Todo
Apuntes
Ejercicios
Exámenes
chevron_left
chevron_right

Apuntes de la parte de Cálculo de Matemáticas I COMPLETO. Grado en Matemática Computacional UJI.

8 páginas

Apuntes de la parte de álgebra de Matemáticas I. Grado en Matemática Computacional UJI.

9 páginas

examenes

-

Exámenes años anteriores

He publicado nuevos examenes de 1º Matemáticas I: Exámenes años anteriores

2018-Final-Enero.pdf
MATEMATICAS-I-enero-2019.pdf
Parcial-201718.pdf
Enero-2015.pdf

He publicado nuevos apuntes de 1º Matemáticas I: Mates-I-definiciones-Espacios-Vectoriales.pdf

5 páginas

He publicado nuevos apuntes de 1º Matemáticas I: Entregable-2-2017.pdf

1 página

He publicado nuevos apuntes de 1º Matemáticas I: Entregable-1-2017.pdf

1 página

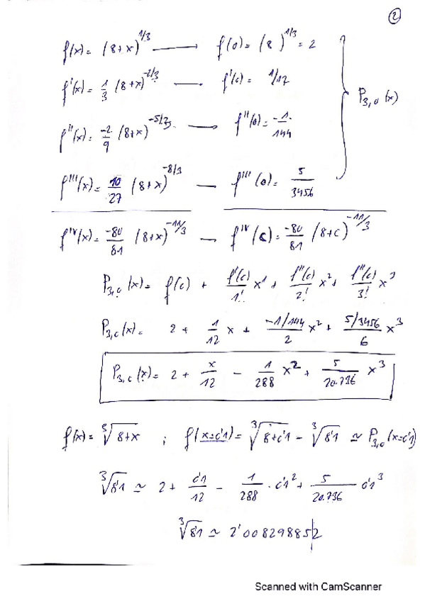
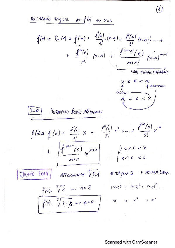
He publicado nuevos ejercicios de 1º Matemáticas I: Problemas-Taylor.pdf

8 páginas

He publicado nuevos examenes de 1º Matemáticas I: solucionenero2020.pdf

18 páginas

He publicado nuevos examenes de 1º Matemáticas I: prueba-seminario.pdf

1 página

apuntes

-

Apuntes Matemáticas I

He publicado nuevos apuntes de 1º Matemáticas I: Apuntes Matemáticas I

Apuntes-pg1.pdf
Apuntes-pg2.pdf
Apuntes-pg3.pdf
Apuntes-pg4.pdf

He publicado nuevos apuntes de 1º Matemáticas I: MATEMATICAS-I-enero-2019.pdf

1 página
¡Estás al día!

¡Estás al día!

Has visto todos los archivos