Todo
Apuntes
Ejercicios
Exámenes
chevron_left
chevron_right

apuntes

-

Volúmenes, optimizacion e integrales varias

He publicado nuevos apuntes de 1º Matemáticas II para la Empresa: Volúmenes, optimizacion e integrales varias

Volumenes-optimizacion-e-integrales-varias.pdf
Apuntes-integrales-II.pdf
Apuntes-integrales-I.pdf
Anónimo

@Anónimo

He publicado nuevos examenes de 1º Matemáticas II para la Empresa: Ordinario mates 22/23.pdf

1 página

ejercicios

-

Ejercicios Resueltos ツ

He publicado nuevos ejercicios de 1º Matemáticas II para la Empresa: Ejercicios Resueltos ツ

Areas.pdf
Integrales-Eurelianas.pdf
Integrales-Impropias.pdf

He publicado nuevos apuntes de 1º Matemáticas II para la Empresa: Trigonometrica230206123844.pdf

3 páginas

He publicado nuevos apuntes de 1º Matemáticas II para la Empresa: Integrales230220134345.pdf

8 páginas
Anónimo

@Anónimo

apuntes

-

temas

He publicado nuevos apuntes de 1º Matemáticas II para la Empresa: temas

TEMA-3-CALCULO-EN-VARIAS-VARIABLES.pdf
Programa.pdf
TEMA-6-PROGRAMACION-CLASICA.pdf
TEMA-5-INTRODUCCION-A-LA-TEORIA-DE-OPTIMIZACION.pdf
TEMA-4-INTEGRACION-MULTIPLE.pdf
TEMA-2-INTEGRAL-DEFINIDA.pdf
Anónimo

@Anónimo

apuntes

-

temas

He publicado nuevos apuntes de 1º Matemáticas II para la Empresa: temas

EJERCICIOS-TEMA-2.pdf
TEMA-1-FUNCION-ESCALAR-Y-FUNCION-VECTORIAL-LIMITES-Y-CONTINUIDAD.pdf
EJERCICIOS-TEMA-5.pdf
TEMA-2-DERIVADA-Y-DIFERENCIAL-DE-FUNCION-ESCALAR-Y-VECTORIAL.pdf
Anónimo

@Anónimo

He publicado nuevos apuntes de 1º Matemáticas II para la Empresa: EJERCICIOS-TEMA-1.pdf

3 páginas

apuntes

-

MATEMÁTICAS II

He publicado nuevos apuntes de 1º Matemáticas II para la Empresa: MATEMÁTICAS II

ERRORES-MATEMATICOS.pdf

apuntes

-

Matemáticas II para la empresa

He publicado nuevos apuntes de 1º Matemáticas II para la Empresa: Matemáticas II para la empresa

TABLA-DE-DERIVADAS.pdf
TABLA-DE-INTEGRALES-INMEDIATAS.pdf
TEMA-1-INTEGRAL-INDEFINIDA.pdf
Equivalencias-trigonometricas.pdf
Anónimo

@Anónimo

He publicado nuevos examenes de 1º Matemáticas II para la Empresa: EXAMEN-EXTRAORDINARIO-MATEMATICAS-II-2022.pdf

1 página
Anónimo

@Anónimo

apuntes

-

Ejercicios

He publicado nuevos apuntes de 1º Matemáticas II para la Empresa: Ejercicios

Ejercicios-Tema-4.pdf
Ejercicios-Tema-6.pdf
Ejercicios-Tema-2.pdf
Ejercicios-Tema-3.pdf
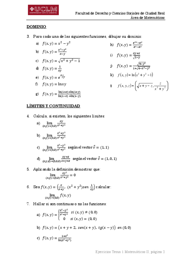
Ejercicios-Tema-1.pdf
Ejercicios-Tema-5.pdf

apuntes

-

MATES 2

He publicado nuevos apuntes de 1º Matemáticas II para la Empresa: MATES 2

NuevoDocumento-2019-03-14-19.pdf
NuevoDocumento-2019-03-14-19.pdf
NuevoDocumento-2019-03-14-19.pdf
NuevoDocumento-2019-03-14-19.pdf
NuevoDocumento-2019-03-14-19.pdf
NuevoDocumento-2019-03-01-21.pdf

He publicado nuevos ejercicios de 1º Matemáticas II para la Empresa: T-1-y-2.pdf

29 páginas
¡Estás al día!

¡Estás al día!

Has visto todos los archivos