Todo
Apuntes
Ejercicios
Exámenes
Otros
Prácticas
chevron_left
chevron_right

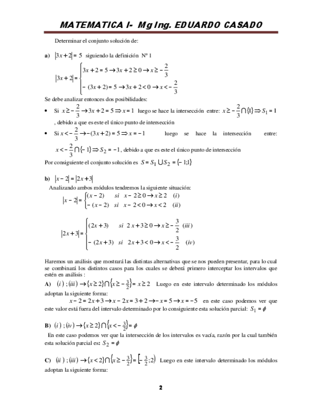
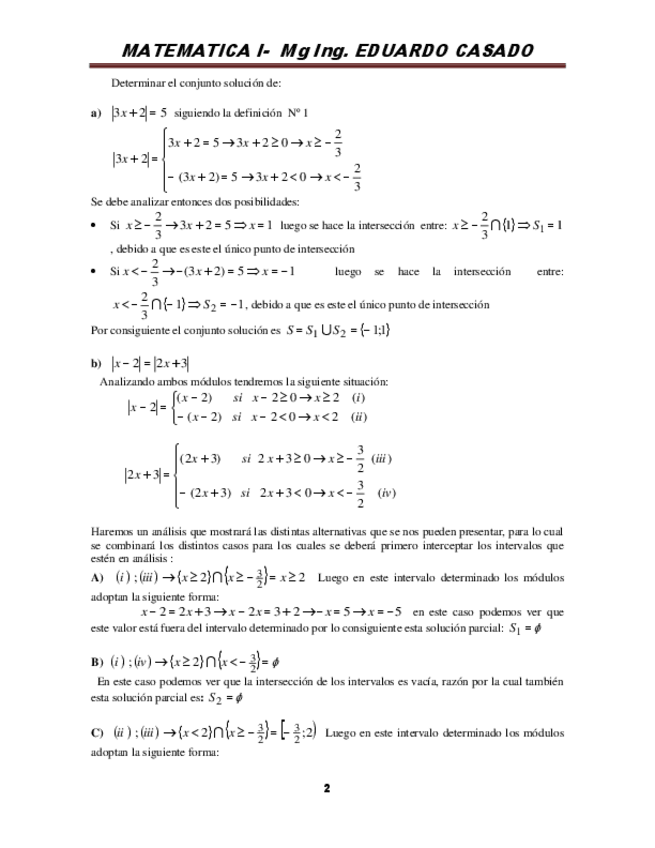
He publicado nuevos otros de 1º Matemáticas I: Unidad-No-2-VALOR-ABSOLSUTO.pdf

7 páginas

He publicado nuevos examenes de 1º Matemáticas I: MATEMATICA-I-PRESENCIAL.pdf

7 páginas

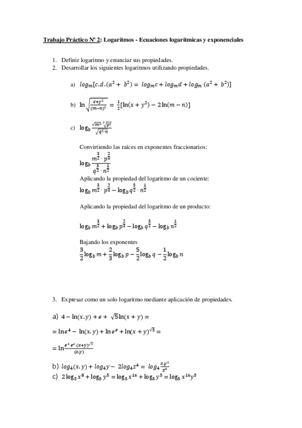
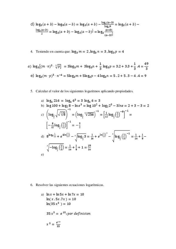
He publicado nuevos apuntes de 1º Matemáticas I: LOGARITMOSm.pdf

9 páginas

He publicado nuevos ejercicios de 1º Matemáticas I: EJERCICIOS-RESUELTOS-dem-LOGARITMOS.pdf

4 páginas

He publicado nuevos practicas de 1º Matemáticas I: CARTILLA-PRACTICOSs-DEFINITIVA.pdf

27 páginas
¡Estás al día!

¡Estás al día!

Has visto todos los archivos