Todo
Apuntes
Ejercicios
Exámenes
Otros
chevron_left
chevron_right

examenes

-

Examenes gela

He publicado nuevos examenes de 1º Matemáticas I: Examenes gela

control-1opcion-2a.pdf
control-1opcion-2a.pdf
control-1opcion-2b.pdf
control-1opcion-2b.pdf
control-2.pdf
control-2.pdf

He publicado nuevos ejercicios de 1º Matemáticas I: ejercicios-resueltostema-3seleccion2023-2024.pdf

7 páginas

He publicado nuevos ejercicios de 1º Matemáticas I: ejercicios-resueltostema-2seleccion.pdf

7 páginas

He publicado nuevos ejercicios de 1º Matemáticas I: Ejercicios-resueltostema-1-seleccion.pdf

6 páginas

He publicado nuevos ejercicios de 1º Matemáticas I: curvas-de-nivel-incluidos-en-resueltos.pdf

5 páginas

He publicado nuevos apuntes de 1º Matemáticas I: practica-122023-2024soluciones.pdf

3 páginas

He publicado nuevos apuntes de 1º Matemáticas I: practica-112023-2024soluciones.pdf

3 páginas

He publicado nuevos apuntes de 1º Matemáticas I: practica-102023-2024soluciones.pdf

4 páginas

He publicado nuevos apuntes de 1º Matemáticas I: practica-92023-2024soluciones.pdf

2 páginas

He publicado nuevos apuntes de 1º Matemáticas I: practica-82023-2024soluciones.pdf

4 páginas

He publicado nuevos apuntes de 1º Matemáticas I: practica-72023-2024soluciones.pdf

2 páginas

He publicado nuevos apuntes de 1º Matemáticas I: practica-6-2023-2024soluciones.pdf

2 páginas

He publicado nuevos apuntes de 1º Matemáticas I: practica-5-2023-2024soluciones.pdf

3 páginas

He publicado nuevos apuntes de 1º Matemáticas I: practica-42023-2024soluciones.pdf

3 páginas

He publicado nuevos apuntes de 1º Matemáticas I: practica-32023-2024soluciones.pdf

3 páginas

He publicado nuevos apuntes de 1º Matemáticas I: Practica-2-2023-2024soluciones.pdf

8 páginas

He publicado nuevos apuntes de 1º Matemáticas I: Practica-12023-2024soluciones.pdf

4 páginas

He publicado nuevos apuntes de 1º Matemáticas I: Tema-4-2023-2024.pdf

63 páginas

He publicado nuevos apuntes de 1º Matemáticas I: Tema-3-2023-2024.pdf

50 páginas

He publicado nuevos apuntes de 1º Matemáticas I: Tema-2-2023-2024.pdf

41 páginas

He publicado nuevos apuntes de 1º Matemáticas I: Tema-1-diapositivas-32-fin.pdf

32 páginas

He publicado nuevos apuntes de 1º Matemáticas I: Tema-1-diapositivas-1-31.pdf

31 páginas
Anónimo

@Anónimo

He publicado nuevos examenes de 1º Matemáticas I: Solucionesenero2021-1.pdf

7 páginas
Anónimo

@Anónimo

He publicado nuevos examenes de 1º Matemáticas I: Solucionesjunio2021-1.pdf

6 páginas
Anónimo

@Anónimo

He publicado nuevos examenes de 1º Matemáticas I: solene2019.pdf

4 páginas
Anónimo

@Anónimo

He publicado nuevos examenes de 1º Matemáticas I: soljun2019.pdf

5 páginas
Anónimo

@Anónimo

He publicado nuevos examenes de 1º Matemáticas I: enero2020-1.pdf

5 páginas

He publicado nuevos otros de 1º Matemáticas I: GUIA-DOCENTE-MATEMATICAS-I.pdf

4 páginas

He publicado nuevos examenes de 1º Matemáticas I: EXAMEN-MATEMATICAS-I-2023-enero.pdf

6 páginas

apuntes

-

Examenes y apuntes útiles

Lo que mejor sirve para esta asignatura es hacer mil y un examenes

Soluciones-examenes-2012-2020.pdf
Soluciones-examenes-2012-2020.pdf
Integrales-de-chill.pdf
Integrales-de-chill.pdf
Enero-22.pdf
Enero-22.pdf

examenes

-

EXAMENES FINALES MATES 1

He publicado nuevos examenes de 1º Matemáticas I: EXAMENES FINALES MATES 1

final-junio22.pdf
final-junio22.pdf
final-enero22.pdf
final-enero22.pdf

examenes

-

PARCIALES MATES 1

He publicado nuevos examenes de 1º Matemáticas I: PARCIALES MATES 1

1o-Parcial-21-22.pdf
1o-Parcial-21-22.pdf
Anónimo

@Anónimo

examenes

-

Solución Exámenes 2012-2020

He publicado nuevos examenes de 1º Matemáticas I: Solución Exámenes 2012-2020

Integrales-2oCurso.pdf
Integrales-2oCurso.pdf
soluciones2020-2012.pdf
soluciones2020-2012.pdf

apuntes

-

Matemáticas I (fórmulas)

He publicado nuevos apuntes de 1º Matemáticas I: Matemáticas I (fórmulas)

II-Parcial-formulas.pdf
II-Parcial-formulas.pdf
I-Parcial-formulas.pdf
I-Parcial-formulas.pdf

apuntes

-

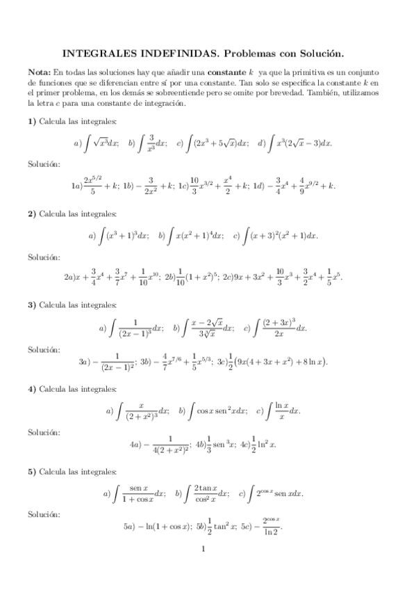
DERIVADAS E INTEGRALES

He publicado nuevos apuntes de 1º Matemáticas I: DERIVADAS E INTEGRALES

4-100derivadasresueltas.pdf
4-100derivadasresueltas.pdf
probintegralesindefinidas.pdf
probintegralesindefinidas.pdf
2.pdf
2.pdf