chevron_left
chevron_right
Todo
Apuntes
Preguntas
Ejercicios
Exámenes
Prácticas
chevron_left
chevron_right

Examen final de Matemáticas I del curso 25/26 de Biotecnología

1 página

Examen parcial de Matemáticas I curso 25/26 de Biotecnología

1 página

ejercicios de la segunda parte de la asignatura: Espacios Vectoriales, Transformaciones lineales, Autovectores y Autovalores, Sistemas Dinámicos

1 página

examenes

-

Exámenes 2024-2025

He publicado nuevos examenes de 1º Matemáticas I: Exámenes 2024-2025

Ordinario-parte-I-2025.pdf
Ordinario-parte-II-2025.pdf
Parcial-2024.pdf
Extraordinaria-2025.pdf

He publicado nuevos apuntes de 1º Matemáticas I: TODO-MATES-I.pdf

14 páginas

examenes

-

PARCIALES II CORREGIDOS

He publicado nuevos examenes de 1º Matemáticas I: PARCIALES II CORREGIDOS

Examen-enero-2020-Mates-I.pdf
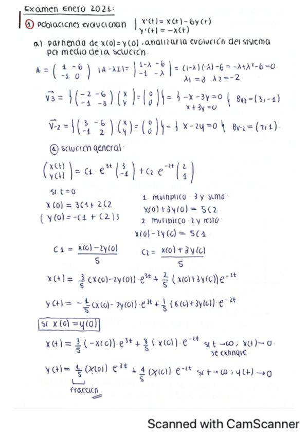
Examen-enero-2021-Mates-I.pdf
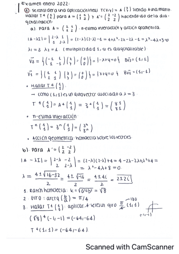
Examen-Enero-2022-Mates-I.pdf

He publicado nuevos ejercicios de 1º Matemáticas I: Ejercicios-1-mates.pdf

13 páginas

He publicado nuevos examenes de 1º Matemáticas I: Examen-1-parcial-mates.pdf

5 páginas

He publicado nuevos apuntes de 1º Matemáticas I: Matematicas-Bioenriquecidas-Martin.pdf

215 páginas

He publicado nuevos practicas de 1º Matemáticas I: Practica-3-Pilar-Lopez-de-Soria.pdf

1 página

He publicado nuevos practicas de 1º Matemáticas I: Practicas-2-Pilar-Lopez-de-Soria.pdf

2 páginas

He publicado nuevos practicas de 1º Matemáticas I: Practica-1-Pilar-Lopez-de-Soria-Homar.pdf

1 página

He publicado nuevos apuntes de 1º Matemáticas I: Apuntes.pdf

6 páginas

He publicado nuevos ejercicios de 1º Matemáticas I: Ejercicios.pdf

46 páginas

He publicado nuevos apuntes de 1º Matemáticas I: Clase.pdf

9 páginas

He publicado nuevos ejercicios de 1º Matemáticas I: 2ndo-parcial.pdf

3 páginas

He publicado nuevos examenes de 1º Matemáticas I: PARCIAL-2-MATES-22-23.pdf

1 página

He publicado nuevos apuntes de 1º Matemáticas I: Tema-3-Aproximacion-de-funciones-mediante-polinomios-y-series.pdf

3 páginas

He publicado nuevos apuntes de 1º Matemáticas I: Tema-2-La-derivada.-Optimizacion.pdf

3 páginas

He publicado nuevos apuntes de 1º Matemáticas I: MATEMATICAS-I-TEMA1.2..pdf

2 páginas

He publicado nuevos ejercicios de 1º Matemáticas I: EJERCICIOS-TEMA1.2.pdf

2 páginas

He publicado nuevos apuntes de 1º Matemáticas I: MATEMATICAS-I-TEMA1.3..pdf

2 páginas

He publicado nuevos apuntes de 1º Matemáticas I: MATEMATICAS-I-TEMA2.pdf

1 página

He publicado nuevos ejercicios de 1º Matemáticas I: EJERCICIOS-POLINOMIO-DE-TAYLOR.pdf

1 página

He publicado nuevos ejercicios de 1º Matemáticas I: EJERCICIOS-TEMA2.pdf

2 páginas

He publicado nuevos ejercicios de 1º Matemáticas I: EJERCICIOS-TEMA5.pdf

4 páginas

He publicado nuevos apuntes de 1º Matemáticas I: Apuntes-Segundo-parcial-Matematicas-I.pdf

11 páginas

He publicado nuevos examenes de 1º Matemáticas I: ExamenMatI-3-de-noviembre-2022.pdf

1 página

He publicado nuevos apuntes de 1º Matemáticas I: TEMA-5-Sistemas-dinamicos.pdf

5 páginas

He publicado nuevos apuntes de 1º Matemáticas I: TEMA-4-Diagonalizacion.pdf

2 páginas

He publicado nuevos apuntes de 1º Matemáticas I: TEMA-4-Aplicaciones-lineales.pdf

4 páginas

He publicado nuevos apuntes de 1º Matemáticas I: Resumen-Primer-Parcial.pdf

18 páginas

He publicado nuevos apuntes de 1º Matemáticas I: TEMA-3-Espacios-y-subestacion-vectoriales.pdf

5 páginas

He publicado nuevos apuntes de 1º Matemáticas I: MATEMATICAS-I-TEMA11.pdf

6 páginas

apuntes

-

APUNTES ESQUEMÁTICOS COMPLETOS

He publicado nuevos apuntes de 1º Matemáticas I: APUNTES ESQUEMÁTICOS COMPLETOS

APUNTES-TEMA-1-DERIVADAS.pdf
APUNTES-TEMA-4-TRANSFORMACIONES-LINEALES.pdf
APUNTES-TEMA-3-ESPACIOS-VECTORIALES.pdf
APUNTES-TEMA-2-INTEGRALES.pdf

He publicado nuevos examenes de 1º Matemáticas I: parcial 2 2022.pdf

1 página

He publicado nuevos examenes de 1º Matemáticas I: parcial 1 2022.pdf

1 página

He publicado nuevos apuntes de 1º Matemáticas I: Resumen-Segundo-Parcial.pdf

5 páginas

He publicado nuevos apuntes de 1º Matemáticas I: Resumen-Primer-Parcial.pdf

4 páginas

He publicado nuevos examenes de 1º Matemáticas I: recuperación parcial 1 2021.pdf

1 página

He publicado nuevos examenes de 1º Matemáticas I: parcial 2 2021.pdf

1 página

apuntes

-

ex.

He publicado nuevos apuntes de 1º Matemáticas I: ex.

Ejercicios-1-parcial.pdf

He publicado nuevos apuntes de 1º Matemáticas I: Esquemas-primer-parcial.pdf

4 páginas

He publicado nuevos apuntes de 1º Matemáticas I: Cuadernillo.EJERCICIOS.pdf

28 páginas

He publicado nuevos apuntes de 1º Matemáticas I: ejsmatescorregidos.pdf

20 páginas

He publicado nuevos apuntes de 1º Matemáticas I: mates1.pdf

9 páginas

He publicado nuevos ejercicios de 1º Matemáticas I: Ejercicios Resueltos Matrices.pdf

11 páginas

He publicado nuevos ejercicios de 1º Matemáticas I: Ejercicios Resueltos Varias variables.pdf

33 páginas

He publicado nuevos ejercicios de 1º Matemáticas I: Ejercicios Resueltos Una variable.pdf

20 páginas
Anónimo

@Anónimo

Cuadernillo de ejercicios "Matemáticas bioenriquecidas"

28 páginas

Examen Enero 2013

5 páginas

He publicado nuevos examenes de 1º Matemáticas I: Ex.mates octubre 2012.pdf

10 páginas
¡Estás al día!

¡Estás al día!

Has visto todos los archivos