Todo
Apuntes
Exámenes
Prácticas
chevron_left
chevron_right

Ejercicios T3 ¡¡¡CON SOLUCIÓN!!! MATES I del grado de Marketing UA Sucesiones, sumas, series y polinomios de McLaurin y Taylor

3 páginas

He publicado nuevos examenes de 1º Matemáticas I: EjemploControlC2.pdf

1 página

He publicado nuevos apuntes de 1º Matemáticas I: Mates-1-Teoria.pdf

126 páginas

He publicado nuevos examenes de 1º Matemáticas I: Examenes-resueltos-Mates-I.pdf

32 páginas

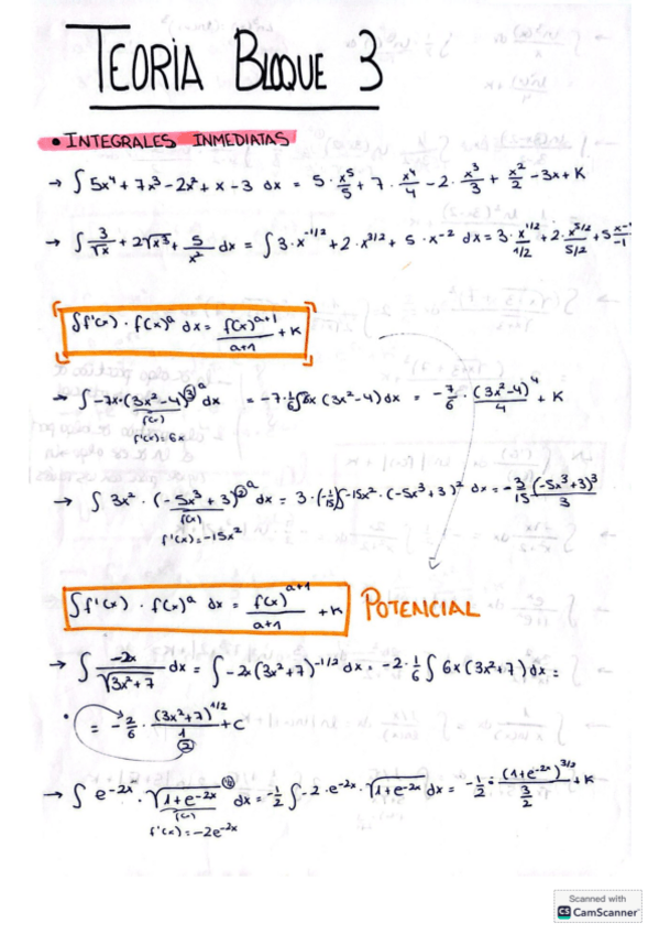
He publicado nuevos apuntes de 1º Matemáticas I: Bloque-3-entero.pdf

39 páginas

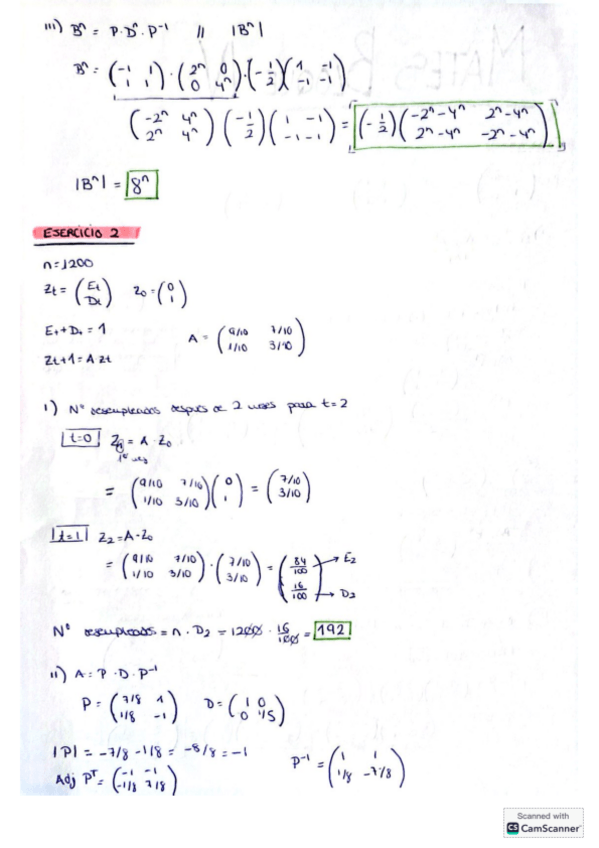
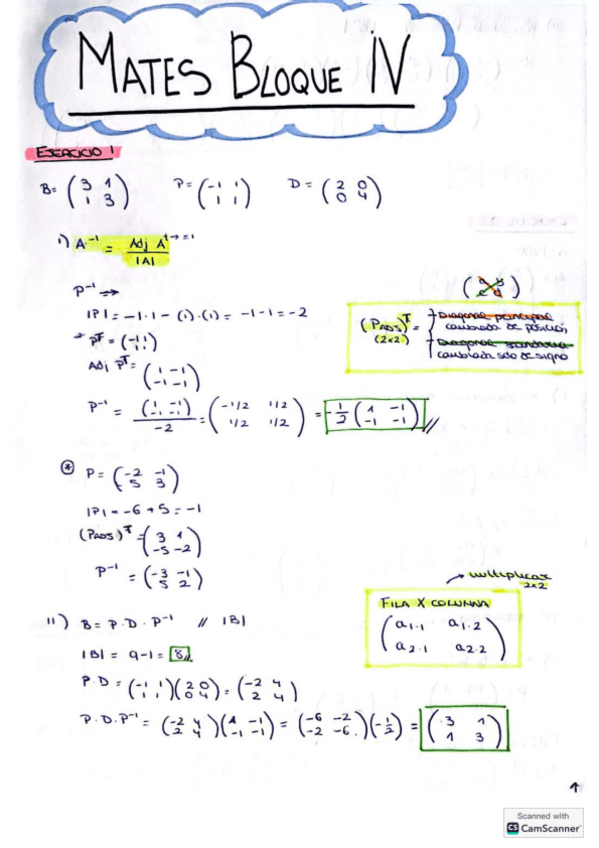
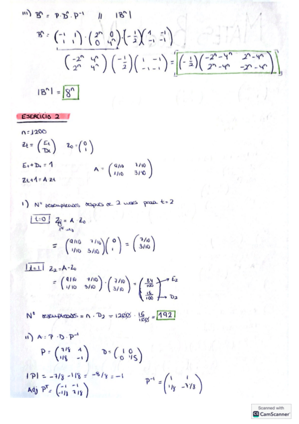
He publicado nuevos apuntes de 1º Matemáticas I: Bloque-4-entero.pdf

20 páginas

He publicado nuevos apuntes de 1º Matemáticas I: Bloque-2-entero.pdf

28 páginas

He publicado nuevos apuntes de 1º Matemáticas I: soluSeriesTaylor.pdf

22 páginas
Anónimo

@Anónimo

He publicado nuevos examenes de 1º Matemáticas I: Control-I-2023-2024-con-solucion.pdf

9 páginas

He publicado nuevos examenes de 1º Matemáticas I

https://www.youtube.com/watch?v=oMgHPSPlVt0

He publicado nuevos examenes de 1º Matemáticas I: EXAMEN-FINAL-ENERO-2022.pdf

1 página

He publicado nuevos apuntes de 1º Matemáticas I: Captura-de-pantalla-11.png

Imagen

examenes

-

Parcial 2 examenes resueltos

He publicado nuevos examenes de 1º Matemáticas I: Parcial 2 examenes resueltos

Control-2-modelo-A.pdf
Control-2-modelo-B.pdf
Control-2-Modelo-C-enunciado.jpeg.pdf
Control-2-Modelo-C-solucion.pdf
Control-2-Modelo-D.pdf
Control-2A-2022-23.pdf

examenes

-

Parcial 3 Examenes resueltos

He publicado nuevos examenes de 1º Matemáticas I: Parcial 3 Examenes resueltos

Control-3-Modelo-1.pdf
Control-3-Modelo-2.pdf
Control-3-Modelo-3.pdf
Control-3-Modelo-4.pdf
Control-3-Modelo-5.pdf
Control-final-junio-2023.pdf

examenes

-

Parcial 1 exámenes resueltos

He publicado nuevos examenes de 1º Matemáticas I: Parcial 1 exámenes resueltos

resuelto-modelo-1.pdf
resuelto-modelo-2.pdf
resuelto-modelo-3.pdf
resuelto-modelo-4.pdf
resuelto-modelo-5.pdf

He publicado nuevos apuntes de 1º Matemáticas I: Bloque-4-tema-4.pdf

7 páginas

He publicado nuevos apuntes de 1º Matemáticas I: Bloque-3-tema-3.pdf

5 páginas

He publicado nuevos apuntes de 1º Matemáticas I: Bloque-2-tema-2.pdf

5 páginas

He publicado nuevos apuntes de 1º Matemáticas I: Bloque-1-tema-1.pdf

7 páginas

He publicado nuevos practicas de 1º Matemáticas I: Practica-Tema-3.pdf

7 páginas

He publicado nuevos practicas de 1º Matemáticas I: Practica-Tema-4.pdf

6 páginas

He publicado nuevos apuntes de 1º Matemáticas I: matv.pdf

1 página

He publicado nuevos apuntes de 1º Matemáticas I: matu.pdf

1 página

He publicado nuevos apuntes de 1º Matemáticas I: mats.pdf

1 página

He publicado nuevos apuntes de 1º Matemáticas I: matr.pdf

1 página

He publicado nuevos apuntes de 1º Matemáticas I: edited-amt.pdf

1 página

He publicado nuevos apuntes de 1º Matemáticas I: matematicas-I.pdf

1 página

Resumen de las cosas más importantes bloque I Matemáticas

4 páginas

Resumen teoremas matemáticas

1 página
¡Estás al día!

¡Estás al día!

Has visto todos los archivos