chevron_left
chevron_right
Todo
Apuntes
Ejercicios
Exámenes
chevron_left
chevron_right

Apuntes de cálculo diferencial en varias variables.

7 páginas

examenes

-

Examen solucionado enero 2013 Matemáticas I

He publicado nuevos examenes de 1º Matemáticas I: Examen solucionado enero 2013 Matemáticas I

Examen-solucionado-enero-2013-Matematicas-I-pag-1.jpg
Examen-solucionado-enero-2013-Matematicas-I-pag-2.jpg
Examen-solucionado-enero-2013-Matematicas-I-pag-3.jpg
Examen-solucionado-enero-2013-Matematicas-I-pag-4.jpg

examenes

-

Examen solucionado enero 2022 Matemáticas I (GIF)

He publicado nuevos examenes de 1º Matemáticas I: Examen solucionado enero 2022 Matemáticas I (GIF)

Examen-solucionado-enero-2022-Matematicas-I-GIF-pag-1.jpg
Examen-solucionado-enero-2022-Matematicas-I-GIF-pag-2.jpg
Examen-solucionado-enero-2022-Matematicas-I-GIF-pag-3.jpg

Ejercicios de Matemáticas I.

3 páginas

Ejercicios de Matemáticas I.

3 páginas

Ejercicios de Matemáticas I.

2 páginas

Ejercicios de Matemáticas I.

Imagen

Ejercicios de Matemáticas I.

2 páginas

Ejercicios de Matemáticas I.

3 páginas

Ejercicios de Matemáticas I.

2 páginas

Tercer parcial resuelto de Matemáticas I de 2025.

2 páginas

Segundo parcial resuelto de 2025 de Matemáticas I.

5 páginas

Primer parcial resuelto de Matemáticas I de 2025.

3 páginas

Examen de la convocatoria de junio de 2025 de Matemáticas I de GITA.

1 página

Examen de 2023 de Matemáticas I de Forestales.

1 página

He publicado nuevos examenes de 1º Matemáticas I: Examen-junio-2025-Matematicas-I-GITA.jpg

Imagen
Anónimo

@Anónimo

Presentación con teoremas y conceptos básicos de mates I.

14 páginas

He publicado nuevos examenes de 1º Matemáticas I: Examen-diciembre-2021-Matematicas-I-GIF.jpg

Imagen

He publicado nuevos ejercicios de 1º Matemáticas I: Ejercicios-parcial-1-y-2-mates.pdf

3 páginas

He publicado nuevos ejercicios de 1º Matemáticas I: mates-ejercicios-todo-el-temario.pdf

5 páginas

He publicado nuevos examenes de 1º Matemáticas I: Examen-enero-2024-Matematicas-I-GIMN.jpg

Imagen

He publicado nuevos examenes de 1º Matemáticas I: Examen-diciembre-2022-Matematicas-I-GIF.jpg

Imagen

He publicado nuevos examenes de 1º Matemáticas I: Examen-diciembre-2023-Matematicas-I-GIF.jpg

Imagen

He publicado nuevos examenes de 1º Matemáticas I: Examen-diciembre-2023-Matematicas-I-GIMN.jpg

Imagen

He publicado nuevos examenes de 1º Matemáticas I: Examen-enero-2023-Matematicas-I-GIF.jpg

Imagen

He publicado nuevos examenes de 1º Matemáticas I: Global-Enero-2025-resuelto.pdf

4 páginas

He publicado nuevos ejercicios de 1º Matemáticas I: Optimizacion-problemas-resueltos-de-examen.pdf

4 páginas

Examen resuelto mates 2 parcial 2025 y ejercicios parecidos de ese temario

5 páginas

He publicado nuevos examenes de 1º Matemáticas I: Parcial-resuelto-Octubre-2025.pdf

3 páginas

He publicado nuevos examenes de 1º Matemáticas I: Examen-enero-2025-Matematicas-I.pdf

1 página

He publicado nuevos examenes de 1º Matemáticas I: Examen-diciembre-2024-Matematicas-I.pdf

1 página

He publicado nuevos examenes de 1º Matemáticas I: Examen-resuelto-parcial-noviembre-2025.pdf

3 páginas

He publicado nuevos examenes de 1º Matemáticas I: Solucion-tercer-parcial-Matematicas-I.Solucion-tercer-parcial

Miniatura no disponible

He publicado nuevos examenes de 1º Matemáticas I: Solucion-primer-parcial-Matematicas-I.Solucion-primer-parcial

Miniatura no disponible

He publicado nuevos examenes de 1º Matemáticas I: Solucion-segundo-parcial-Matematicas-I.Solucion-segundo-parcial

Miniatura no disponible

He publicado nuevos apuntes de 1º Matemáticas I: Teoria-Matematicas-I.pdf

6 páginas

He publicado nuevos examenes de 1º Matemáticas I: Mates-primer-parcial-resuelto-y-mas-ejercicios.pdf

4 páginas

He publicado nuevos examenes de 1º Matemáticas I: examen-solucionado-Diciembre2025.pdf

2 páginas

He publicado nuevos apuntes de 1º Matemáticas I: Derivadas-e-Integrales-Directas-Resumen.pdf

2 páginas

He publicado nuevos apuntes de 1º Matemáticas I: Limites-y-Continuidad-Resumen.pdf

2 páginas

He publicado nuevos apuntes de 1º Matemáticas I: Integración con ejercicios resueltos.pdf

18 páginas

He publicado nuevos examenes de 1º Matemáticas I: Primer-parcial-2025.pdf

4 páginas

He publicado nuevos apuntes de 1º Matemáticas I: Tema-Integrales.pdf

15 páginas

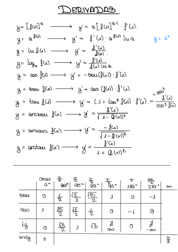
He publicado nuevos apuntes de 1º Matemáticas I: Derivadas-y-tabla-trigonometria.pdf

1 página

He publicado nuevos ejercicios de 1º Matemáticas I: Ejercicios-derivacion.pdf

20 páginas
Anónimo

@Anónimo

He publicado nuevos ejercicios de 1º Matemáticas I: Ejercicios-integracion.pdf

23 páginas

He publicado nuevos ejercicios de 1º Matemáticas I: Integrales-mates.pdf

28 páginas

He publicado nuevos ejercicios de 1º Matemáticas I: ejerciciosTFCI.pdf

3 páginas

He publicado nuevos apuntes de 1º Matemáticas I: aplicacion-integracion.pdf

6 páginas

He publicado nuevos apuntes de 1º Matemáticas I: integr-impropias.pdf

3 páginas

He publicado nuevos apuntes de 1º Matemáticas I: TFCI.pdf

1 página

He publicado nuevos apuntes de 1º Matemáticas I: MATES I - parte 2.pdf

2 páginas

He publicado nuevos apuntes de 1º Matemáticas I: MATES I - parte 1 - resolucion ejercicios.pdf

5 páginas
Anónimo

@Anónimo

apuntes

-

Hojas de ejercicios

He publicado nuevos apuntes de 1º Matemáticas I: Hojas de ejercicios

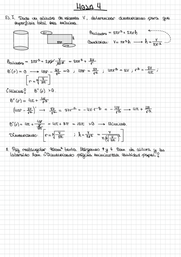
Hoja-01.pdf
Hoja-02.pdf
Hoja-03.pdf
Hoja-04.pdf
Anónimo

@Anónimo

examenes

-

Examenes mates 1

Examenes Mates 1

16-dic.pdf
ExFinalJULIO2021.pdf
exam-final-enero-2019.pdf
examat1GIFene18-B.pdf
examat1GIFjun18-B.pdf
examen-forestales-23juniomateIparte1.pdf

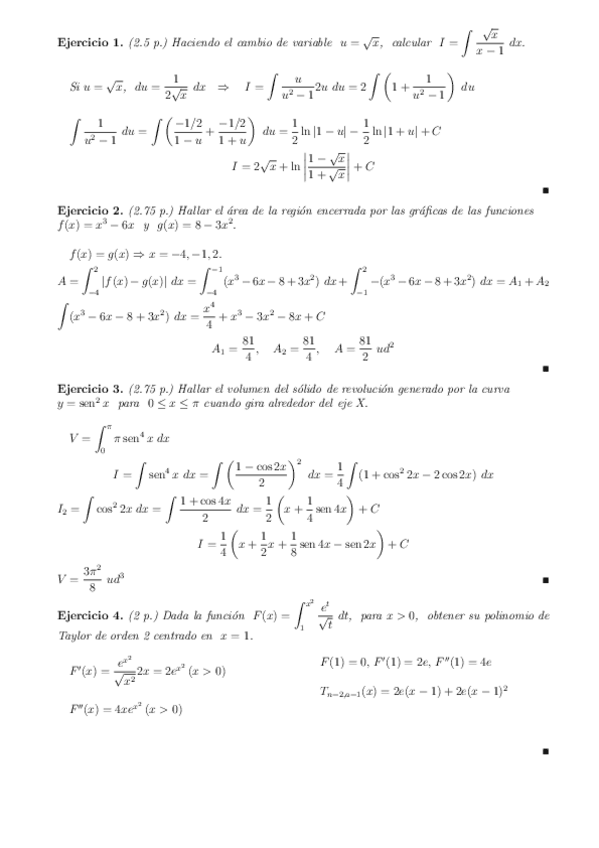
He publicado nuevos apuntes de 1º Matemáticas I: Examen Mates 1 Enero-2023.pdf

2 páginas

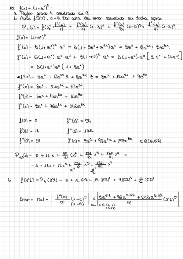
He publicado nuevos ejercicios de 1º Matemáticas I: AlgunosTaylor.pdf

5 páginas

He publicado nuevos apuntes de 1º Matemáticas I: Taylor.pdf

1 página

He publicado nuevos apuntes de 1º Matemáticas I: R-TeoriaDerivadas.pdf

1 página

He publicado nuevos apuntes de 1º Matemáticas I: Max-Min-Crec-Decrec.pdf

2 páginas