Portada
Asignatura
Bachillerato
Matemáticas II
Fecha de subida
25 nov 2025
Categoría
ejercicios
Información
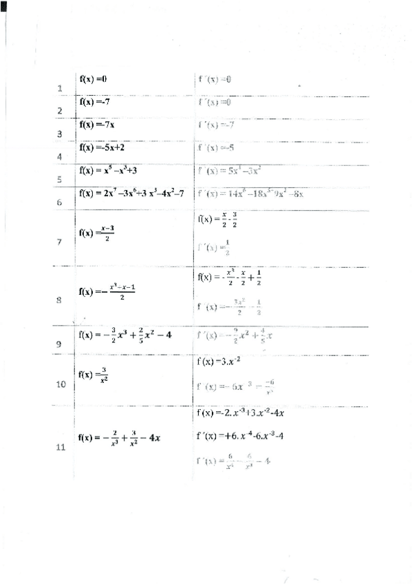
Aquí están las respuestas del documento "100 DERIVADAS".
Etiquetas
#Examen
#Mate
#Matemáticas
17+
Apuntes - Mates-resumen-probabilidad-estadistica-matrices-determinantes-vectores-rectas-y-planos.pdf
pdf
1 página
463
90
Apuntes - Matrices EVAU.pdf
2 páginas
265
66
Apuntes - Bloque-Analisis-Limites-derivadas-funciones-integrales.pdf
21 páginas
296
49
Apuntes - PROBABILIDAD-2-bach.pdf
137
32
Apuntes - Límites de funciones y continuidad EVAU.pdf
4 páginas
436
53
Apuntes - Formulario probabilidad EVAU.pdf
402
38
Apuntes - Matematicas-Teoria.pdf
3 páginas
158
47
Apuntes - TEORIA-MATES-ENTERA.pdf
31 páginas
291
28
Apuntes - SUPER-RESUMEN-MATES.pdf
7 páginas
228
41
Apuntes - angyulos.pdf
16 páginas
133
4
Apuntes - APUNTES-PROBABILIDAD-Y-ESTADISTICA.pdf
5 páginas
161
9
Apuntes - RESUMENES-COMPLETOS-MATEMATICAS-2o-BACHILLERATO-CIENTIFICO.pdf
19 páginas
21
Apuntes - ANALISIS.pdf
110
25
Apuntes - APUNTES-ANALISIS.pdf
139
Apuntes - Formulario distribuciones de probabilidad EVAU.pdf
174
12
Apuntes - Formulario integrales EVAU.pdf
16
Apuntes - Tema-1-matematicas-Limites-y-continuidad.pdf
6 páginas
116
17
Exámenes - Evaluaci-n-2-2-Bach.pdf
65
14
Apuntes - Determinantes EVAU.pdf
34
Apuntes - Representación de funciones EVAU.pdf
101
18
Información
Aquí están las respuestas del documento "100 DERIVADAS".