Todo
Apuntes
Exámenes
chevron_left
chevron_right

He publicado nuevos apuntes de 1º Matemáticas I: SEMINARIO-FACTORIZACION-LU.pdf

Miniatura no disponible
pdf

He publicado nuevos apuntes de 1º Matemáticas I: TAYLOR-Y-TEMA6-RESUMEN--EJERCICIOS.pdf

18 páginas

He publicado nuevos examenes de 1º Matemáticas I: examen-enero-2023.pdf

1 página

He publicado nuevos apuntes de 1º Matemáticas I: 2o-Parcial-202021.pdf

4 páginas

Ejercicios (casa) para practicar de cara al examen de Seminario de Integración

9 páginas

He publicado nuevos apuntes de 1º Matemáticas I: Tema 6.pdf

3 páginas

He publicado nuevos apuntes de 1º Matemáticas I: Tema 5.pdf

9 páginas

He publicado nuevos apuntes de 1º Matemáticas I: T.4-Calculo-diferencial-en-una-variables-y-formula-de-Taylor.pdf

7 páginas

He publicado nuevos apuntes de 1º Matemáticas I: Seminario-Factorizacion-LU.pdf

3 páginas

He publicado nuevos apuntes de 1º Matemáticas I: T.1-Matrices-y-determinantes.pdf

4 páginas

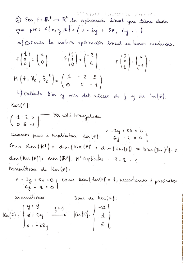
He publicado nuevos apuntes de 1º Matemáticas I: T.3-Aplicaciones-lineales.pdf

6 páginas

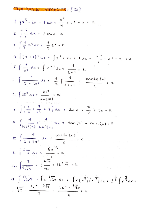
He publicado nuevos apuntes de 1º Matemáticas I: Seminario-Integracion.pdf

5 páginas

He publicado nuevos apuntes de 1º Matemáticas I: T.2-Sistemas-de-ecuaciones-y-espacios-vectoriales.pdf

15 páginas
Anónimo

@Anónimo

He publicado nuevos examenes de 1º Matemáticas I: PrimerControl-2021.pdf

5 páginas
¡Estás al día!

¡Estás al día!

Has visto todos los archivos