chevron_left
chevron_right
Todo
Apuntes
Ejercicios
Exámenes
Prácticas
Trabajos
chevron_left
chevron_right

Apuntes del temario de Matemáticas I hechos con vídeos de YT, los apuntes de clase y alguna página web de por ahí ¡Mucho ánimo!

24 páginas

examenes

-

Segunda Prueba de Seguimiento

Pruebas de Seguimiento curso 2025/2026.

Segunda-Prueba-de-Seguimiento.pdf
Tercera-prueba-de-seguimiento.pdf
Primera-Prueba-de-Seguimiento.pdf

practicas

-

PRÁCTICA 2 TAYLOR - Matemáticas I - MATEO MOROÑO SOUTO

PRÁCTICA 2 TAYLOR - Matemáticas I - MATEO MOROÑO SOUTO

Morono-Souto-Mateo-17.11.2024.txt
Morono-Souto-Mateo-17.11.2024.xlsx

practicas

-

PRÁCTICA 3 FRESADO NOMBRE GRUPO - Matemáticas I - MATEO MOROÑO SOUTO

He publicado nuevos practicas de 1º Matemáticas I: PRÁCTICA 3 FRESADO NOMBRE GRUPO - Matemáticas I - MATEO MOROÑO SOUTO

Miniatura no disponible
Morono-Souto-Mateo.gcode
Morono-Souto-Mateo.pdf
Morono-Souto-Mateo.png
Morono-Souto-Mateo.xlsx

En este documento se presenta la transcripción del examen correspondiente a la convocatoria indicada, con el objetivo de facilitar el acceso a exámenes anteriores de una forma clara, legible y accesible para todos los interesados.

1 página

En este documento se presenta la transcripción del examen correspondiente a la convocatoria indicada, con el objetivo de facilitar el acceso a exámenes anteriores de una forma clara, legible y accesible para todos los interesados.

1 página

En este documento se presenta la transcripción del examen correspondiente a la convocatoria indicada, con el objetivo de facilitar el acceso a exámenes anteriores de una forma clara, legible y accesible para todos los interesados.

1 página

He publicado nuevos examenes de 1º Matemáticas I: Examen-Mates-1-resuelto-enero-2025.pdf

5 páginas

He publicado nuevos trabajos de 1º Matemáticas I: Letra-mates.ods

excel

He publicado nuevos trabajos de 1º Matemáticas I: Letra-mates.ods

excel
Anónimo

@Anónimo

He publicado nuevos examenes de 1º Matemáticas I: Examen-mates-I-Enero-2025.pdf

1 página

He publicado nuevos practicas de 1º Matemáticas I: letras-y-coordenadasgrupo.jpg

Imagen

He publicado nuevos practicas de 1º Matemáticas I: Resultado-Letra.pdf

1 página

He publicado nuevos apuntes de 1º Matemáticas I: APUNTES-TEORIA-MATE-1.pdf

12 páginas

He publicado nuevos examenes de 1º Matemáticas I: EXAMEN-MATE-1-ENERO-2023-24.pdf

1 página

He publicado nuevos apuntes de 1º Matemáticas I: APUNTES-TEORIA-MATE-1.pdf

12 páginas

He publicado nuevos apuntes de 1º Matemáticas I: TEORIA-TEST-1o.pdf

20 páginas

He publicado nuevos apuntes de 1º Matemáticas I: Apuntes-Mates-ICandela-Carreno.pdf

11 páginas

He publicado nuevos apuntes de 1º Matemáticas I: matematicas-I-20-21.pdf

53 páginas

He publicado nuevos examenes de 1º Matemáticas I: Examen Cálculo 1 Enero 2023.pdf

1 página

He publicado nuevos ejercicios de 1º Matemáticas I: TODO-MAT1.pdf

24 páginas

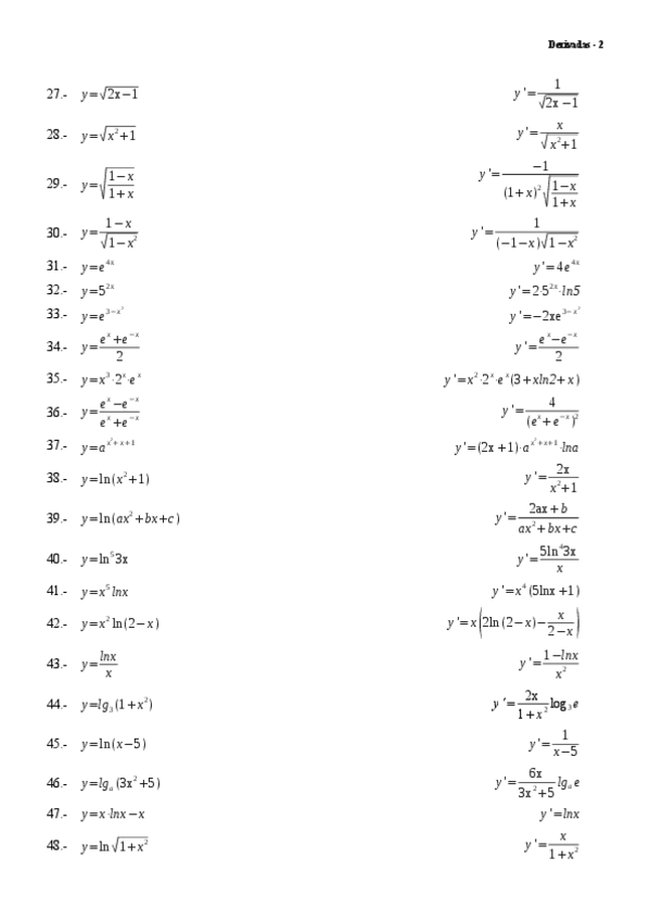
He publicado nuevos ejercicios de 1º Matemáticas I: E.-DERIVADAS.pdf

5 páginas

He publicado nuevos ejercicios de 1º Matemáticas I: E.-AREAS-Y-VOLS.pdf

9 páginas

He publicado nuevos apuntes de 1º Matemáticas I: Pumar-Fernandez-Carmen.pdf

4 páginas

He publicado nuevos apuntes de 1º Matemáticas I: Resumen-Teoria-.pdf

2 páginas

apuntes

-

MATEMÁTICAS I

He publicado nuevos apuntes de 1º Matemáticas I: MATEMÁTICAS I

SERIESDEPOTENCIAS.pdf
INTEGRAL-DE-RIEMANN.pdf
APROXIMACIONFUNCIONES.pdf
DERIVADAS.pdf
CONTINUIDAD-DE-FUNCIONES.pdf
APLICACIONES-DERIVADA.pdf
¡Estás al día!

¡Estás al día!

Has visto todos los archivos