chevron_left
chevron_right
Todo
Apuntes
Ejercicios
Exámenes
Prácticas
chevron_left
chevron_right

apuntes

-

RESUMEN ALGEBRA

He publicado nuevos apuntes de 1º Matemáticas I: RESUMEN ALGEBRA

T1-CONICAS-Y-CUADRICAS.pdf
T2-NUMEROS-COMPLEJOS.pdf
T3-MATRICES-Y-SEL.pdf
T4-ESPACIO-VECTORIAL.pdf
T5-ORTOGONALIDAD-Y-MINIMOS-CUADRADOS.pdf
T6-AUTOVALORES-Y-AUTOVECTORES.pdf

apuntes

-

RESUMEN CALCULO

He publicado nuevos apuntes de 1º Matemáticas I: RESUMEN CALCULO

T1-FUNCIONES-Y-GRAFICAS.pdf
T2-POLINOMIOS-DE-TAYLOR.pdf
T3-ECUACIONES-DIFERENCIALES-PRIMER-ORDEN.pdf
T4-APLICACIONES-DE-INTEGRAL.pdf
T5-CURVAS.pdf

examenes

-

EXAMENES ALGEBRA

He publicado nuevos examenes de 1º Matemáticas I: EXAMENES ALGEBRA

ALG-CONTROL-1-2019.pdf
ALG-CONTROL-1-2020.pdf
ALG-CONTROL-2-2019.pdf
ALG-FEBRERO-2018.pdf

examenes

-

EXAMENES CALCULO RESUELTOS

He publicado nuevos examenes de 1º Matemáticas I: EXAMENES CALCULO RESUELTOS

CAL-CONTROL-3-2023.pdf
CAL-ENERO-2011-RESUELTO.pdf
CAL-ENERO-2016-RESUELTO.pdf
CAL-SEPTIEMBRE-2015.pdf
Anónimo

@Anónimo

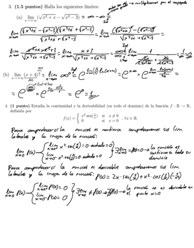
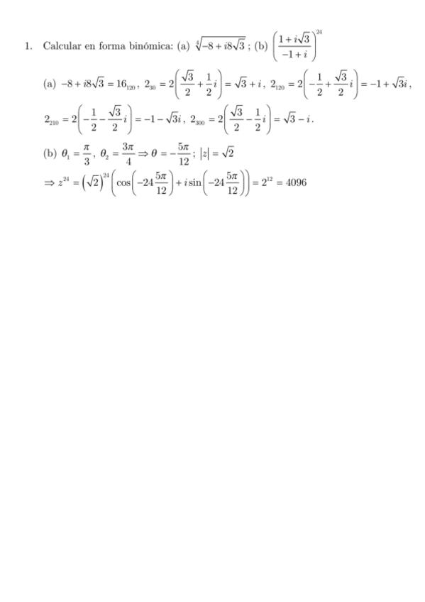
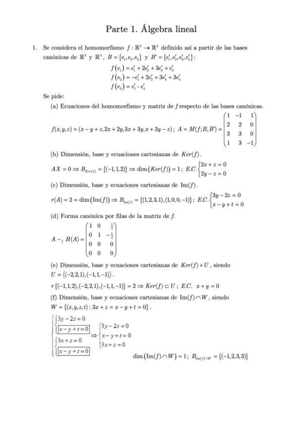
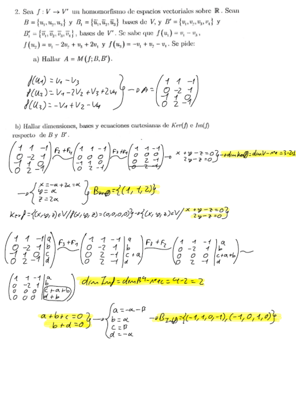
Exámen Matemáticas I cálculo ordinaria 2025

Imagen

apuntes

-

teorico coche

He publicado nuevos apuntes de 1º Matemáticas I: teorico coche

teorico-parte-5.pdf
teorico-parte-2.pdf
teorico-parte-3.pdf
teorico-parte-4.pdf
teorico-parte-1.pdf

He publicado nuevos apuntes de 1º Matemáticas I: aprender-a-integrar.pdf

20 páginas

He publicado nuevos apuntes de 1º Matemáticas I: tema-1-y-2-matematicas-apuntes.pdf

58 páginas
Anónimo

@Anónimo

He publicado nuevos examenes de 1º Matemáticas I: Control-3-Calculo-22-23.pdf

3 páginas
Anónimo

@Anónimo

He publicado nuevos examenes de 1º Matemáticas I: EXAMEN-22-23-RESUELTO.pdf

2 páginas
Anónimo

@Anónimo

ejercicios

-

ejercicios de límites resueltos

He publicado nuevos ejercicios de 1º Matemáticas I: ejercicios de límites resueltos

EJERCICIOS-DE-LIMITES-RESUELTOS.pdf
EJERCICIOS-DE-LIMITES-SOLUCIONES.pdf
EJERCICIOS-DE-LIMITES-ENUNCIADOS.pdf
https://www.wuolah.com/apuntes-matematicas-i/apuntes/grado-en-ingenieria-electronica-industrial/ual-escuela-superior-de-ingenieria/1/apuntes-resumen-calculo-resumen-de-calculo-completopdf-4440638
Anónimo

@Anónimo

examenes

-

(CALCU) PARCIAL ENERO 2012 (C) RESUELTO

He publicado nuevos examenes de 1º Matemáticas I: (CALCU) PARCIAL ENERO 2012 (C) RESUELTO

CALCU-PARCIAL-ENERO-2012-C-RESUELTO.pdf
CALCU-PARCIAL-ENERO-2012-C-RESOLUCION.pdf
https://www.wuolah.com/apuntes-matematicas-i/apuntes/grado-en-ingenieria-electronica-industrial/ual-escuela-superior-de-ingenieria/1/apuntes-resumen-calculo-resumen-de-calculo-completopdf-4440638
Anónimo

@Anónimo

examenes

-

(CALCU) EXAMEN FEBRERO 2014 RESUELTO

He publicado nuevos examenes de 1º Matemáticas I: (CALCU) EXAMEN FEBRERO 2014 RESUELTO

CALCU-EXAMEN-FEBRERO-2014-RESOLUCION.pdf
https://www.wuolah.com/apuntes-matematicas-i/apuntes/grado-en-ingenieria-electronica-industrial/ual-escuela-superior-de-ingenieria/1/apuntes-resumen-calculo-resumen-de-calculo-completopdf-4440638
Anónimo

@Anónimo

examenes

-

(CALCU) EXAMEN SEPTIEMBRE 2014 + SOL

He publicado nuevos examenes de 1º Matemáticas I: (CALCU) EXAMEN SEPTIEMBRE 2014 + SOL

CALCU-EXAMEN-SEPTIEMBRE-2014-RESUELTO.pdf
CALCU-EXAMEN-SEPTIEMBRE-2014-E4.pdf
CALCU-EXAMEN-SEPTIEMBRE-2014-E2-y-E3.pdf
https://www.wuolah.com/apuntes-matematicas-i/apuntes/grado-en-ingenieria-electronica-industrial/ual-escuela-superior-de-ingenieria/1/apuntes-resumen-calculo-resumen-de-calculo-completopdf-4440638
Anónimo

@Anónimo

examenes

-

(CALCU) PARCIAL ENERO 2014 RESUELTO

He publicado nuevos examenes de 1º Matemáticas I: (CALCU) PARCIAL ENERO 2014 RESUELTO

CALCU-PARCIAL-ENERO-2014-E5-Y-E6.pdf
CALCU-PARCIAL-ENERO-2014-E1-Y-E2.pdf
CALCU-PARCIAL-ENERO-2014-RESUELTO.pdf
CALCU-PARCIAL-ENERO-2014-E3-Y-E4.pdf
https://www.wuolah.com/apuntes-matematicas-i/apuntes/grado-en-ingenieria-electronica-industrial/ual-escuela-superior-de-ingenieria/1/apuntes-resumen-calculo-resumen-de-calculo-completopdf-4440638
Anónimo

@Anónimo

examenes

-

(CALCU) PARCIAL ENERO 2015 (1) RESUELTO

He publicado nuevos examenes de 1º Matemáticas I: (CALCU) PARCIAL ENERO 2015 (1) RESUELTO

CALCU-PARCIAL-ENERO-2015-1-RESUELTO.pdf
CALCU-PARCIAL-ENERO-2015-1-RESUELTO.pdf
https://www.wuolah.com/apuntes-matematicas-i/apuntes/grado-en-ingenieria-electronica-industrial/ual-escuela-superior-de-ingenieria/1/apuntes-resumen-calculo-resumen-de-calculo-completopdf-4440638
Anónimo

@Anónimo

examenes

-

(CALCU) PARCIAL ENERO 2016 + SOLUCIONES

He publicado nuevos examenes de 1º Matemáticas I: (CALCU) PARCIAL ENERO 2016 + SOLUCIONES

CALCU-PARCIAL-ENERO-3-2016-E1-Y-E4.pdf
CALCU-PARCIAL-ENERO-3-2016-E3.pdf
CALCU-PARCIAL-ENERO-3-2016-RESUELTO.pdf
CALCU-PARCIAL-ENERO-3-2016-E2.pdf
https://www.wuolah.com/apuntes-matematicas-i/apuntes/grado-en-ingenieria-electronica-industrial/ual-escuela-superior-de-ingenieria/1/apuntes-resumen-calculo-resumen-de-calculo-completopdf-4440638
Anónimo

@Anónimo

examenes

-

(CALCU) EXAMEN FEBRERO 2019 (B) RESUELTO

He publicado nuevos examenes de 1º Matemáticas I: (CALCU) EXAMEN FEBRERO 2019 (B) RESUELTO

CALCU-EXAMEN-FEBRERO-2019-B-RESUELTO.pdf
CALCU-EXAMEN-FEBRERO-2019-B-E3.pdf
CALCU-EXAMEN-FEBRERO-2019-B-E2.pdf
CALCU-EXAMEN-FEBRERO-2019-B-E1.pdf
https://www.wuolah.com/apuntes-matematicas-i/apuntes/grado-en-ingenieria-electronica-industrial/ual-escuela-superior-de-ingenieria/1/apuntes-resumen-calculo-resumen-de-calculo-completopdf-4440638

apuntes

-

APUNTES RESUMEN CALCULO

He publicado nuevos apuntes de 1º Matemáticas I: APUNTES RESUMEN CALCULO

representacion-de-una-funcion.pdf
RESUMEN-DE-CALCULO-COMPLETO.pdf
induccion.pdf
numeros-complejos.pdf
derivabilidad.pdf
integrales.pdf

He publicado nuevos apuntes de 1º Matemáticas I: APUNTES-INDUCCION.pdf

1 página
Anónimo

@Anónimo

examenes

-

examenes anteriores CALCULO

He publicado nuevos examenes de 1º Matemáticas I: examenes anteriores CALCULO

CALCU-EXAMEN-FEBRERO-2015.pdf
CALCU-EXAMEN-FEBRERO-2018-A.pdf
CALCU-EXAMEN-ENERO-2011-RESUELTO.pdf
CALCU-Control-2-2019.pdf
CALCU-Control-1-2018.pdf
CALCU-EXAMEN-FEBRERO-2016-RESUELTO.pdf
Anónimo

@Anónimo

examenes

-

examenes de teoria ALGEBRA RESUELTOS

He publicado nuevos examenes de 1º Matemáticas I: examenes de teoria ALGEBRA RESUELTOS

ALGEB-EXAMEN-FEB-2013-TEORIA-RESUELTO.pdf
ALGEB-EXAMEN-FEBRERO-2019-B-TEORIA-RESUELTO.pdf
ALGEB-EXAMEN-FEB-2012-TEORIA-RESUELTO.pdf
https://www.wuolah.com/apuntes-matematicas-i/apuntes/grado-en-ingenieria-electronica-industrial/ual-escuela-superior-de-ingenieria/1/teoria-de-algebra-teoria-de-algebrapdf-4440413
Anónimo

@Anónimo

He publicado nuevos apuntes de 1º Matemáticas I: TEORIA-DE-ALGEBRA.pdf

3 páginas
Anónimo

@Anónimo

examenes

-

examenes de ALGEBRA anteriores

He publicado nuevos examenes de 1º Matemáticas I: examenes de ALGEBRA anteriores

ALGEB-Control-2-Algebra-2019.pdf
ALGEB-EXAMEN-SEPIEMBRE-2018-A.pdf
ALGEB-EXAMEN-SEPTIEMBRE-2015.pdf
ALGEB-EXAMEN-NOVIEMBRE-2012.pdf
ALGEB-EXAMEN-VARIO-ALGEBRA-1.pdf
ALGEB-EXAMEN-FEBRERO-2018-C.pdf
Anónimo

@Anónimo

examenes

-

(ALGEB) EXAMEN FEBRERO 2019 (B) RESUELTO

He publicado nuevos examenes de 1º Matemáticas I: (ALGEB) EXAMEN FEBRERO 2019 (B) RESUELTO

ALGEB-EXAMEN-FEBRERO-2019-B-PROBLEMAS-RESUELTOS.pdf
ALGEB-EXAMEN-FEBRERO-2019-B-TEORIA-RESUELTO.pdf
ALGEB-EXAMEN-FEBRERO-2019-B-E1.pdf
ALGEB-EXAMEN-FEBRERO-2019-B-E2.pdf
Anónimo

@Anónimo

examenes

-

(ALGEB) EXAMEN FEBRERO 2017 RESUELTO

He publicado nuevos examenes de 1º Matemáticas I: (ALGEB) EXAMEN FEBRERO 2017 RESUELTO

ALGEB-EXAMEN-FEBRERO-2017-E2.pdf
ALGEB-EXAMEN-FEBRERO-2017-E3.pdf
ALGEB-EXAMEN-FEBRERO-2017-E1.pdf
ALGEB-EXAMEN-FEBRERO-2017-RESUELTO.pdf
Anónimo

@Anónimo

examenes

-

(ALGEB) EXAMEN FEBRERO 2016 + SOL

He publicado nuevos examenes de 1º Matemáticas I: (ALGEB) EXAMEN FEBRERO 2016 + SOL

ALGEB-EXAMEN-FEB-2016-enunciado-y-soluciones.pdf
ALGEB-EXAMEN-FEB-2016-E1-y-E2.pdf
Anónimo

@Anónimo

examenes

-

(ALGEB) EXAMEN FEBRERO 2015 + SOL

He publicado nuevos examenes de 1º Matemáticas I: (ALGEB) EXAMEN FEBRERO 2015 + SOL

ALGEB-EXAMEN-FEB-2015-SOLUCIONES.pdf
ALGEB-EXAMEN-FEB-2015-E1-y-E2.pdf
Anónimo

@Anónimo

examenes

-

(ALGEB) EXAMEN FEBRERO 2014 + SOL

He publicado nuevos examenes de 1º Matemáticas I: (ALGEB) EXAMEN FEBRERO 2014 + SOL

ALGEB-EXAMEN-FEB-2014-ENUNCIADOS.pdf
ALGEB-EXAMEN-FEB-2014-E1.pdf
Anónimo

@Anónimo

He publicado nuevos examenes de 1º Matemáticas I: ALGEB-EXAMEN-SEPTIEMBRE-2012-EJER-SOLUCION.pdf

1 página
Anónimo

@Anónimo

practicas

-

PRACTICAS ALGEBRA RESUELTAS

He publicado nuevos practicas de 1º Matemáticas I: PRACTICAS ALGEBRA RESUELTAS

Practica-2-v2.pdf
Practica-3-v2.pdf
Miniatura no disponible
PRACTICA-4-y-5.rar
Miniatura no disponible
PRACTICA-1.rar
Miniatura no disponible
PRACTICA-3.rar
Practica-4.pdf
Anónimo

@Anónimo

He publicado nuevos examenes de 1º Matemáticas I: Control-de-Calculo-GD-A-sol-alu.nb

Anónimo

@Anónimo

practicas

-

PRÁCTICAS MATEMÁTICAS ÁLGEBRA

He publicado nuevos practicas de 1º Matemáticas I: PRÁCTICAS MATEMÁTICAS ÁLGEBRA

Miniatura no disponible
Practica-A4.nb
Miniatura no disponible
Practica-A2.nb
Miniatura no disponible
Practica-A1.nb
Miniatura no disponible
Practica-A3.nb
Anónimo

@Anónimo

He publicado nuevos apuntes de 1º Matemáticas I: Control-1-Preparacion.pdf

1 página

apuntes

-

APUNTES_ALGEBRA_CON_EJEMPLOS

He publicado nuevos apuntes de 1º Matemáticas I: APUNTES_ALGEBRA_CON_EJEMPLOS

APUNTESCONICASCONEJEMPLOScompressed.pdf
APUNTESCUADRICASCONEJEMPLOScompressed.pdf
APUNTESDIAGONALIZACIONCONEJEMPLOScompressed.pdf
APUNTESCURVASENELESPACIOCONEJEMPLOScompressed.pdf
APUNTESMATRICESCONEJEMPLOScompressed.pdf
APUNTESESPACIOVECTEUCLIDEOCONEJEMPLOScompressed.pdf

apuntes

-

Teoría Cálculo 1º

Teoría exportada a PDF (solo hay anuncios en la vista previa :) ), para poder estudiar sin tener instalado Mathemática. La pega es que no se pueden ni poner comandos ni ver animaciones.

Matematicas-I-Tema-3-Calculo-Derivacion.pdf
Matematicas-I-Tema-1-Calculo-Numeros-reales-y-complejos.pdf
Matematicas-I-Tema-4-Calculo-Integracion.pdf

apuntes

-

Teoría Álgebra Lineal 1º

Teoría exportada a PDF (solo hay anuncios en la vista previa :) ), para poder estudiar sin tener instalado Mathemática. La pega es que no se pueden ni poner comandos ni ver animaciones.

Matematicas-I-Tema-6-Algebra-Lineal-Diagonalizacion-ortogonal.pdf
Matematicas-I-Tema-4-Algebra-Lineal-Aplicaciones-lineales.pdf
Matematicas-I-Tema-5-Algebra-Lineal-Diagonalizacion.pdf
Matematicas-I-Tema-3-Algebra-Lineal-Espacios-vectoriales.pdf
Matematicas-I-Tema-1-Algebra-Lineal-Matrices-y-determinantes.pdf
Matematicas-I-Tema-2-Algebra-Lineal-Sistemas-de-ecuaciones-lineales.pdf

He publicado nuevos apuntes de 1º Matemáticas I: Calculo.pdf

9 páginas

He publicado nuevos apuntes de 1º Matemáticas I: Algebra.pdf

9 páginas

He publicado nuevos apuntes de 1º Matemáticas I: teoria-completa--ejercicios.pdf

82 páginas

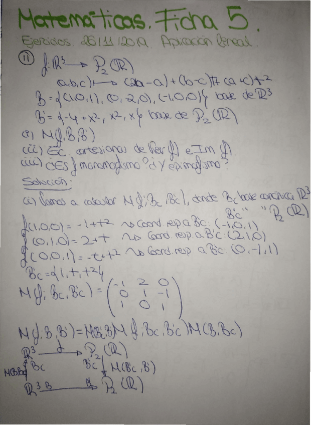
Ejercicios realizados el día 26-11-2019 en Matemáticas I. Grupo D

4 páginas

He publicado nuevos apuntes de 1º Matemáticas I: Diagonalizacion-paso-a-paso.docx

word

He publicado nuevos examenes de 1º Matemáticas I: Examen-algebra-noviembre-2012.pdf

1 página

ejercicios

-

Problemas resueltos

He publicado nuevos ejercicios de 1º Matemáticas I: Problemas resueltos

Problemas-limites-continuidad.pdf
Problemas-derivabilidad-resueltos.pdf
Problemas-integrales.pdf
Problemas-n-complejos-RESUELTOS.pdf
¡Estás al día!

¡Estás al día!

Has visto todos los archivos