chevron_left
chevron_right
Todo
Apuntes
Ejercicios
Exámenes
Prácticas
Test
chevron_left
chevron_right

apuntes

-

TEMAS RESUMIDOS

He publicado nuevos apuntes de 1º Matemáticas I: TEMAS RESUMIDOS

T1-FUNCIONES-Y-GRAFICAS.pdf
T2-POLINOMIOS-DE-TAYLOR.pdf
T3-ECUACIONES-DIFERENCIALES-PRIMER-ORDEN.pdf
T4-APLICACIONES-DE-INTEGRAL.pdf
T5-CURVAS.pdf

He publicado nuevos ejercicios de 1º Matemáticas I: Ejercicios-de-base.pdf

4 páginas

He publicado nuevos practicas de 1º Matemáticas I: EXAMEN-PRACTICAS-FORMULAS.pdf

2 páginas

He publicado nuevos ejercicios de 1º Matemáticas I: EJERCICIOS-2o-PARCIAL.pdf

54 páginas

He publicado nuevos ejercicios de 1º Matemáticas I: EJERCICIOS-1o-PARCIAL.pdf

31 páginas

He publicado nuevos examenes de 1º Matemáticas I: EJERCICIO-OPTIMIZACION-EXAMEN-2025-26.png

Imagen

apuntes

-

PRÁCTICAS MATEMÁTICAS I

EJERCICIOS EVALUABLES DE PRÁCTICAS DE MAPLE 1-8

PRACTICA-1.pdf
PRACTICA-2.pdf
PRACTICA-3.pdf
PRACTICA-4.pdf
PRACTICA-5.pdf
PRACTICA-6.pdf

apuntes

-

APUNTES

He publicado nuevos apuntes de 1º Matemáticas I: APUNTES

ECUACIONES-DIFERENCIALES-RESUMEN-TEMA-6-7-Y-8.pdf
NUMERO-COMPLEJO-Y-COORDENADAS-POLARES.pdf
DOMINIO-Y-REPRESENTACION-GRAFICA-DE-FUNCIONES-DE-VARIAS-VARIABLES.pdf
CURVS-DE-NIVEL.pdf
OPTIMIZACION-DE-FUNCIONES-CON-VARIAS-VARIABLES.pdf

examenes

-

EXÁMENES CON SOLUCIONES

He publicado nuevos examenes de 1º Matemáticas I: EXÁMENES CON SOLUCIONES

EXAMEN-CONVOCATORIA-622015.png
CORRECCION-EXAMEN-COVOCATORIA-622015.pdf
EXAMEN-11122017.pdf
EXAMEN-11122017.png

examenes

-

Practica 2 Mates I CON ANOTACIONES

He publicado nuevos examenes de 1º Matemáticas I: Practica 2 Mates I CON ANOTACIONES

1.pdf
2.pdf
3.pdf
4.pdf
5.pdf
6.pdf

examenes

-

Practicas I Mates I CON ANOTACIONES

Aprende a utilizar Maple V sin ser un tirao, es fácil. iré subiendo las demás practicas...

1.pdf
2.pdf
3.pdf
4.pdf
5.pdf
6.pdf

He publicado nuevos apuntes de 1º Matemáticas I: Examenes-2025.pdf

3 páginas

He publicado nuevos apuntes de 1º Matemáticas I: Tema-7-ejercicio-resueltos.pdf

17 páginas

He publicado nuevos apuntes de 1º Matemáticas I: Tema-8-ejercicios-resueltos.pdf

16 páginas

resumen que lleve al examen

2 páginas

He publicado nuevos apuntes de 1º Matemáticas I: segundo-parcial-mates-I.pdf

23 páginas

apuntes

-

PRIMER PARCIAL MATES I

He publicado nuevos apuntes de 1º Matemáticas I: PRIMER PARCIAL MATES I

primerparcialmatesI.pdf

apuntes

-

temas 5-8 (2 parcial)

He publicado nuevos apuntes de 1º Matemáticas I: temas 5-8 (2 parcial)

tema-5-8-2-parcial.pdf

apuntes

-

tema 1-4 (1 parcial)

He publicado nuevos apuntes de 1º Matemáticas I: tema 1-4 (1 parcial)

tema-1-4-1-parcial.pdf

apuntes

-

temas 5-8 (2º parcial)

He publicado nuevos apuntes de 1º Matemáticas I: temas 5-8 (2º parcial)

Relacion-de-Problemas-Tema-8-Aplicaciones-de-las-ecuaciones-diferenciales.pdf
Relacion-de-Problemas-Tema-7-Ecuaciones-diferenciales-lineales.pdf
Relacion-de-Problemas-Tema-6-Introduccion-a-las-ecuaciones-diferenciales.pdf
Relacion-de-Problemas-Tema-5-Calculo-integral.pdf
Miniatura no disponible
IMG9553.heic
Miniatura no disponible
IMG9552.HEIC

apuntes

-

temas 1-4 (1º parcial))

He publicado nuevos apuntes de 1º Matemáticas I: temas 1-4 (1º parcial))

Relacion-de-Problemas-Tema-4-Aplicaciones-del-calculo-diferencial.pdf
Relacion-de-Problemas-Tema-3-Calculo-diferencial.pdf
Relacion-de-Problemas-Tema-2-Funciones.pdf
Relacion-de-Problemas-Tema-1-Los-numeros-reales.pdf
Miniatura no disponible
IMG9518.heic
Miniatura no disponible
IMG9517.HEIC

ejercicios

-

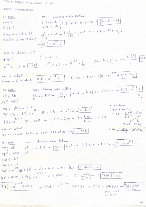
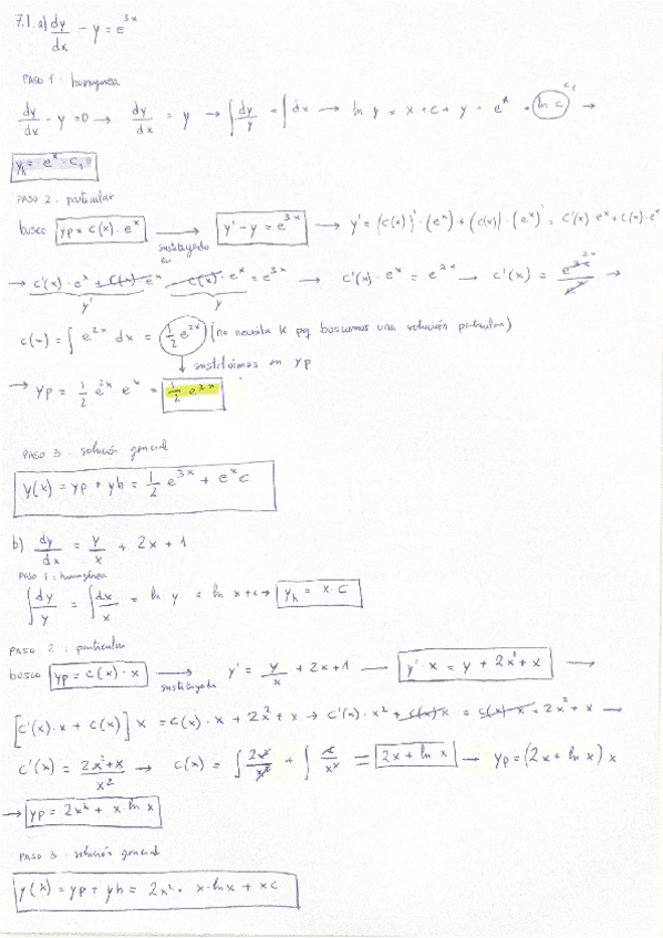
EJERCICIOS RESUELTOS TEMA 7, 8 SEGUNDO PARCIAL MATEMÁTICAS I SEGUNDA PARTE

He publicado nuevos ejercicios de 1º Matemáticas I: EJERCICIOS RESUELTOS TEMA 7, 8 SEGUNDO PARCIAL MATEMÁTICAS I SEGUNDA PARTE

IMG-20250120-WA0051.jpg
IMG-20250120-WA0052.jpg
IMG-20250120-WA0053.jpg
IMG-20250120-WA0054.jpg
IMG-20250120-WA0055.jpg
IMG-20250120-WA0056.jpg

ejercicios

-

EJERCICIOS RESUELTOS TEMA 7, 8 SEGUNDO PARCIAL MATEMÁTICAS I

He publicado nuevos ejercicios de 1º Matemáticas I: EJERCICIOS RESUELTOS TEMA 7, 8 SEGUNDO PARCIAL MATEMÁTICAS I

IMG-20250120-WA0001.jpg
IMG-20250120-WA0002.jpg
IMG-20250120-WA0003.jpg
IMG-20250120-WA0004.jpg
IMG-20250120-WA0005.jpg
IMG-20250120-WA0006.jpg