Portada
Asignatura
Grado en Ingeniería de Tecnologías Industriales (US)
Matemáticas II
Fecha de subida
15 sep 2022
Categoría
examenes
Etiquetas
Apuntes - LECCIÓN 2.pdf
pdf
17 páginas
646
6
Apuntes - LECCIÓN 4.pdf
16 páginas
680
5
Apuntes - LECCIÓN 1.pdf
15 páginas
639
Apuntes - LECCIÓN 3.pdf
14 páginas
523
4
Ejercicios - leccion 1 apuntes y ejercicios resueltos mates II .pdf
62 páginas
495
Apuntes - LECCIÓN 5.pdf
456
3
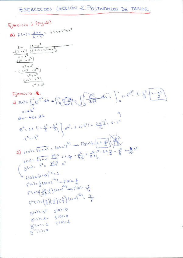
Ejercicios - leccion 2 apuntes y ejercicios resueltos mates II.pdf
73 páginas
428
Ejercicios - leccion 3 apuntes y ejercicios resueltos mates II.pdf
69 páginas
295
2
Ejercicios - leccion 4 ejercicios resueltos mates II.pdf
56 páginas
288
Ejercicios - leccion 4 apuntes mates II.pdf
35 páginas
242
Ejercicios - leccion 5 ejercicios resueltos mates II.pdf
31 páginas
218
Apuntes - Mates II parte 1 tema 1.pdf
25 páginas
207
0
Apuntes - POLINOMIOS DE TAYLOR.pdf
32 páginas
193
1
Apuntes - Mates II parte 2 tema 1.pdf
162
Ejercicios - formulario maclaurin mates II.pdf
1 página
253
Ejercicios - leccion 5 apuntes mates II.pdf
33 páginas
158
Apuntes - POLINOMIOS DE MACLAURIN.pdf
97
Apuntes - CD.rar
rar
Apuntes - Apuntes-Primer-parcial-Mates-II.pdf
6 páginas
149
Ejercicios - Lección1-T.pdf
22 páginas
117