user_4125418
Examen de Integrales del 2 de julio de 2024 de Ingeniería de Materiales resuelto por pasos.
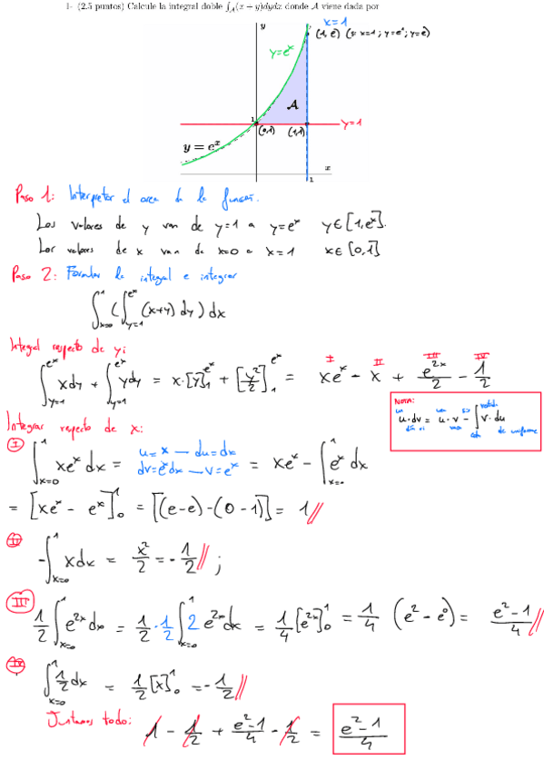
Examen-Integrales-RESUELTO-Materiales-Julio-2024.pdf
4 páginas
Exámenes - 20220330-ie-parcial1.pdf
pdf
1 página
68
2
Exámenes - 1oexamen.pdf
8 páginas
69
0
Exámenes - Examen-EDOs-RESUELTO-Materiales-Julio-2024.pdf
9
Apuntes - T2apuntes.pdf
5 páginas
36
Apuntes - Apuntes-Tema-2.pdf
39
1
Exámenes - preguntas-primer-parcial-.pdf
15 páginas
50
Exámenes - Matemáticas II - Parte I Junio.pdf
55
Exámenes - 20210705-ie-parcial2.pdf
23
Apuntes - mayo-B.pdf
24
Exámenes - 20210705-ie-parcial1.pdf
25
Exámenes - 20210421-parcial1.pdf
18
Exámenes - preguntas-examen-integrales-y-EDO.pdf
7 páginas
30
Apuntes - formulario-integracion-multiple.pdf
9 páginas
20
Apuntes - soluciones-control-mayo.pdf
13 páginas
17
Exámenes - Matemáticas II - Parte II Junio.pdf
Exámenes - Matematicas-II-1o-Bloque-2425-Marzo-G.-I.-Energia.pdf
16
Apuntes - junio-2018.pdf
3 páginas
Apuntes - T2resumen.pdf
21
Exámenes - 20210421-parcial1solucion.pdf
Exámenes - Examen-Integrales-RESUELTO-Materiales-Julio-2024.pdf
14