chevron_left
chevron_right
Todo
Apuntes
Ejercicios
chevron_left
chevron_right

He publicado nuevos apuntes de 2º Matemáticas I: Espacio-Vectorial-Resumen.pdf

5 páginas

He publicado nuevos ejercicios de 2º Matemáticas I: Ejercicios-resueltos-de-fisica.pdf

19 páginas

He publicado nuevos ejercicios de 2º Matemáticas I: Derivadas-Ejercicios.pdf

9 páginas

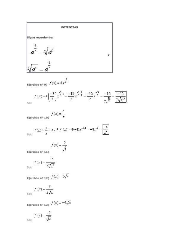
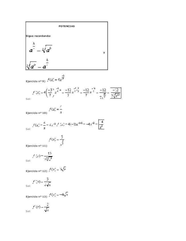
He publicado nuevos ejercicios de 2º Matemáticas I: DerivacionEjercicio.pdf

9 páginas

He publicado nuevos apuntes de 2º Matemáticas I: Sistemas-de-numeros-Resumen.pdf

3 páginas

He publicado nuevos apuntes de 2º Matemáticas I: REGLAS-DE-DERIVACION-Resumen.pdf

1 página

He publicado nuevos apuntes de 2º Matemáticas I: Numeros-reales-Resumen.pdf

36 páginas

He publicado nuevos ejercicios de 2º Matemáticas I: Maximos-y-Minimos-Ejercicios.pdf

2 páginas

He publicado nuevos apuntes de 2º Matemáticas I: Logica-matematica-Resumen.pdf

23 páginas

He publicado nuevos ejercicios de 2º Matemáticas I: Limites-Ejercicios.pdf

9 páginas

He publicado nuevos apuntes de 2º Matemáticas I: La-Optimizacion-Resumen.pdf

44 páginas

He publicado nuevos apuntes de 2º Matemáticas I: Introduccion-a-la-Teoria-de-conjuntos.pdf

8 páginas

He publicado nuevos apuntes de 2º Matemáticas I: 7.SUMA-SUPERIOR-E-INFERIOR.jpeg

Imagen

He publicado nuevos apuntes de 2º Matemáticas I: 6.-SUMA-SUPERIOR-E-INFERIOR.jpeg

Imagen

He publicado nuevos apuntes de 2º Matemáticas I: 5.-SUMA-SUPERIOR-E-INFERIOR.jpeg

Imagen

He publicado nuevos apuntes de 2º Matemáticas I: 4.-SUMA-SUPERIOR-E-INFERIOR.jpeg

Imagen

He publicado nuevos apuntes de 2º Matemáticas I: 3.-SUMA-SUPERIOR-E-INFERIOR.jpeg

Imagen

He publicado nuevos apuntes de 2º Matemáticas I: 2.-SUMA-INFERIOR-Y-SUMA-SUPERIOR.jpeg

Imagen

He publicado nuevos apuntes de 2º Matemáticas I: 1.-SUMA-INFERIOR-Y-SUMA-SUPERIOR.jpeg

Imagen

apuntes

-

Calculo y Estadistica

He publicado nuevos apuntes de 2º Matemáticas I: Calculo y Estadistica

La-mediana.pdf
La-media-ponderada.pdf
Integracion-por-partes.pdf
integracion-por-sustitucion.pdf
intervalos-de-confianza.pdf
Integrales-de-Funciones-exponenciales-y-logaritmicas.pdf
Anónimo

@Anónimo

He publicado nuevos ejercicios de 2º Matemáticas I: 100-Ejercicios-y-aplicaciones-sobre-la-integral-definida-T.pdf

42 páginas

apuntes

-

Integración Indefinida

He publicado nuevos apuntes de 2º Matemáticas I: Integración Indefinida

Taller-2-Regals-Basicas-de-Integracion.pdf
Taller-6-Integrales-de-funciones-trascendentes.pdf
Taller-8-Integrales-con-Valores-Iniciales.pdf
Taller-5-Reglas-Basicas-de-Integracion.pdf
Taller-7-Integrales-de-funciones-trascendentes-y-con-valor-inicial.pdf
Taller-12-Aplicaciones-de-integrales-indefinidas-III.pdf

He publicado nuevos apuntes de 2º Matemáticas I: Ejercicios-de-Aplicacion-de-Integrales-Indefinidas-a-las-Finanzas.pdf

34 páginas

He publicado nuevos apuntes de 2º Matemáticas I: UNIDAD-4-SISTEMA-DE-COORDENADAS-Y-CONCEPTOS-BASICOS.pdf

22 páginas

He publicado nuevos apuntes de 2º Matemáticas I: UNIDAD-2-FUNCIONES-TROGONOMETRICAS.pdf

25 páginas
¡Estás al día!

¡Estás al día!

Has visto todos los archivos