chevron_left
chevron_right
Todo
Apuntes
Ejercicios
Exámenes
chevron_left
chevron_right

Apuntes esenciakes primer cuatrimestre mates I

8 páginas

He publicado nuevos apuntes de 1º Matemáticas I: Examen-de-Practica-Metodos-Matematicos-II-3.pdf

2 páginas

He publicado nuevos apuntes de 1º Matemáticas I: CalculoNumericoMetodosEsenciales-3.pdf

15 páginas

He publicado nuevos apuntes de 1º Matemáticas I: Matematicas-1.pdf

10 páginas

apuntes

-

Examen practica matemáticas

He publicado nuevos apuntes de 1º Matemáticas I: Examen practica matemáticas

Examen-practica-matematicas.pdf
Segundoexamenpracticas.pdf
APUNTES-practica-67.docx
Apuntes-PRACTICAS-MATEMATICAS.docx

He publicado nuevos apuntes de 1º Matemáticas I: Mates-1a-parte.pdf

25 páginas

apuntes

-

apuntes 2 cuatrimestre

He publicado nuevos apuntes de 1º Matemáticas I: apuntes 2 cuatrimestre

WhatsApp-Image-2024-06-17-at-17.41.30.jpeg
WhatsApp-Image-2024-06-17-at-17.41.34.jpeg
WhatsApp-Image-2024-06-17-at-17.41.35-1.jpeg
WhatsApp-Image-2024-06-17-at-17.41.35-2.jpeg
WhatsApp-Image-2024-06-17-at-17.41.35-3.jpeg
WhatsApp-Image-2024-06-17-at-17.41.35-4.jpeg
Anónimo

@Anónimo

He publicado nuevos examenes de 1º Matemáticas I: ExamenMatematicasI-5.pdf

2 páginas
Anónimo

@Anónimo

He publicado nuevos examenes de 1º Matemáticas I: ExamenMatematicasI-2022.pdf

1 página
Anónimo

@Anónimo

He publicado nuevos examenes de 1º Matemáticas I: ExamenMatematicasI-4.pdf

1 página
Anónimo

@Anónimo

He publicado nuevos examenes de 1º Matemáticas I: ExamenMatematicasI-2.pdf

1 página
Anónimo

@Anónimo

He publicado nuevos examenes de 1º Matemáticas I: ExamenMatematicasI-1.pdf

1 página

He publicado nuevos examenes de 1º Matemáticas I: Junio-2022.pdf

2 páginas

He publicado nuevos examenes de 1º Matemáticas I: Diciembre-2021.pdf

1 página
Anónimo

@Anónimo

He publicado nuevos apuntes de 1º Matemáticas I: Tema-2.pdf

22 páginas

apuntes

-

Matemáticas 1

He publicado nuevos apuntes de 1º Matemáticas I: Matemáticas 1

Curvas-y-Superficies.pdf
Matematicas-l.pdf

He publicado nuevos apuntes de 1º Matemáticas I: Repaso-Integrales.pdf

4 páginas
Anónimo

@Anónimo

He publicado nuevos apuntes de 1º Matemáticas I: Tema-1.pdf

19 páginas

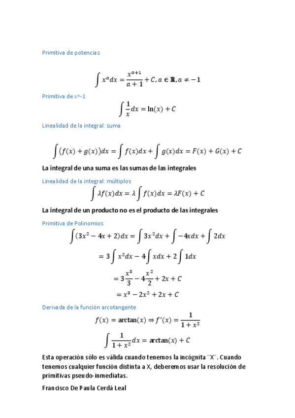
He publicado nuevos apuntes de 1º Matemáticas I: Primitivas.pdf

17 páginas
Anónimo

@Anónimo

He publicado nuevos apuntes de 1º Matemáticas I: Apuntes.pdf

20 páginas
Anónimo

@Anónimo

examenes

-

Examenes

He publicado nuevos examenes de 1º Matemáticas I: Examenes

examenmates.jpg
WhatsApp-Image-2018-12-14-at-12.jpg

apuntes

-

2 parcial

He publicado nuevos apuntes de 1º Matemáticas I: 2 parcial

WhatsApp-Image-2019-06-08-at-1314033.jpeg
WhatsApp-Image-2019-06-08-at-1314034.jpeg
WhatsApp-Image-2019-06-08-at-1314036.jpeg
WhatsApp-Image-2019-06-08-at-1314035.jpeg
WhatsApp-Image-2019-06-08-at-131403.jpeg

apuntes

-



He publicado nuevos apuntes de 1º Matemáticas I: 

Integrales_una_reducidofebrero2013_vers2.pdf
Tema_4_ dif_fun_var_16_17_corto.pdf
Integrales varias variables_16-17.pdf
Tema1curso15_16.pdf
Tema2_Mec_16_17.pdf
Tema_6_Curvas_integrales de linea vectoriales_17_18_PLANO.pdf

ejercicios

-

Ejercicios

He publicado nuevos ejercicios de 1º Matemáticas I: Ejercicios

Ejercicios_Dominios.pdf
EjerciciosComplementariosIntegracionMultiple.pdf
EjerciciosIntegrales.pdf
Ejerciciosvariasvariables.pdf
Ejercicios_complementarios_curvas_sup_iteradas.pdf
Ejercicios_limites.pdf
¡Estás al día!

¡Estás al día!

Has visto todos los archivos