Todo
Apuntes
Ejercicios
Exámenes
Trabajos
chevron_left
chevron_right

Resumen del tema 5 (Diagonalización) y del tema 6 (Espacio vectorial euclídeo).

2 páginas

HOLA POLLOS, vuestra servidora favorita (espero) os pasa el entregable II (modelo 22/23), espero q os sirva mucho mucho y que os saques esta mierda de asignatura en primera matricula

10 páginas

Holaa, aqui teneis la segunds actividad de mates I, si no la cambia espero q os sirva, saqué un 8,5 con esta. Suerte!

7 páginas

HOLAAA, vuestro primer ENTREGABLE de mates I, en este trabajo saqué un 7~8 (no me acuerdo), por lo que hay cosas que- obviamente- estarán mal, de todas formas, espero que os ayude <3

18 páginas

He publicado nuevos ejercicios de 1º Matemáticas I: potencia-matrices.pdf

4 páginas

He publicado nuevos ejercicios de 1º Matemáticas I: Vectores.pdf

17 páginas

He publicado nuevos ejercicios de 1º Matemáticas I: Vectores-Cambio-De-Base.pdf

7 páginas

He publicado nuevos apuntes de 1º Matemáticas I: Numeros-Complejos.pdf

5 páginas

He publicado nuevos ejercicios de 1º Matemáticas I: mas-determinantes.pdf

8 páginas

He publicado nuevos ejercicios de 1º Matemáticas I: determinantes.pdf

3 páginas

He publicado nuevos ejercicios de 1º Matemáticas I: Mas-Ejercicios-De-vectores.pdf

2 páginas

He publicado nuevos apuntes de 1º Matemáticas I: Introduccion-Conectores.pdf

8 páginas

He publicado nuevos apuntes de 1º Matemáticas I: conceptos-previos.pdf

6 páginas
Anónimo

@Anónimo

He publicado nuevos examenes de 1º Matemáticas I: Examen-Corregido-2022-2023-1er-parcial.pdf

6 páginas
Anónimo

@Anónimo

He publicado nuevos examenes de 1º Matemáticas I: ExamenMatematicasI1Parc2021.pdf

13 páginas

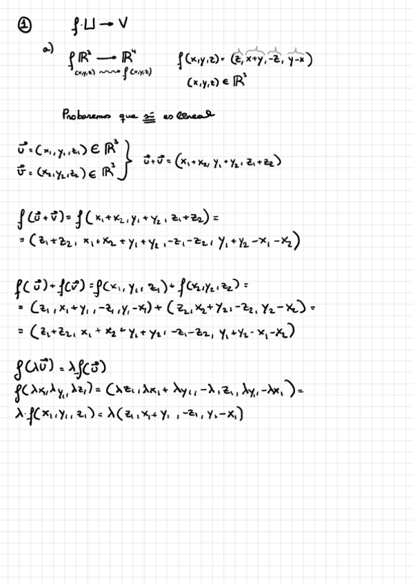
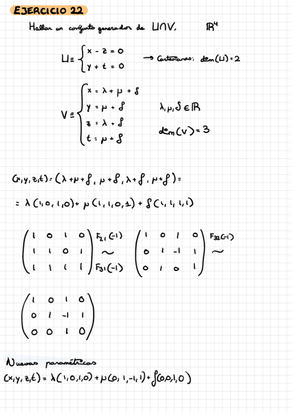
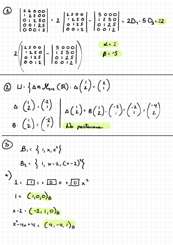
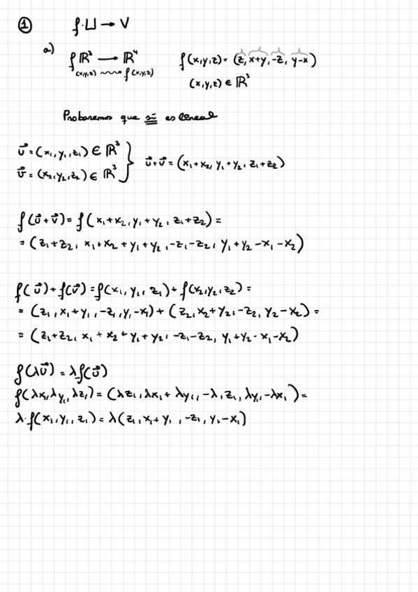
He publicado nuevos ejercicios de 1º Matemáticas I: Aplicaciones-Lineales.pdf

6 páginas

He publicado nuevos ejercicios de 1º Matemáticas I: Hoja4.pdf

10 páginas

He publicado nuevos ejercicios de 1º Matemáticas I: Ejercicio-3-Hoja-5.pdf

5 páginas

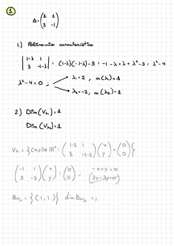
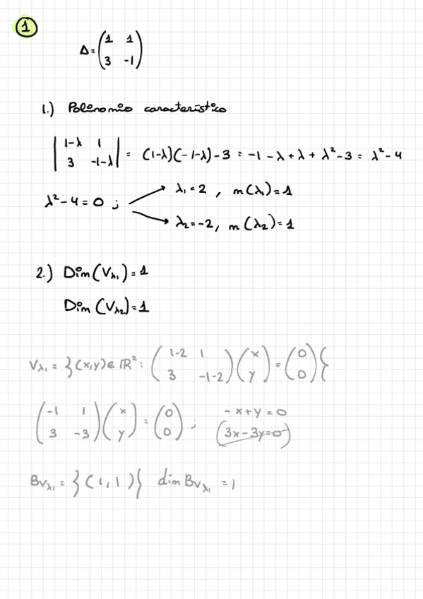
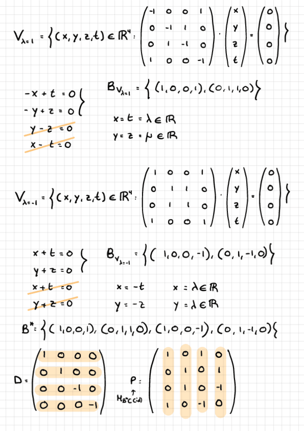
He publicado nuevos ejercicios de 1º Matemáticas I: Ejercicios-Tema-5.pdf

6 páginas

He publicado nuevos ejercicios de 1º Matemáticas I: proyeccion-ortogonal-v-sobre-w.pdf

2 páginas

He publicado nuevos ejercicios de 1º Matemáticas I: Hoja8LimitesyDerUnaVar.pdf

8 páginas

He publicado nuevos ejercicios de 1º Matemáticas I: hoja6.pdf

13 páginas

He publicado nuevos ejercicios de 1º Matemáticas I: Hoja5.pdf

6 páginas
¡Estás al día!

¡Estás al día!

Has visto todos los archivos