Todo
Apuntes
Ejercicios
Exámenes
Prácticas
chevron_left
chevron_right

Apuntes del apartado de aplicaciones, problemas del tema 3. Fórmulas y explicación. Entra en la segunda nivelación

Imagen

Apuntes para la segunda nivelación de matemáticas en la cual entra el tema 3, 4 y 5 (el primer punto). Tienen toda la información y están los contenidos explicados.

5 páginas

Apuntes explicados y resumen del contenido del punto 1 tema 5 sobre el espacio vectorial, todo lo que entra en la segunda nivelación.

1 página

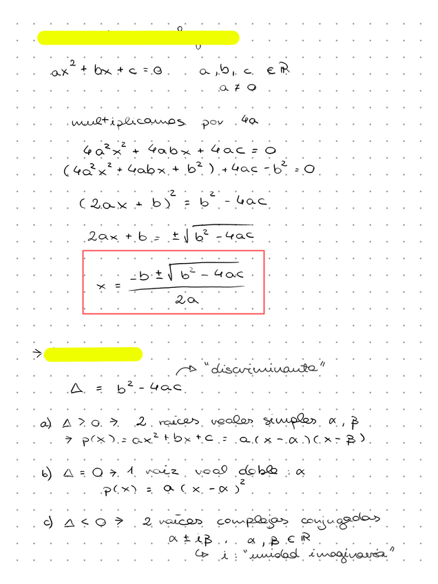
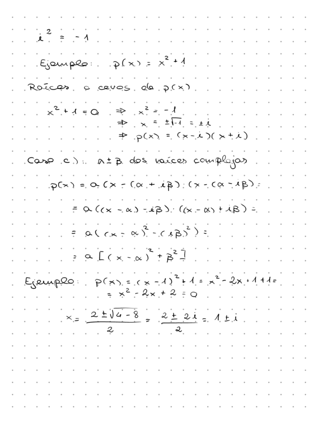
Apuntes explicados y resumen del contenido del tema 4 sobre las Ecuaciones Diferenciales Ordinarias de Segundo Orden, entra en la segunda nivelación.

2 páginas

Apuntes explicados y resumen del contenido del tema 3 sobre las Ecuaciones Diferenciales Ordinarias de Primer Orden, entra en la segunda nivelación.

2 páginas

He publicado nuevos apuntes de 1º Matemáticas I: resumen-diferenciales-2o-parcial.pdf

1 página

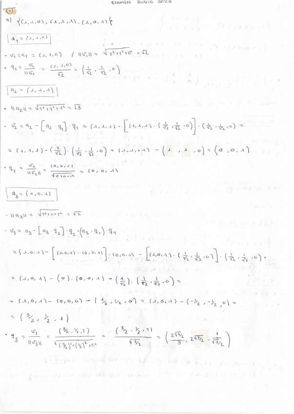
MAT1 exámenes resueltos 2º nivelación

8 páginas

ejercicios resueltos matemáticas I subespacios vectoriales

13 páginas

apuntes MAT1 tema 5 ejercicios

13 páginas

apuntes MAT1 tema 5 teoría

8 páginas

apuntes MAT1 tema 4 ejercicios

35 páginas

Apuntes Matemáticas I tema 4 teoría

18 páginas

He publicado nuevos apuntes de 1º Matemáticas I: Tema-8.-Diagonalizacion.pdf

7 páginas

He publicado nuevos apuntes de 1º Matemáticas I: Tema-7.-Aplicaciones-lineales.pdf

9 páginas

He publicado nuevos apuntes de 1º Matemáticas I: Tema-6.-Espacio-vectorial-euclideo.pdf

9 páginas

He publicado nuevos apuntes de 1º Matemáticas I: Tema-5.-El-espacio-vectorial-en-R.-Supespacios-en-R.pdf

7 páginas

He publicado nuevos apuntes de 1º Matemáticas I: Tema-4.-Ecuacion-diferencial-de-segundo.pdf

11 páginas

He publicado nuevos apuntes de 1º Matemáticas I: Tema-3.-Ecuaciones-diferenciales-de-primer-orden.pdf

11 páginas

He publicado nuevos apuntes de 1º Matemáticas I: Tema-2.-Integracion.pdf

19 páginas

He publicado nuevos apuntes de 1º Matemáticas I: Tema-1.-Calculo-aproximado-de-ceros-de-funciones.pdf

9 páginas

He publicado nuevos apuntes de 1º Matemáticas I: Esquema-tema-7.pdf

2 páginas

He publicado nuevos apuntes de 1º Matemáticas I: Esquema-tema-8.pdf

1 página

He publicado nuevos apuntes de 1º Matemáticas I: Esquema-tema-6.pdf

1 página

He publicado nuevos apuntes de 1º Matemáticas I: Esquemas-tema-1, 2 y 3.pdf.pdf

4 páginas

1ª Nivelación 2025-26

Imagen

apuntes

-

Resumen 1ªNIV

He publicado nuevos apuntes de 1º Matemáticas I: Resumen 1ªNIV

image.jpg
image.jpg
image.jpg

Resumen Tema 1 y 2 LA FÓRMULA DEL SEN Y COS ESTÁ MAL perdón :/

2 páginas

T.1 y T.2

7 páginas

Apuntes de matemáticas I 2025 del tema 0

12 páginas

He publicado nuevos apuntes de 1º Matemáticas I: Tema-1.pdf

19 páginas

He publicado nuevos apuntes de 1º Matemáticas I: APUNTES-COMPLETOS-MATEMATICAS-1.pdf

4 páginas

apuntes

-

2ª Nivelación

He publicado nuevos apuntes de 1º Matemáticas I: 2ª Nivelación

Tema-5-SubespacioVectorial.pdf
Tema-4-EDO2.pdf

apuntes

-

3ª Nivelación

He publicado nuevos apuntes de 1º Matemáticas I: 3ª Nivelación

Tema-8-Diagonalización.pdf
Tema-6-EspacioVectorialEuclideo.pdf
Tema-7-AplicacionesLineales.pdf

Resumen de los ejercicios de exámen del tema de espacios euclideos

2 páginas

Examen Nivelación 3. MAYO 2025

1 página

He publicado nuevos examenes de 1º Matemáticas I: 3-nivelacion-2024-2025-valenciano.pdf

1 página

He publicado nuevos examenes de 1º Matemáticas I: 3-nivelacion-2024-2025-castellano.pdf

1 página

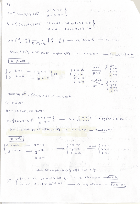
Examen resuelto Nivelación 3. JUNIO 2022-2022

7 páginas

Examen resuelto Nivelación 4 MAYO 2023-2024

7 páginas

Nivelaciones 2 de Matemáticas

1 página

Nivelación 2 Matemáticas 1, Temas 4-5

1 página

Nivelación 1 Matemáticas 1, Temas 1-2-3

1 página

Ejercicios 2º Cuatri de Matemáticas I para la Arquitectura

6 páginas

Ejercicios 2º Cuatri de Matemáticas I para la Arquitectura

8 páginas

Ejercicios 2º Cuatri de Matemáticas I para la Arquitectura

5 páginas

He resuelto el primer ejercicio de la 3a nivelación de 2024. Corresponde al tema 7 de aplicaciones lineales. Lo he explicado todo detalladamente para que se entienda facilmente.

3 páginas

He publicado nuevos examenes de 1º Matemáticas I: 2-nivelacion-2024-2025-English.pdf

1 página

He publicado nuevos examenes de 1º Matemáticas I: 2-nivelacion-2024-2025-valenciano.pdf

1 página

He publicado nuevos examenes de 1º Matemáticas I: 1-nivelacion-2024-2025-valenciano.pdf

1 página

Segunda nivelación 2024-2025 castellano

1 página

Primera nivelación 2024-2025 castellano

1 página

He publicado nuevos examenes de 1º Matemáticas I: II-NIVELACION-MATEMATICAS-I-202425.pdf

9 páginas

He publicado nuevos apuntes de 1º Matemáticas I: Mat1-Tema-5.pdf

8 páginas

He publicado nuevos apuntes de 1º Matemáticas I: Mat1-Tema-4.pdf

5 páginas

apuntes

-

TEMAS 1-2 COMPLETOS MATEMÁTICAS 1

Apuntes Completos

TEMA-1-CALCULO-APROXIMADO-DE-FUNCIONES.pdf
TEMA-2-INTEGRACION.pdf
TEMA-2-INTEGRACION.pdf

Resumen de los diferentes tipos y clasificaciones de ecuaciones diferenciales con ejemplos.

2 páginas

Resolución de los ejercicios de PVI de los examenes de los últimos tres años.

3 páginas

He publicado nuevos apuntes de 1º Matemáticas I: Matematicas-Tema-1.pdf

16 páginas

He publicado nuevos apuntes de 1º Matemáticas I: 1-Nivelacion-Matematicas-I-2024.pdf

1 página

Repaso EDO Orden 1 - 1ra Nivelación

2 páginas