Matemáticas I

chevron_left
chevron_right
Todo
Apuntes
Preguntas
Ejercicios
Exámenes
Otros
PEC
Prácticas
publication
Test
Trabajos
chevron_left
chevron_right

apuntes

-

Aritmética

Carpeta con apuntes, fórmulas y ejercicios de aritmética para estudiar y repasar operaciones y conceptos básicos.

Que-es-la-aritmetica.pdf
https://youtu.be/QEv1e9Ua6tA?si=Q1X5sGw1W18KPUT0
Conjunto-de-numeros.pdf
https://youtu.be/RDn8UdSnN8Q?si=JnV3MYqqlevYoaGr
Propiedades-de-los-numeros.pdf
https://youtu.be/yiDbXvJ3y-w?si=7MubIPIOvpWkBQ59

Apuntes sobre la introducción a las derivadas para bachiller, tengo más apuntes sobre matemáticas en mi perfil

1 página

Resumen sobre todo lo que hay que saber sobre vectores para bachillerato

1 página

Apuntes sobre todo lo que hay que saber sobre las funciones para bachiller

1 página

He publicado nuevos apuntes de 1º Matemáticas I: MATEMATICAS.-FORMULAS-ALGEBRA..pdf

7 páginas
Anónimo

@Anónimo

He publicado nuevos apuntes de 1º Matemáticas I: Rstudio.docx

word
Anónimo

@Anónimo

He publicado nuevos apuntes de 1º Matemáticas I: Formulari-mates.docx

word
Anónimo

@Anónimo

He publicado nuevos apuntes de 1º Matemáticas I: Practica-ordinador-mates.pdf

10 páginas

Súper bien explicados

18 páginas

He publicado nuevos apuntes de 1º Matemáticas I: Apuntes-2-Parcial.pdf

12 páginas

He publicado nuevos apuntes de 1º Matemáticas I

https://www.youtube.com/watch?v=y52Oq2kaZ6w&list=PLXpRupt374SeEAJaGMjlY2c-CFjhHJaXe&pp=sAgC

En este link ofrezco un avistamiento de mi canal de youtube que tiene como objetivo mostrar más sobre el tema de fracciones

https://bit.ly/Playlist_Fracciones

En este documento les otorgo información breve pero concisa sobre el tema de los números racionales. En el documento presente encontrarás la definición de los números racionales, alguna mención sobre su uso en las matemáticas y de la vida cotidiana, ademá

word

Estudi de funcions i alguns límits

4 páginas

He publicado nuevos apuntes de 1º Matemáticas I

https://www.youtube.com/watch?v=p292SFZf4GY

Video adjunto con el documento cuyo próposito compartido es el de informar sobre el tema de las propiedades de los números reales.

https://bit.ly/Propiedades_Números_reales

Documento que aporta información básica de las propiedades pertenecientes a los número reales. Si dicho documento no satisface tu curiosidad aqui dejo un link que te aportadará más información sobre el tema:https://bit.ly/Propiedades_Números_reales

word

He publicado nuevos apuntes de 1º Matemáticas I: Practica-6.nb

Miniatura no disponible

He publicado nuevos apuntes de 1º Matemáticas I: PRACTICA-5.1.nb

Miniatura no disponible

He publicado nuevos apuntes de 1º Matemáticas I: practica-8.nb

Miniatura no disponible

He publicado nuevos apuntes de 1º Matemáticas I: PRACTICA-5.2.nb

Miniatura no disponible

He publicado nuevos apuntes de 1º Matemáticas I: practica-7.nb

Miniatura no disponible

ejercicios y problemas de trigonometría CON SOLUCIONES

9 páginas

ejercicios CON SOLUCIONES de logaritmos, racionalizar, potencias, fracciones,

5 páginas

apuntes y ejercicios

6 páginas

con tooodas las derivadas y pdf para imprimir facil

1 página

He publicado nuevos apuntes de 1º Matemáticas I: ESQUEMA-DE-LOS-PASOS-A-DAR-PARA-PRESENTAR-GRAFICAMENTE-UNA-FUNCION.pdf

1 página

FICHAS PARA ESTUDIAR: Apuntes + fórmulas de todos los típos + método y pasos + ejemplos + sistemas de inecuaciones

3 páginas

FICHAS PARA ESTUDIAR: Apuntes + fórmulas + explicación + métodos de probabilidad

3 páginas

Nº complejos i (+ operaciones, forma binómica, forma polar, forma trigonométrica, representar, operaciones) y Vectores (+ módulo, operaciones, perpendicular, paralelo, simétrico, medio...)

3 páginas

apuntes tema 1, funciones reales de una variable real

Miniatura no disponible
zip

He publicado nuevos apuntes de 1º Matemáticas I: conicas.pdf

2 páginas

He publicado nuevos apuntes de 1º Matemáticas I: conicas-2.pdf

2 páginas

He publicado nuevos apuntes de 1º Matemáticas I: Matrices-Sistemas-de-ecuaciones-lineales.pdf

10 páginas

He publicado nuevos apuntes de 1º Matemáticas I: Espacios-vectoriales.pdf

9 páginas

He publicado nuevos apuntes de 1º Matemáticas I: Ortogonalidad.-Minimos-cuadrados.pdf

4 páginas

Video que complementa lo dicho en el documento de manera verbal y más visual

https://www.youtube.com/watch?v=RZGGzOhWKgI&pp=0gcJCdkKAYcqIYzv

Este documento proporciona información básica respecto a los números reales y como se dividen los conjuntos de números además de pequeños ejemplos. Todo esto en un breve documento

word

apuntes

-

Cálculo II

Apuntes clase de Santi en castellano (Los apuntes estan divididos en 2 partes por que wuolah no deja descargarlo si no tienes el premium por que es demasiado largo). También está el pdf entero en la carpeta.

Calculo-II.pdf
Calculus-II-Parte-1.pdf
Calculus-II-Parte-2.pdf

apuntes

-

Apuntes Premium - Matemáticas I

He publicado nuevos apuntes de 1º Matemáticas I: Apuntes Premium - Matemáticas I

Apuntes-Premium-Matematicas-I-Temas-1-y-2.pdf
Apuntes-Premium-Matematicas-I-.pdf

examenes

-

Simulacro Examen -1r Parcial

He publicado nuevos examenes de 1º Matemáticas I: Simulacro Examen -1r Parcial

Simulacro-Examen-Matematicas-I-Modelo-2023.pdf
Simulacro-Examen-Matematicas-I-Modelo-2025.pdf
Simulacro-Examen-Matematicas-I-2025.pdf
Simulacro-Examen-Matematicas-I-2026.pdf

apuntes MAT1 tema 6 ejercicios

12 páginas

He publicado nuevos examenes de 1º Matemáticas I: 2-PARCIAL-INDUSTRIALES..pdf

2 páginas

He publicado nuevos apuntes de 1º Matemáticas I: Practicas-cuaderno-mathematica.pdf

26 páginas

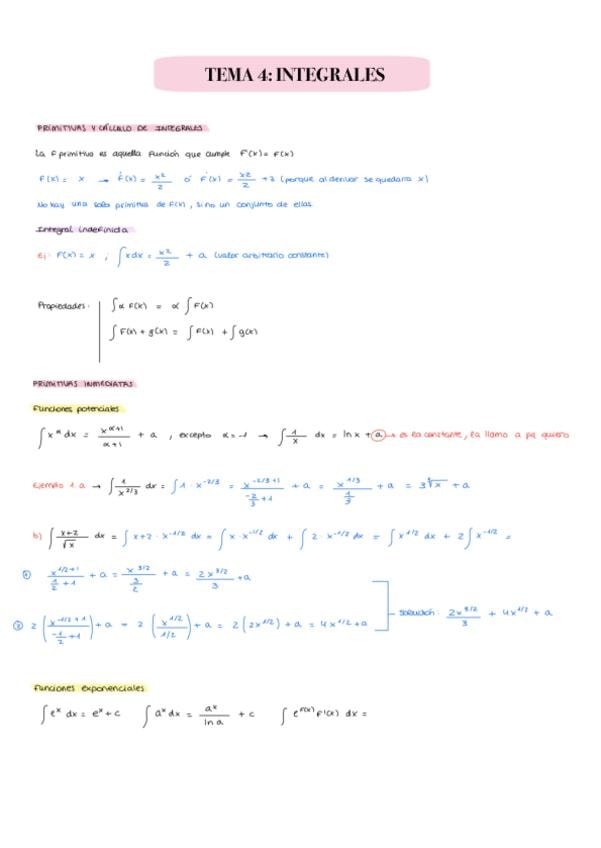
Apuntes con ejemplos resueltos de integración

13 páginas

Problemas y ejercicios de derivadas resueltos

17 páginas

Apuntes con ejemplos incluidos

11 páginas

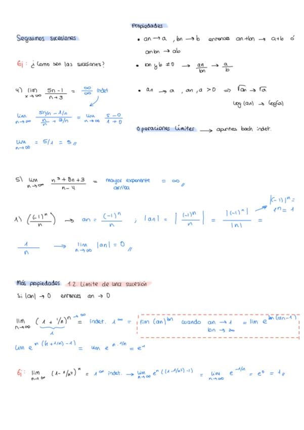
Ejercicios resueltos de sucesiones

16 páginas

Todos los apuntes del tema

10 páginas

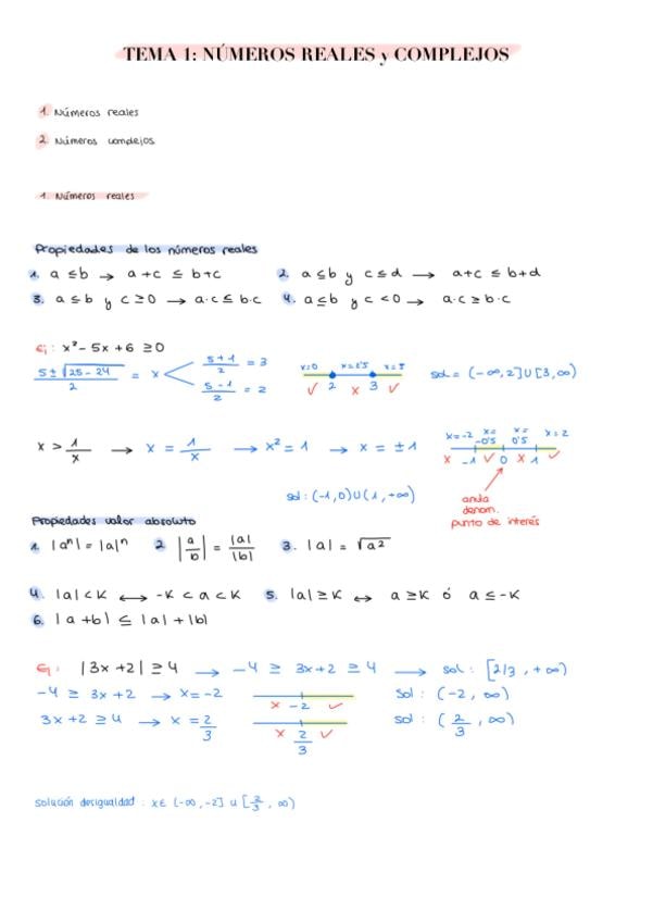
Ejercicios de números reales

9 páginas

Tema 1, números reales y complejos

8 páginas

apuntes

-

MATEMÁTICAS I

He publicado nuevos apuntes de 1º Matemáticas I: MATEMÁTICAS I

Bloque-1-MATEMATICAS-I.pdf
Bloque-2-MATEMATICAS-I-temas-del-4-6.pdf
Bloque-3-MATEMATICAS-I-temas-7-12.pdf

He publicado nuevos apuntes de 1º Matemáticas I: T1-Algebra-introduccio.pdf

6 páginas

He publicado nuevos apuntes de 1º Matemáticas I: Algebra.pdf

47 páginas

apuntes MAT 1 tema 6 teoría

14 páginas

Incluye explicaciones de todos los temas de primero de bachillerato y un examen final con todos los temas.

10 páginas

He publicado nuevos examenes de 1º Matemáticas I: ExamenMatesDerivadasFlorida.pdf

2 páginas

He publicado nuevos examenes de 1º Matemáticas I: exameneneroMatesFlorida23.pdf

1 página

He publicado nuevos examenes de 1º Matemáticas I: examenAnualMatesFlorida24.pdf

2 páginas

He publicado nuevos examenes de 1º Matemáticas I: ExamenAnualMatesFlorida23.pdf

5 páginas