chevron_left
chevron_right
Todo
Apuntes
Ejercicios
Exámenes
Test
chevron_left
chevron_right

He publicado nuevos apuntes de 1º Matemáticas I: Formulario-parcial-2.pdf

3 páginas

He publicado nuevos apuntes de 1º Matemáticas I: Funciones-limites-y-continuidad-mates-I.pdf

2 páginas

ejercicios

-

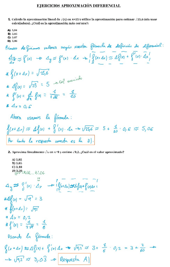
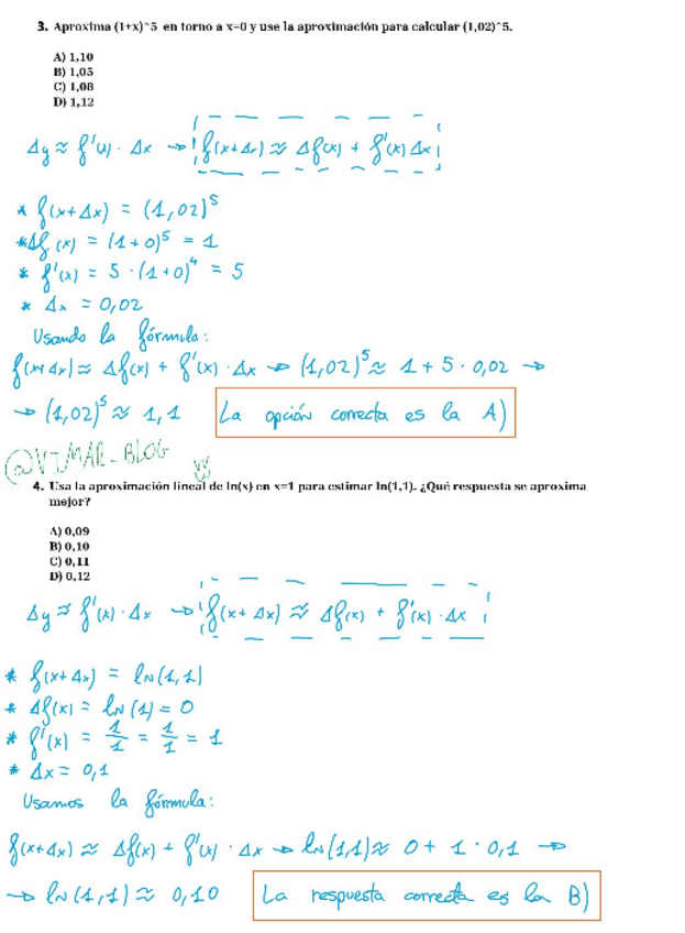
EJERCICIOS APROXIMACIÓN DIFERENCIAL

7 Ejercicios resueltos para practicar el uso de difereciales en la aproximación

ENUNCIADOS.pdf
Resultados1-2.pdf
Resultados3-4.pdf
Resultados5-6.pdf
Resultado7.pdf

examenes

-

Control 1 Mates 1

Enunciados y respuestas 1er control mates 1, del año 2025/2026 (de primer año, claro)

RESPUESTAS.pdf
Enunciados-4-y-5.pdf
Enunciados-1-3.pdf

examenes

-

Exámenes curso 24/25

He publicado nuevos examenes de 1º Matemáticas I: Exámenes curso 24/25

1P-2024-resuelto.pdf
2P-2025-resuelto.pdf
Control-1-2024-resuelto.pdf
Control-2-2024-resuelto.pdf
Recu-1P-2025-resuelto.pdf
Recu-2P-2025-resuelto.pdf

He publicado nuevos apuntes de 1º Matemáticas I: Apuntes-segundo-parcial.pdf

12 páginas

He publicado nuevos apuntes de 1º Matemáticas I: Apuntes-primer-parcial.pdf

9 páginas
Anónimo

@Anónimo

He publicado nuevos ejercicios de 1º Matemáticas I: Problemas-de-Examen-y-su-SOLUCION.pdf

9 páginas
Anónimo

@Anónimo

apuntes

-

APUNTES DE LOS TEMAS

He publicado nuevos apuntes de 1º Matemáticas I: APUNTES DE LOS TEMAS

Unidad-5.pdf
Unidad-4.pdf
Unidad-2.pdf

Las respuestas encercladas están bien

5 páginas

He publicado nuevos examenes de 1º Matemáticas I: 1oParcial-2022.pdf

5 páginas
Anónimo

@Anónimo

examenes

-

Parciales

He publicado nuevos examenes de 1º Matemáticas I: Parciales

Examen-2019-mat-I-parcial.pdf
Examen-2021-mat-I-sol.pdf
respuestas.pdf
respuestascontrol1.pdf
respuestascontrol2.pdf
respuestas-parcial1.pdf

He publicado nuevos examenes de 1º Matemáticas I: Segundo-Parcial-2024.pdf

6 páginas
Anónimo

@Anónimo

He publicado nuevos examenes de 1º Matemáticas I: Respuestas-Segundo-Parcial-2024.pdf

10 páginas
Anónimo

@Anónimo

He publicado nuevos examenes de 1º Matemáticas I: Respuestas-Primer-Parcial-2023.pdf

9 páginas

He publicado nuevos examenes de 1º Matemáticas I: Primer-Parcial-2023.pdf

5 páginas
Anónimo

@Anónimo

He publicado nuevos examenes de 1º Matemáticas I: Respuestas-Control-2-2023.pdf

3 páginas

He publicado nuevos examenes de 1º Matemáticas I: Control-2-2023.pdf

1 página
Anónimo

@Anónimo

He publicado nuevos examenes de 1º Matemáticas I: Respuestas-Control-1-2023.pdf

3 páginas

He publicado nuevos examenes de 1º Matemáticas I: Control-1-2023.pdf

1 página

apuntes

-

Apuntes y problemas todo el curso

He publicado nuevos apuntes de 1º Matemáticas I: Apuntes y problemas todo el curso

Problemas-4.pdf
Problemas.pdf
Problemas-2.pdf
Problemas-5.pdf
Problemas-3.pdf
Tema-33-35-42.pdf

apuntes

-

Apuntes clase mates 1

He publicado nuevos apuntes de 1º Matemáticas I: Apuntes clase mates 1

Sucesiones-y-series-.pdf
El-logaritmo-natural.pdf
Continuidad.pdf
Funciones.pdf
Funciones-de-mas-de-dos-variables-.pdf
Limites-.pdf
Anónimo

@Anónimo

examenes

-

test matemáticas I

He publicado nuevos examenes de 1º Matemáticas I: test matemáticas I

wuolah-free-IMG-20161025-WA0028.jpg
wuolah-free-IMG-20161025-WA0026.jpg
wuolah-free-IMG-20161025-WA0031.jpg
wuolah-free-IMG-20161025-WA0085-1.jpg
wuolah-free-IMG-20161025-WA0087.jpg
wuolah-free-IMG-20161025-WA0085.jpg
Anónimo

@Anónimo

He publicado nuevos apuntes de 1º Matemáticas I: segundo-parcial-matematicas.pdf

52 páginas
Anónimo

@Anónimo

ejercicios

-

Ejercicios con solución (GIB)

He publicado nuevos ejercicios de 1º Matemáticas I: Ejercicios con solución (GIB)

Sesion-4-GIB-2018-2019.pdf
Sesion-5-GIB-2018-2019.pdf
Sesion-9-GIB-2018-2019.pdf
Sesion-8-GIB-2018-2019.pdf
Sesion-6-GIB-2018-2019.pdf
Sesion-3-GIB-2018-2019.pdf
Anónimo

@Anónimo

examenes

-

Exámenes con solución (GIB)

He publicado nuevos examenes de 1º Matemáticas I: Exámenes con solución (GIB)

ResParcial2BGIB-17.pdf
ResParcial2aGIB-16.pdf
ResParcial1AGIB-16.pdf
ResParcial2aGIB-17.pdf
ResParcial1BGIB-17.pdf
ResParcial1AGIB-17.pdf
Anónimo

@Anónimo

test

-

Test Mates I. 1er Parcial

Varios test del primer parcial (desordenados), pero que sirven para practicar y tener una idea de cómo son. Ignorar las respuestas marcadas porque no siempre son las correctas.

IMG-20161025-WA0026.jpg
IMG-20161025-WA0028.jpg
IMG-20161025-WA0031.jpg
IMG-20161025-WA0085.jpg
IMG-20161025-WA0086.jpg
IMG-20161025-WA0087.jpg
¡Estás al día!

¡Estás al día!

Has visto todos los archivos