chevron_left
chevron_right
Todo
Apuntes
Ejercicios
Exámenes
chevron_left
chevron_right

examenes

-

Exámenes Mate I

He publicado nuevos examenes de 1º Matemáticas I: Exámenes Mate I

Primer-parcial-2022-y-2023.pdf
Segundo-parcial-2023-y-2024.pdf
Extraordinarios-2023-y-2024.pdf

He publicado nuevos ejercicios de 1º Matemáticas I: Ejemplo-de-representacion-grafica.pdf

3 páginas

He publicado nuevos apuntes de 1º Matemáticas I: Rectas-y-planos.pdf

11 páginas

He publicado nuevos apuntes de 1º Matemáticas I: Ejercicios-Metricas.pdf

6 páginas

He publicado nuevos apuntes de 1º Matemáticas I: Ecuaciones-Diferenciales-Ordinarias.pdf

19 páginas

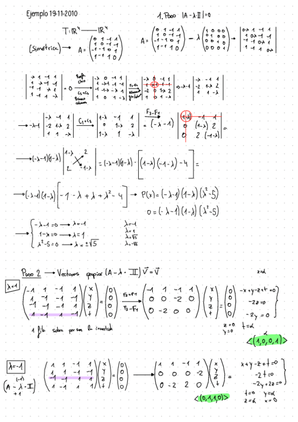
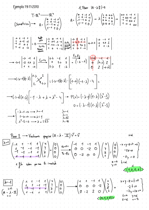
He publicado nuevos apuntes de 1º Matemáticas I: Diagonalizacion.pdf

8 páginas

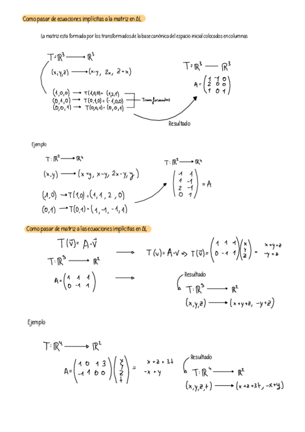
He publicado nuevos apuntes de 1º Matemáticas I: Aplicaciones-lineales.pdf

13 páginas

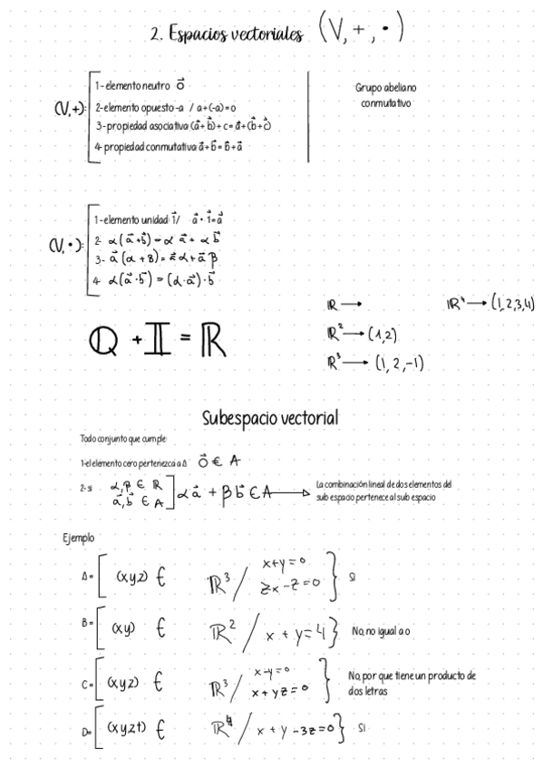
He publicado nuevos apuntes de 1º Matemáticas I: Espacios-vectoriales.pdf

21 páginas

apuntes

-

mates I . Trigonometría esférica

He publicado nuevos apuntes de 1º Matemáticas I: mates I . Trigonometría esférica

Apuntes-mates-I-.pdf

He publicado nuevos apuntes de 1º Matemáticas I: Trigonometria-esferica--teoria.pdf

2 páginas
¡Estás al día!

¡Estás al día!

Has visto todos los archivos