josep_llorens
Resum teòric fins els Polinomis de Taylor de M2
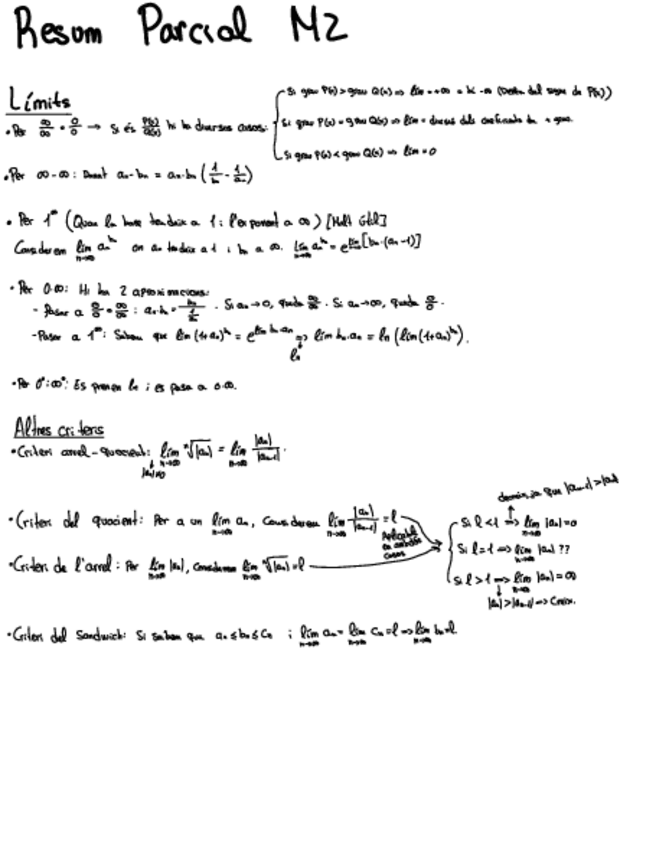
Resum-Parcial.pdf
3 páginas
Apuntes - APUNTES M2 TEMAS 1-5.pdf
pdf
14 páginas
358
5
Apuntes - M2 - TEMAS 6-7,8,9,10 - RESUMEN.pdf
13 páginas
298
6
Apuntes - Formulari-M2.pdf
2 páginas
354
4
Apuntes - FIB-M2-master.zip
zip
40
0
Apuntes - M2.zip
19
Apuntes - M2FIB.pdf
180
1
Apuntes - wuolah-free-FIB-M2-master.zip
37
Apuntes - Teoria-M2-Temas-1-8.pdf
37 páginas
109
2
Apuntes - Formulari-MAPLE.pdf
193
3
Apuntes - Resum-M2.pdf
17 páginas
135
Exámenes - Cuestionario-examen-de-taller-2022-2023-Q2.pdf
4 páginas
169
Apuntes - Cuestionarios-Maple.pdf
25 páginas
136
Otros - Maple.zip
53
Ejercicios - Ejercicios-resueltos-M2-Temas-3-6.pdf
87
Ejercicios - Exercicis-M2-Lab.pdf
29 páginas
77
Apuntes - Tot-M2-2022.pdf
11 páginas
94
Exámenes - Prova Taller.pdf
128
Apuntes - formulari-tot-M2.pdf
88
Ejercicios - Ejercicios-Lab-M2.pdf
26 páginas
72
Apuntes - M2-teoria-final.pdf
76