Portada
Asignatura
Grado en Ingeniería de las Tecnologías Industriales (ULOYOLA)
Matemáticas II
Fecha de subida
14 may 2025
Categoría
apuntes
Etiquetas
Exámenes - QT5-Resurlto-MATII.pdf
pdf
9 páginas
46
0
Exámenes - QT4-Reduelto-MATII.pdf
10 páginas
39
Exámenes - Quiz-T2-MATII.pdf
5 páginas
41
Exámenes - QuizT3-MATII.pdf
8 páginas
43
Exámenes - Enunciado-Parcial21.pdf
1 página
44
Apuntes - T1-TeoriaEjercicios-MATII.pdf
35 páginas
35
Apuntes - TeoriaT2-MATII.pdf
18 páginas
29
Apuntes - EjerciciosT2-MATII.pdf
25 páginas
27
Exámenes - Resolucion-y-enunciado-Ordinaria-Temas4-5.pdf
12
1
Apuntes - EjerciciosT3-MATII.pdf
19 páginas
20
Exámenes - resolucion-Ordinaria-Temas1-3.pdf
3 páginas
8
Apuntes - ResumenT3.pdf
2 páginas
24
Ejercicios - Problemas-Tema-1.pdf
29 páginas
Apuntes - ResumenT1-MATII.pdf
17
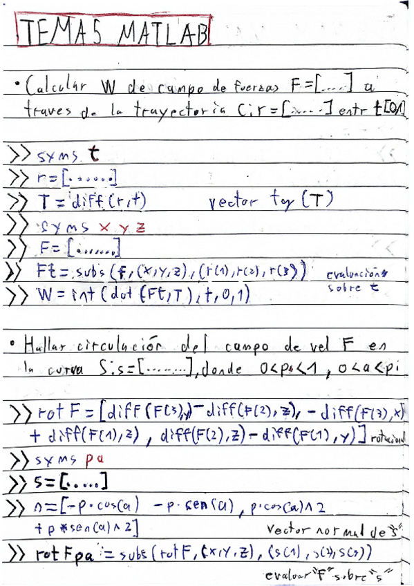
Apuntes - MATLAB-TEMA-2-Mates-II.pdf
Exámenes - Enunciado-Ordinaria-Temas1-3-2023-2024.pdf
6
Ejercicios - Ejercicios-Tema-1.pdf
Exámenes - QUIZ-1-mates-2-resuelto-2025.pdf
Ejercicios - Boletin-T1.pdf
21 páginas
11
Exámenes - Enunciado-Ordinaria-Temas4-5-2023-2024.pdf
7