-I-BLOQ-I-22-23.pdf

1 página

examenes

-

EXAMENES RESUELTOS + PROCEDIMIENTO

He publicado nuevos examenes de 1º Matemáticas I: EXAMENES RESUELTOS + PROCEDIMIENTO

R7-EXAMEN-MATES-I-ORD-2021230116121657.pdf
R1-EXAMEN-MATES-I-BLOQUE-II.pdf
R2-EXAMEN-MATES-I-BLOQ-II-2122230116121507.pdf
R4-Nota-escrita-a-mano-1102230116121554.pdf
R5-EXAM-MATESI-BLOQ-II-2223230116121616.pdf
R6-EXAM-MATES-I-ORD-2021230116121635.pdf

apuntes

-

TEMARIO

He publicado nuevos apuntes de 1º Matemáticas I: TEMARIO

MATES-1-CONTINUIDAD-Y-DERIVABILIDAD.pdf
CALCULO-1-INTEGRALES.pdf
FRACCIONES-PARCIALES.pdf
CALCULO-1-LIMITES.pdf
MATES-1-NUMEROS.pdf
DESIGUALDADES-E-INECUACIONES.pdf

apuntes

-

MAPLE

He publicado nuevos apuntes de 1º Matemáticas I: MAPLE

PRACTICA-2-AARON-B.pdf
practica-1-AARON.pdf

He publicado nuevos examenes de 1º Matemáticas I: EXAMENES.pdf

15 páginas

ejercicios

-

Hojas resueltas

He publicado nuevos ejercicios de 1º Matemáticas I: Hojas resueltas

HOJA-4.pdf
HOJA-I.pdf
HOJA-5.pdf
HOJA-6.pdf
HOJA-3.pdf
HOJA-2.pdf

He publicado nuevos apuntes de 1º Matemáticas I: Integrales (aprende).pdf

42 páginas

apuntes

-

Teoría

He publicado nuevos apuntes de 1º Matemáticas I: Teoría

Apuntes.pdf

He publicado nuevos ejercicios de 1º Matemáticas I: Ejercicios-2.pdf

6 páginas

He publicado nuevos ejercicios de 1º Matemáticas I: Ejercicios-1.pdf

5 páginas

He publicado nuevos ejercicios de 1º Matemáticas I: Ejercicios.pdf

3 páginas

He publicado nuevos apuntes de 1º Matemáticas I: Segundo-Parcial-Matematicas-GITA.pdf

pdf

He publicado nuevos apuntes de 1º Matemáticas I: primer-parcial-matematicas-GITA.pdf

pdf

He publicado nuevos ejercicios de 1º Matemáticas I

http://canek.uam.mx

He publicado nuevos ejercicios de 1º Matemáticas I: HOJA-3.pdf

10 páginas

He publicado nuevos ejercicios de 1º Matemáticas I: HOJA-2.pdf

9 páginas

He publicado nuevos ejercicios de 1º Matemáticas I: HOJA-1.pdf

10 páginas

He publicado nuevos ejercicios de 1º Matemáticas I: HOJA-3.pdf

10 páginas

He publicado nuevos ejercicios de 1º Matemáticas I: HOJA-2.pdf

9 páginas

He publicado nuevos ejercicios de 1º Matemáticas I: HOJA-1.pdf

10 páginas

He publicado nuevos apuntes de 1º Matemáticas I: LIBROmatematicas.pdf

111 páginas

apuntes

-

examenes mates

He publicado nuevos apuntes de 1º Matemáticas I: examenes mates

Examen-Matematicas-1-octubre-2019-S-.pdf
Examen-Matematicas-1-octubre-2019.pdf
Examen-Matematicas-1-diciembre-2019-sol.pdf
Examen-Matematicas-1-enero-2020-sol.pdf

apuntes

-

mates 2

He publicado nuevos apuntes de 1º Matemáticas I: mates 2

hoja21920-1.pdf
hoja21920.pdf
hoja11920-1.pdf
hoja71920.pdf
hoja31920A1.pdf
hoja11920.pdf

apuntes

-

Ecuaciones diferencial homogenea

He publicado nuevos apuntes de 1º Matemáticas I: Ecuaciones diferencial homogenea

https://www.youtube.com/watch?v=n6y9qwf3doq

apuntes

-

EXAMENES!!!!

He publicado nuevos apuntes de 1º Matemáticas I: EXAMENES!!!!

Control-1-2017-resultados-1.pdf
Control-2-2017-soluciones.pdf
Control-1-2018-solucion.pdf
Control-1-2017-resultados.pdf
Control-1-2018-respuestas.pdf
Ex22dic15-Gita.pdf

examenes

-

EXAMENES

He publicado nuevos examenes de 1º Matemáticas I: EXAMENES

1572114530875Julio-solucion.pdf
Control-1-2017-resultados.pdf
Examen-Matematicas-1-octubre-2019-S-.pdf
Examen-Matematicas-1-diciembre-2019-sol.pdf
Primer-Parcial-2015.pdf
Julio-2019.pdf

apuntes

-

MAS MATES 1

He publicado nuevos apuntes de 1º Matemáticas I: MAS MATES 1

8.pdf
7.pdf
10.pdf
9.pdf

apuntes

-

PRELIMINARES MATES 1

He publicado nuevos apuntes de 1º Matemáticas I: PRELIMINARES MATES 1

2.pdf
3.pdf
1.pdf
4.pdf
5.pdf
6.pdf