chevron_left
chevron_right
Todo
Apuntes
Ejercicios
Exámenes
Otros
Prácticas
chevron_left
chevron_right

apuntes

-

Cálculo II

Apuntes clase de Santi en castellano (Los apuntes estan divididos en 2 partes por que wuolah no deja descargarlo si no tienes el premium por que es demasiado largo). También está el pdf entero en la carpeta.

Calculo-II.pdf
Calculus-II-Parte-1.pdf
Calculus-II-Parte-2.pdf

apuntes

-

Álgebra

Apuntes Álgebra clase de Santi. (Apuntes, resumen y examenes resueltos)

Linear-Algebra.pdf.pdf
SOLUCIONES-Examen-Algebra-2021.pdf
SOLVED-Examen-Algebra-2019.pdf
SOLVED-Examen-Algebra-2018.pdf
SOLVED-Examen-Algebra-2021.pdf

He publicado nuevos apuntes de 1º Matemáticas I: RESUMEN-MATES-DE-TODOS-LOS-EJERCICIOS-EXPLICADOS-DETALLADAMENTE.pdf

7 páginas

apuntes

-

Cálculo I

Apuntes Cálculo 1, 1º Ingeniería Aeroespacial UPV. Estos apuntes no estan acabados. Incluye el temario dado hasta el 08/11/25. Los apuntes están en inglés con acotaciones en castellano.

Calculus-I-Part-1.pdf
Calculus-I-Part-2.pdf
Formulario-Calculo-1.pdf

examenes

-

Exámenes matemáticas I

Exámenes de otros años resueltos en inglés

Exam-Algebra-2019-Mathematics-I.pdf
Exam-Calculus-I-2019-Mathematics-I.pdf
Exam-Calculus-II-2018-Mathematics-I.pdf
Exam-Calculus-II-2019-Mathematics-I.pdf
Exam-Calculus-II-2020-Mathematics-I.pdf
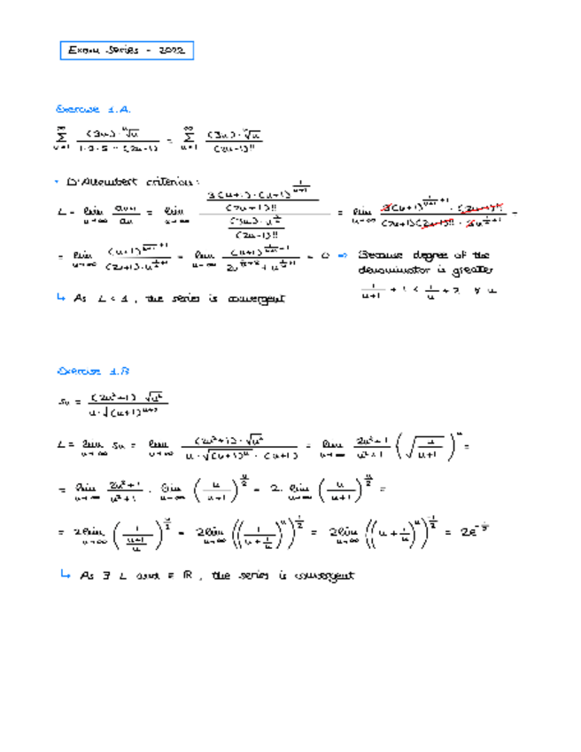
Exam-Series-2022-Mathematics-I.pdf

He publicado nuevos apuntes de 1º Matemáticas I: RESUMEN-Y-FORMULARIO-CALCULO-1.pdf

16 páginas

apuntes

-

FIRST PARTIAL EXAM

He publicado nuevos apuntes de 1º Matemáticas I: FIRST PARTIAL EXAM

LESSON-2.pdf
LESSON-4-AND-5-WITH-DETAILED-EXPLANATIONS.pdf
LESSON-1.pdf

apuntes

-

Cálculo

Apuntes de todos los temas de cálculo. Incluye teoría y ejercicios. También hay un formulario y un repaso de cálculo 2.

Mates-C13.pdf
Mates-C7.pdf
Formulario-calculo.pdf
Mates-C11.pdf
Mates-C1.pdf
Mates-C8-series.pdf

apuntes

-

Álgebra

Todos los temas de álgebra: teoría y ejercicios

Mates-A5.pdf
Mates-A6.pdf
Mates-A7.pdf
Mates-A4.pdf
Mates-A3.pdf
Mates-A2.pdf

Tabla con algunas funciones de figuras importantes

2 páginas

Tabla resumen del tema de series

3 páginas

He publicado nuevos ejercicios de 1º Matemáticas I: Ejercicios-libro-tema-1-funciones-hiperbolicas-resueltos-y-explicados.pdf

20 páginas

apuntes

-

Apuntes Matemáticas I

Apuntes de todos los temas de matemáticas I en inglés. Incluye 4 anexos con fórmulas de derivadas, integrales inmediatas, trigonometría y equivalencias infinitesimales

Annex-I-Derivatives.pdf
Annex-II-Immediate-integrals.pdf
Annex-III-Trigonometric-identities.pdf
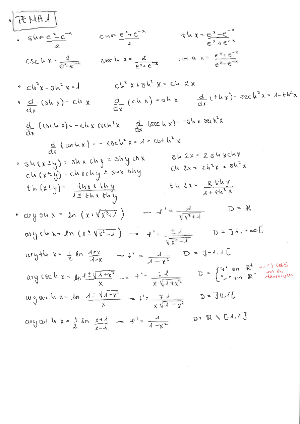
Unit-1-Hyperbolic-functions.pdf
Unit-2-Complex-numbers.pdf
Unit-3-Numerical-methods.pdf

apuntes

-

Cálculo 1

Everything you need to know to get a 10 in C1

Hyperbolicfunctions.pdf
Integrals.pdf
Complexnumbers.pdf

Todo álgebra, resumido, conciso

5 páginas
Anónimo

@Anónimo

He publicado nuevos apuntes de 1º Matemáticas I: Excel-Nota-Matematicas-I.xlsx

excel

He publicado nuevos apuntes de 1º Matemáticas I: RESUMEN-PROBLEMAS-TIPO-EXAMEN-C3.pdf

2 páginas

examenes

-

EXÁMENES SOLUCIONADOS C3 - INGLÉS

He publicado nuevos examenes de 1º Matemáticas I: EXÁMENES SOLUCIONADOS C3 - INGLÉS

SOL-EXAMEN-2019-C3.pdf
SOL-EXAMEN-2020-C3.pdf
SOL-EXAMEN-2021-C3.pdf

He publicado nuevos apuntes de 1º Matemáticas I: RESUMEN-PROBLEMAS-TIPO-EXAMEN-C2.pdf

2 páginas

examenes

-

EXÁMENES SOLUCIONADOS C2 - INGLÉS

He publicado nuevos examenes de 1º Matemáticas I: EXÁMENES SOLUCIONADOS C2 - INGLÉS

SOL-EXAMEN-2016-C2.pdf
SOL-EXAMEN-2017-C2.pdf
SOL-EXAMEN-2018-C2.pdf
SOL-EXAMEN-2019-C2.pdf
SOL-EXAMEN-2020-C2.pdf

examenes

-

EXÁMENES SOLUCIONADOS ÁLGEBRA - INGLÉS

He publicado nuevos examenes de 1º Matemáticas I: EXÁMENES SOLUCIONADOS ÁLGEBRA - INGLÉS

SOL-EXAMEN-2011-ALGEBRA.pdf
SOL-EXAMEN-2017-ALGEBRA.pdf
SOL-EXAMEN-2018-ALGEBRA.pdf
SOL-EXAMEN-2019-ALGEBRA.pdf
Anónimo

@Anónimo

He publicado nuevos apuntes de 1º Matemáticas I: 8.-Series.pdf

35 páginas
Anónimo

@Anónimo

He publicado nuevos apuntes de 1º Matemáticas I: 13.-Aplicaciones-Fisicas.pdf

7 páginas
Anónimo

@Anónimo

He publicado nuevos apuntes de 1º Matemáticas I: 10.-Integrales-Parametricas.pdf

3 páginas
Anónimo

@Anónimo

He publicado nuevos apuntes de 1º Matemáticas I: 12.-Integracion-Superior.pdf

20 páginas
Anónimo

@Anónimo

He publicado nuevos apuntes de 1º Matemáticas I: 11.-Integral-Curvilinea.pdf

27 páginas
Anónimo

@Anónimo

He publicado nuevos apuntes de 1º Matemáticas I: 9.-Funciones-De-Varias-Variables.pdf

36 páginas
Anónimo

@Anónimo

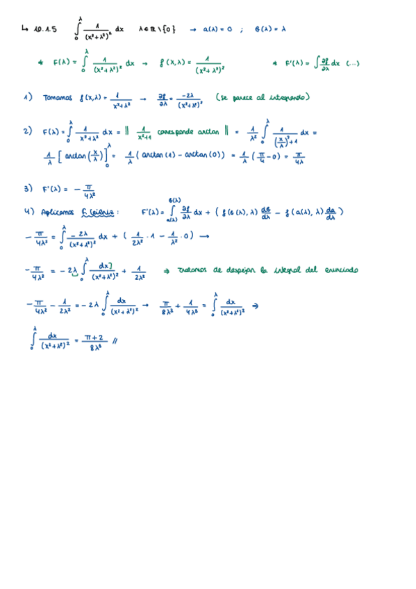
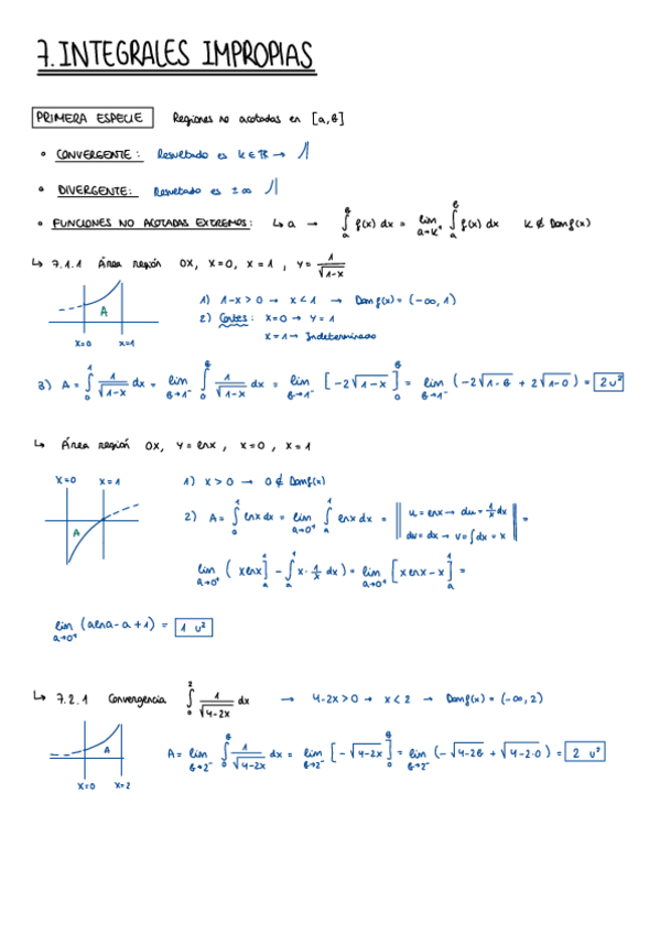
He publicado nuevos apuntes de 1º Matemáticas I: 7.-Integrales-Impropias-y-ejercicios.pdf

4 páginas
Anónimo

@Anónimo

He publicado nuevos apuntes de 1º Matemáticas I: 5.-Aplicaciones-Integral-Definida-y-ejercicios.pdf

23 páginas
Anónimo

@Anónimo

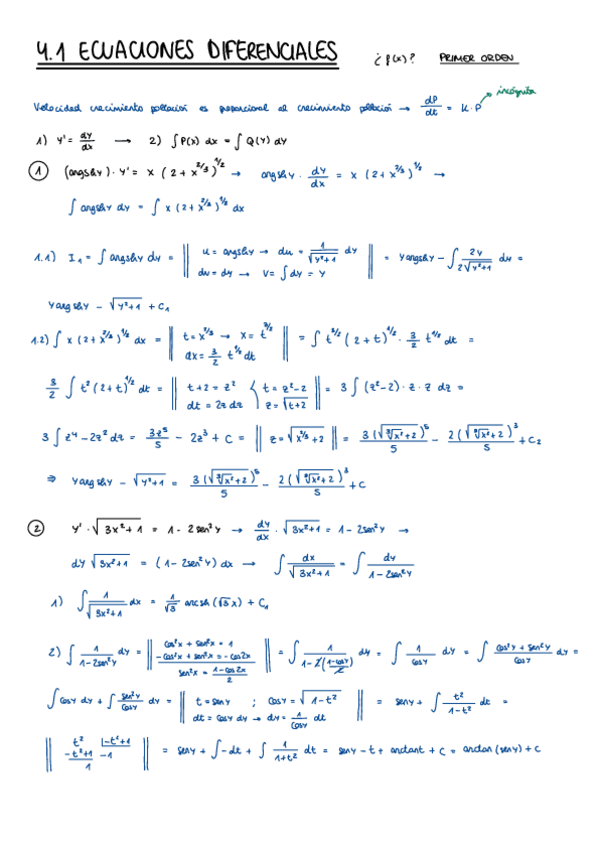
He publicado nuevos apuntes de 1º Matemáticas I: 4.1-Ecuaciones-Diferenciales-y-ejercicios.pdf

2 páginas
Anónimo

@Anónimo

He publicado nuevos apuntes de 1º Matemáticas I: 4.-Calculo-De-Primitivas-y-ejercicios.pdf

26 páginas
Anónimo

@Anónimo

He publicado nuevos apuntes de 1º Matemáticas I: 3.-Metodos-Computacionales-y-ejercicios.pdf

2 páginas
Anónimo

@Anónimo

He publicado nuevos apuntes de 1º Matemáticas I: 2.-Numeros-Complejos-y-ejercicios.pdf

14 páginas
Anónimo

@Anónimo

He publicado nuevos apuntes de 1º Matemáticas I: 1.-Funciones-Reales-y-ejercicios.pdf

14 páginas

He publicado nuevos apuntes de 1º Matemáticas I: TeoriaEjemplos-2-Parcial-3-4.pdf

29 páginas

He publicado nuevos apuntes de 1º Matemáticas I: TeoriaEjercicios-Series.pdf

22 páginas

He publicado nuevos apuntes de 1º Matemáticas I: Teoriaejemplos-1-parcial-3-4.pdf

21 páginas
Anónimo

@Anónimo

apuntes

-

álgebra

He publicado nuevos apuntes de 1º Matemáticas I: álgebra

1.-Sistemas-Lineales.pdf
2.-Matrices.pdf
3.-Determinantes.pdf
4.-Espacios-Vectoriales.pdf
5.-Espacio-Vectorial-Euclideo.pdf
6.-Aplicaciones-Lineales.pdf

examenes

-

Exámenes Álgebra Lineal

He publicado nuevos examenes de 1º Matemáticas I: Exámenes Álgebra Lineal

Ejercicios-Algebra-Electronicos.pdf
Algebra-20213.pdf
Examen-Algebra-Aeroespaciales-20112012.pdf
Algebra201516.pdf
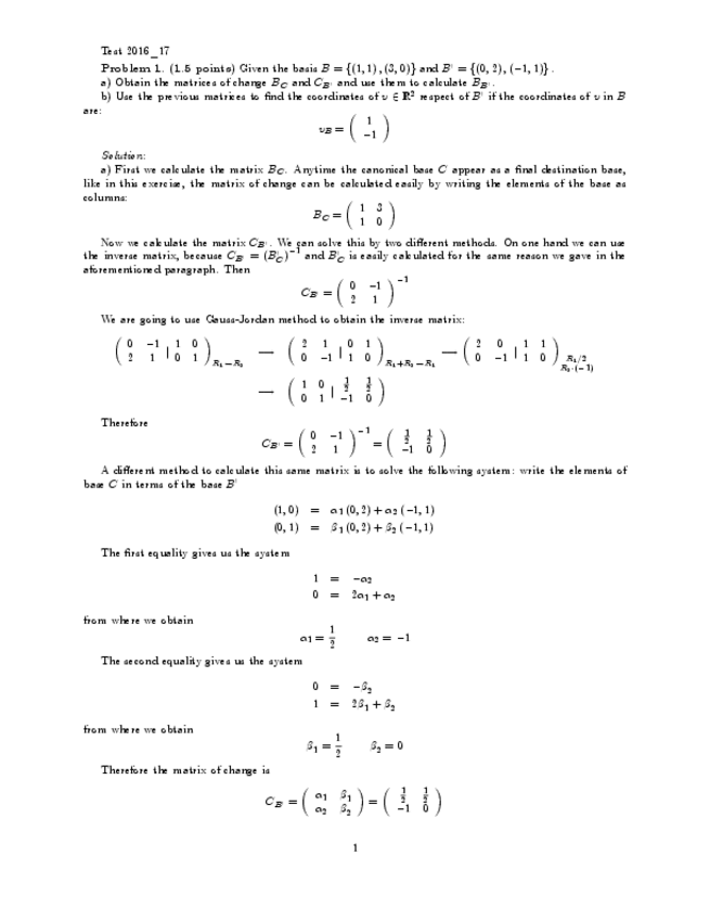
Algebra201617.pdf

He publicado nuevos apuntes de 1º Matemáticas I: ResumenFormulario-Calculo-2-3ºParcial.pdf

7 páginas

He publicado nuevos apuntes de 1º Matemáticas I: Resumen-Series-4ºParcial.pdf

2 páginas

apuntes

-

Prácticas 2022/23

He publicado nuevos apuntes de 1º Matemáticas I: Prácticas 2022/23

Miniatura no disponible
1oprueba.nb
Miniatura no disponible
S27CaballeroG811.nb
Miniatura no disponible
S26CaballeroG811.nb
Miniatura no disponible
S25CaballeroG811.nb
Miniatura no disponible
S24CaballeroG811.nb
Miniatura no disponible
S23CaballeroG811.nb

apuntes

-

Algebra

He publicado nuevos apuntes de 1º Matemáticas I: Algebra

Image-and-Kernel.pdf
Row-Echelon-Form.pdf

He publicado nuevos apuntes de 1º Matemáticas I: Apuntes-Puch-Tema-5.pdf

3 páginas

He publicado nuevos apuntes de 1º Matemáticas I: C2-y-series.pdf

10 páginas

He publicado nuevos apuntes de 1º Matemáticas I: Apuntes-Algebra.pdf

10 páginas

He publicado nuevos ejercicios de 1º Matemáticas I: EJERCICIOS-ALGEBRA.pdf

57 páginas

Al final del documento hay una hoja con cositas clave que a mi me ayudaron

7 páginas

He publicado nuevos examenes de 1º Matemáticas I: EXAMEN-C3-2019.pdf

3 páginas

He publicado nuevos examenes de 1º Matemáticas I: EXAMEN-C2-2016-SEGUNDA-PARTE.pdf

6 páginas

He publicado nuevos examenes de 1º Matemáticas I: EXAMEN-C2-2014.pdf

3 páginas

He publicado nuevos examenes de 1º Matemáticas I: EXAMEN-C2-2012.pdf

3 páginas

He publicado nuevos examenes de 1º Matemáticas I: EXAMEN-C2-2016.pdf

3 páginas

ejercicios

-

Amaro's Solved Integrals (CALC 1)

He publicado nuevos ejercicios de 1º Matemáticas I: Amaro's Solved Integrals (CALC 1)

Amaros-Solved-Integrals-Ejs-3-25.pdf
Anónimo

@Anónimo

ejercicios

-

Las 129 Integrales de Amaro

He publicado nuevos ejercicios de 1º Matemáticas I: Las 129 Integrales de Amaro

129-Integrales.pdf
Miniatura no disponible
README.txt

He publicado nuevos examenes de 1º Matemáticas I: ENUNCIADOS-EXAMEN-MATHEMATICA-1.pdf

5 páginas

He publicado nuevos apuntes de 1º Matemáticas I: Tema-1-Resumen.pdf

2 páginas

apuntes

-

Apuntes Matemáticas I

He publicado nuevos apuntes de 1º Matemáticas I: Apuntes Matemáticas I

Tema10Integral-Curvilinea.pdf
Tema9Funciones-de-varias-variables.pdf
Tema5Integrales-definidas-e-impropias.pdf
Tema4Calculo-de-Primitivas.pdf

He publicado nuevos ejercicios de 1º Matemáticas I: Ejercicios para examen C1.pdf

9 páginas

He publicado nuevos ejercicios de 1º Matemáticas I: Ex.55-59T9.pdf

2 páginas