chevron_left
chevron_right
Todo
Apuntes
Ejercicios
Exámenes
chevron_left
chevron_right

Parte del 1º Parcial en el examen final de Matemáticas I resuelto, con los enunciados de todos los ejercicios encima de la respectiva solución.

3 páginas

1º Parcial resuelto del curso 2024/2025, estando los enunciados de los ejercicios encima de sus respectivas soluciones.

5 páginas

Ejercicio de cálculo, más precisamente de iteraciones con el Polinomio de Taylor, usando al sen(x) como ejemplo.

1 página

Resumen

1 página

Resumen

2 páginas

Resumen

4 páginas

Resumen

3 páginas

Resumen

2 páginas

Resumen

2 páginas

He publicado nuevos apuntes de 1º Matemáticas I: ejercicios-optimizacion.pdf

10 páginas

Resumen

3 páginas

Resumen

2 páginas

He publicado nuevos apuntes de 1º Matemáticas I: Ejerciciosmartesb75b28d2650f06f20ca113051caf8d3e.pdf

3 páginas

He publicado nuevos apuntes de 1º Matemáticas I: PROBLEMAS-CLASE-CALCULO.pdf

30 páginas

He publicado nuevos apuntes de 1º Matemáticas I: alg4.pdf

2 páginas

He publicado nuevos apuntes de 1º Matemáticas I: ejercal2.pdf

4 páginas

He publicado nuevos apuntes de 1º Matemáticas I: ejerimplicitas.pdf

3 páginas

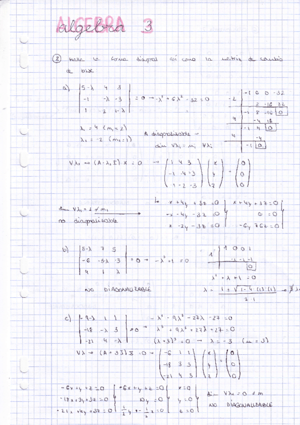
He publicado nuevos apuntes de 1º Matemáticas I: alg3.pdf

2 páginas

He publicado nuevos apuntes de 1º Matemáticas I: ExParcial1-1.pdf

8 páginas

He publicado nuevos apuntes de 1º Matemáticas I: alg2.pdf

8 páginas

He publicado nuevos apuntes de 1º Matemáticas I: examsept19.pdf

2 páginas

He publicado nuevos apuntes de 1º Matemáticas I: parcial-cal-B.pdf

1 página

He publicado nuevos apuntes de 1º Matemáticas I: parcial-alg-B.pdf

1 página

He publicado nuevos apuntes de 1º Matemáticas I: exam-feb-18.pdf

2 páginas

He publicado nuevos apuntes de 1º Matemáticas I: parcial-alg-A.pdf

1 página

He publicado nuevos apuntes de 1º Matemáticas I: parcial-2-a-16-17.pdf

1 página

He publicado nuevos apuntes de 1º Matemáticas I: exam-sept-17.pdf

2 páginas

He publicado nuevos apuntes de 1º Matemáticas I: examf-eb-17.pdf

3 páginas

He publicado nuevos apuntes de 1º Matemáticas I: examenparcial-1b-16.pdf

1 página

He publicado nuevos apuntes de 1º Matemáticas I: exam-feb-16.pdf

2 páginas

He publicado nuevos apuntes de 1º Matemáticas I: examenparcial-1a-16.pdf

1 página

He publicado nuevos apuntes de 1º Matemáticas I: Preentrega-Mates-I.pdf

4 páginas

He publicado nuevos apuntes de 1º Matemáticas I: parciales22.pdf

2 páginas

He publicado nuevos apuntes de 1º Matemáticas I: Repaso-Examen.pdf

13 páginas

He publicado nuevos apuntes de 1º Matemáticas I: Caculo-de-varias-variables.-Problemas-resumen..pdf

2 páginas

He publicado nuevos apuntes de 1º Matemáticas I: entrega1b.pdf

1 página

He publicado nuevos apuntes de 1º Matemáticas I: examjun19.pdf

2 páginas

He publicado nuevos apuntes de 1º Matemáticas I: Optimizacion-En-Varias-Variables.pdf

11 páginas

He publicado nuevos apuntes de 1º Matemáticas I: entrega1a.pdf

1 página

He publicado nuevos apuntes de 1º Matemáticas I: PROBLEMAS-CLASE-CALCULO.pdf

20 páginas

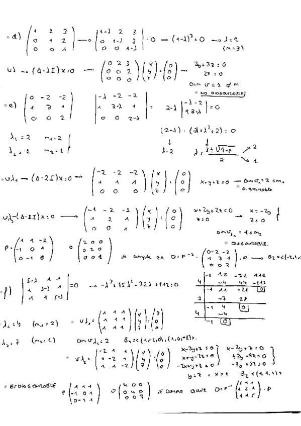
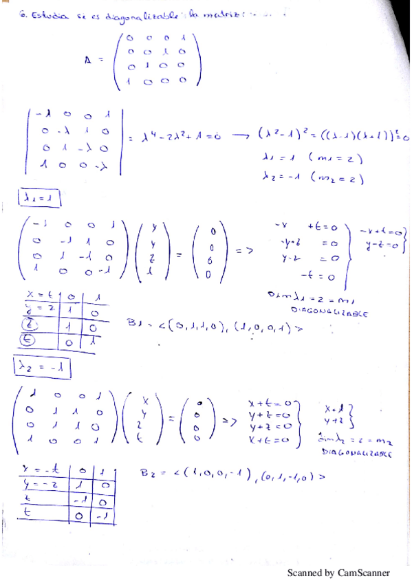
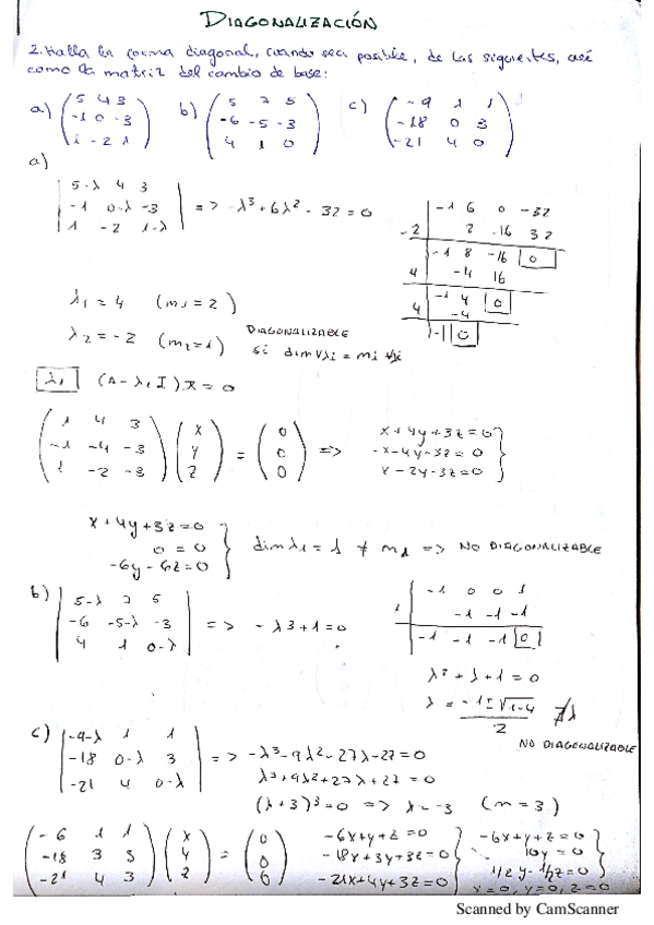
He publicado nuevos apuntes de 1º Matemáticas I: Diagonalizacion..pdf

8 páginas

He publicado nuevos apuntes de 1º Matemáticas I: Aplicaciones-lineales..pdf

14 páginas

He publicado nuevos apuntes de 1º Matemáticas I: El-espacio-vectorial-Rn..pdf

11 páginas
Anónimo

@Anónimo

He publicado nuevos apuntes de 1º Matemáticas I: PROBLEMAS-ALGEBRA8.pdf

9 páginas
Anónimo

@Anónimo

He publicado nuevos apuntes de 1º Matemáticas I: PROBLEMAS-ALGEBRA7.pdf

13 páginas
Anónimo

@Anónimo

He publicado nuevos apuntes de 1º Matemáticas I: PROBLEMAS-ALGEBRA6.pdf

12 páginas
Anónimo

@Anónimo

He publicado nuevos apuntes de 1º Matemáticas I: PROBLEMAS-ALGEBRA5.pdf

7 páginas
Anónimo

@Anónimo

He publicado nuevos apuntes de 1º Matemáticas I: PROBLEMAS-ALGEBRA4.pdf

12 páginas
Anónimo

@Anónimo

He publicado nuevos apuntes de 1º Matemáticas I: PROBLEMAS-ALGEBRA-3.pdf

12 páginas
Anónimo

@Anónimo

He publicado nuevos apuntes de 1º Matemáticas I: PROBLEMAS-ALGEBRA-2.pdf

11 páginas
Anónimo

@Anónimo

He publicado nuevos apuntes de 1º Matemáticas I: PROBLEMAS-ALGEBRA-1.pdf

8 páginas
Anónimo

@Anónimo

He publicado nuevos apuntes de 1º Matemáticas I: entregable-1-mates.pdf

7 páginas

apuntes

-

apuntes y problemas mates 1

He publicado nuevos apuntes de 1º Matemáticas I: apuntes y problemas mates 1

alg1.pdf
alg2.pdf
alg3.pdf

He publicado nuevos apuntes de 1º Matemáticas I: alg3.pdf

2 páginas

apuntes

-

APUNTES_CON_EJEMPLOS

He publicado nuevos apuntes de 1º Matemáticas I: APUNTES_CON_EJEMPLOS

APUNTESMATRICESCONEJEMPLOScompressed.pdf
APUNTESCURVASPARAMETRIZADASCONEJEMPLOScompressed.pdf
APUNTESDIAGONALIZACIONCONEJEMPLOScompressed.pdf
APUNTESCONICASCONEJEMPLOScompressed.pdf
APUNTESESPACIOSVECTORIALESCONEJEMPLOScompressed.pdf
APUNTESCUADRICASCONEJEMPLOScompressed.pdf
Anónimo

@Anónimo

apuntes

-

Examenes

He publicado nuevos apuntes de 1º Matemáticas I: Examenes

fm2p2004.pdf
mec-primerparcial2008.pdf
mecfm1parcialfeb2007.pdf
mecfm2parcial2005.pdf
mecfm2parcialjun2007.pdf
mecfm1parcialfeb2006.pdf
¡Estás al día!

¡Estás al día!

Has visto todos los archivos